Методика расчета индекса промышленного производства
- Содержание
- Глава 1. Общие положения
- Глава 2. Особенности формирования индекса промышленного производства
- Глава 3. Расчет индекса промышленного производства
- Глава 4. Формирование информационных ресурсов для расчета индексов производства
- Глава 5. Распространение данных по индексам промышленного производства
- Глава 6. Пересчет динамических рядов в связи с изменением методики
- Приложение к Методике расчета индекса промышленного производства. Алгоритм расчета индексов промышленного производства
Глава 1. Общие положения
1. Методика расчета индекса промышленного производства (далее - Методика) относится к статистической методологии, формируемой в соответствии с международными стандартами и утверждаемой в соответствии с Законом Республики Казахстан от 19 марта 2010 года «О государственной статистике».
2. Методика предназначена для использования Комитетом по статистике Министерства национальной экономики Республики Казахстан (далее - Комитет) и его территориальными органами при формировании индексов промышленного производства.
3. Настоящая Методика определяет основные подходы к ежегодным и текущим расчетам индексов промышленного производства в рамках общегосударственных статистических наблюдений.
4. В настоящей Методике используются следующие определения:
- валовая добавленная стоимость - разница между выпуском товаров и услуг и промежуточным потреблением. Этот показатель включает потребленную в процессе производства стоимость основного капитала;
- индивидуальные индексы производства - изменение выпуска одного продукта и исчисляются как отношение объемов производства данного вида продукта в натурально-вещественном выражении в сравниваемых периодах;
- сводный индекс производства - совокупные изменения производства всех видов продукции и отражает изменение создаваемой в процессе производства стоимости в результате изменения только физического объема производимой продукции;
- индекс промышленного производства - агрегированный индекс производства по видам деятельности секций «Горнодобывающая промышленность и разработка карьеров», «Обрабатывающая промышленность», «Снабжение электроэнергией, газом, паром, горячей водой и кондиционированным воздухом», «Водоснабжение; сбор, обработка и удаление отходов, деятельность по ликвидации загрязнений» согласно Общему классификатору видов экономической деятельности (далее - ОКЭД).
Глава 2. Особенности формирования индекса промышленного производства
5. Формирование индекса промышленного производства осуществляется следующим образом:
- индекс промышленного производства формируется на данных о динамике выпуска по установленному набору (корзине) товаров-представителей в натуральном или стоимостном выражении;
- при формировании индекса промышленного производства осуществляется поэтапная агрегация индивидуальных индексов в индексы по видам экономической деятельности. Индексы для крупных совокупностей рассчитываются как средневзвешенные из составляющих элементов этих совокупностей;
- при расчете индекса промышленного производства осуществляется сопоставление объемов выпуска товаров и услуг сравниваемых периодов через базисный год;
- применение метода сопоставления посредством базисного года позволяет: обеспечить включение товара в индекс по элементарному виду деятельности и далее вида деятельности в расчет индексов по более высоким группировкам ОКЭД с учетом их реального веса в конкретный период года; избежать возникновения математической неопределенности (деления на ноль) в расчетах индексов производства, что особенно важно для периода неустойчивого развития экономики, характеризующегося высокой неритмичностью производства и длительными простоями;
- расчет индексов производства базируется на использовании данных о динамике производства по установленному набору (корзине) товаров-представителей в натурально-вещественном или стоимостном исчислении с последующей поэтапной агрегацией индивидуальных индексов по виду экономической деятельности в индексы по укрупненным группировкам видов экономической деятельности (классам, группам, разделам, секциям) согласно иерархической структуре ОКЭД путем их взвешивания на величину валовой добавленной стоимости, созданной в конкретном виде экономической деятельности в базисном году.
Глава 3. Расчет индекса промышленного производства
6. В целях оперативного ежемесячного формирования информационного ресурса для расчета индекса производства по видам экономической деятельности используется индекс Ласпейреса.
При использовании индекса Ласпейреса не требуется смена весов при обработке данных нового периода, а также обеспечивается простота интерпретации результата: значение индекса равно отношению стоимостей в постоянных ценах базисного периода по установленному набору (корзине) товаров-представителей фиксированного состава в сопоставляемые периоды времени.
В качестве базисного года принимается год, в котором товарная структура производства, цен и валовой добавленной стоимости относительно устойчива, и в течение ближайших лет не ожидается ее существенного изменения.
По мере удаления от базисного года точность расчета индекса постепенно снижается, поскольку структура цен и отраслевая структура промышленного производства отклоняется от той, которая была в базисном году. Поэтому расчеты индекса на основе одного и того же базисного года проводятся в течение 5 лет, после чего базисный год обновляется. При этом в качестве базисного, выбирается год, номер которого оканчивается на «0» или «5».
Решение об изменении базисного года принимается с учетом интенсивности происходящих в производстве структурных сдвигов.
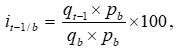
7 . Расчет индивидуального индекса производства осуществляется по следующим формулам:

(1) где:
– индексы, характеризующие изменение производства в отчетном периоде t (месяце или периоде с начала отчетного года) по сравнению со среднемесячным объемом базисного года;
и
– количество продукции в отчетном и базисном периодах, соответственно;
– среднегодовая цена базисного года.
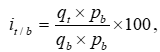
(2) где:
– индексы, характеризующие изменение производства в прошедшем периоде t-1 (предыдущем месяце, соответствующем месяце прошлого года или соответствующем периоде с начала прошлого года) по сравнению со среднемесячным объемом базисного года;
– количество продукции в предыдущем месяце, соответствующем месяце прошлого года или соответствующем периоде с начала прошлого года;
– количество продукции в базисном периоде;
– среднегодовая цена базисного года.
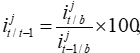
(3) где:
– индексы, характеризующие изменение производства в отчетном периоде t (месяце или периоде с начала отчетного года) по сравнению с прошедшим периодом t-1 (предыдущим месяцем, соответствующим месяцем прошлого года или соответствующим периодом с начала прошлого года), которые получаются путем деления индексов, рассчитанных в формулах (1) и (2);
– индексы, характеризующие изменение производства в отчетном периоде t (месяце или периоде с начала отчетного года) по сравнению со среднемесячным объемом базисного года;
– индексы, характеризующие изменение производства в прошедшем периоде t-1 (предыдущем месяце, соответствующем месяце прошлого года или соответствующем периоде с начала прошлого года) по сравнению со среднемесячным объемом базисного года.Сопоставление объема производства за период времени t с объемом производства за период t-1 осуществляется путем сравнения отклонений этих двух объемов от среднемесячного значения базисного года.
Глава 4. Формирование информационных ресурсов для расчета индексов производства
Параграф 1. Формирование перечня (корзины) товаров-представителей
8. Для исчисления индекса промышленного производства применяется метод, основанный на динамике натуральных показателей по установленному набору (корзине) товаров-представителей с последующей поэтапной агрегацией индивидуальных (товарных) индексов в индексы по видам экономической деятельности. Индексы для крупных совокупностей рассчитываются как средневзвешенные из составляющих элементов этих совокупностей.
Данный метод позволяет построить индекс промышленного производства не только в разрезе видов деятельности, территории, но и по товарным группам по направлениям использования продукции (инвестиционные товары, сырье и материалы, машины и оборудование, потребительские товары), что во многом расширяет аналитические возможности индекса.
9. Качество рассчитываемых индексов производства зависит от правильности выбора перечня (корзины) товаров-представителей. Стандартный набор товаров сформирован из профильных для каждого вида деятельности видов продукции, дифференцированных по качественным характеристикам и направлениям использования.
10. При сложности формирования перечня (корзины) товаров-представителей в натуральном выражении (для отраслей машиностроения, металлообработки, а также услуг, связанных с добычей нефти и газа, услуг по распределению электроэнергии, газа и воды), применяется метод дефлятирования с использованием индекса цен производителей промышленной продукции.
Производство по включенным в перечень (корзину) товарам-представителям, учитывается в натуральных (физических) единицах или в стоимостном выражении.
11. Единый перечень (корзина) товаров-представителей формируется и расширяется Комитетом с учетом предложений территориальных органов статистики. Централизованно сформированный Комитетом перечень (корзина) товаров-представителей используется при расчетах территориальными органами статистики.
12. Технологически отбор товаров осуществляется в несколько этапов:
- на первом этапе для преемственности расчетов во времени в основу формирования перечня товаров-представителей положен принцип максимально возможного сохранения на длительный период постоянной корзины товаров-представителей;
- на втором этапе при переходе на более актуальный базисный год в старую корзину включаются новые дополнительные товары, выпуск которых начат или существенно расширен за период с предыдущего базисного года;
- на третьем этапе установленный набор товаров включает более 1000 видов продукции, который охватывает более 90% общего объема промышленного производства, что обеспечивает репрезентативность расчетов.
Параграф 2. Потоки статистической информации
13. Учет статистической информации по расчету индекса промышленного производства формируется следующим образом:
- ежемесячно осуществляется сплошной учет объемов произведенной продукции в стоимостном и натуральном выражении по предприятиям с численностью занятых более 100 человек. Объемы производства по предприятиям с численностью занятых менее 100 человек, по промышленным подразделениям при непромышленных предприятиях, по индивидуальным предпринимателям и сектору домашних хозяйств определяются расчетным путем;
- ежеквартально осуществляется сплошной учет объемов произведенной продукции в стоимостном и натуральном выражении по предприятиям с численностью не более 100 человек и по промышленным подразделениям при непромышленных предприятиях;
- ежегодно осуществляется сплошной учет объемов произведенной продукции по полному кругу хозяйствующих субъектов в стоимостном и натуральном выражении, выборочное обследование индивидуальных предпринимателей, занимающихся производством промышленной продукции в стоимостном и натуральном выражении, выборочное обследование сектора домашних хозяйств.
Параграф 3. Формирование системы весов
14. Для расчета индекса промышленного производства по базисному году формируется система весов, позволяющих корректно учесть динамику по конкретному товару в индексах по всей иерархии группировок видов деятельности.
При формировании индекса по элементарному виду деятельности на основании товаров в качестве весов выступает объем производства базисного года, рассчитанный в средних ценах базисного года по продукции, включенной в перечень (корзину). По товарам, учитываемым в стоимостном выражении, объемы выпуска за сравниваемые периоды в действующих ценах пересчитываются в единые цены базисного года с использованием метода дефлятирования. Фактический уровень цен влияет на величину индекса производства по элементарному виду деятельности, когда в перечень (корзину) по данному виду деятельности включено два и более товара-представителя.
На всех последующих этапах в качестве весов используется структура валовой добавленной стоимости по видам экономической деятельности по ОКЭД.
Параграф 4. Алгоритм расчета индексов промышленного производства
15. Формирование индексов производства осуществляется в несколько этапов.
На первом этапе расчета определяются индексы производства для каждого элементарного вида деятельности путем сопоставления выпуска товаров-представителей в отчетном периоде с их выпуском в базисном периоде. При этом выпуск каждого товара-представителя за сравниваемые периоды оцениваются в одних и тех же ценах – среднегодовых ценах базисного года.
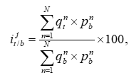
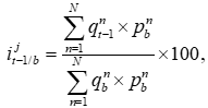
Расчет сводного индекса производства для элементарного вида экономической деятельности выполняется по нижеприведенным формулам:

(4) 
(5) 
(6) где:
- индекс по j-му виду деятельности за отчетный t период (отчетный месяц, период с начала года) по сравнению со среднемесячным производством базисного года, в %;
- производство по n-му товару в натуральном (или стоимостном) выражении соответственно за t-период (отчетный месяц, период с начала года), t-1-период (предыдущий месяц, соответствующие периоды предыдущего года) и в среднем за месяц базисного года;
- среднегодовая цена единицы n-го товара в базисном году;N - количество товаров, входящих в корзину по виду деятельности;
- индекс по j-му виду деятельности за предыдущий t-1 период (предыдущий месяц, соответствующие периоды предыдущего года) по сравнению со среднемесячным производством базисного года, в %;
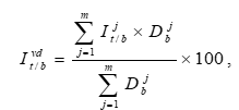
- индекс по j-му виду деятельности за отчетный период t (отчетный месяц, период с начала года) по сравнению с предыдущим периодом t-1 (предыдущий месяц, соответствующие периоды предыдущего года), в %.На последующих этапах расчета индексы по элементарному виду деятельности, сформированные на 1 этапе, агрегируются согласно иерархической структуре ОКЭД в индексы по группе видов деятельности, которые, в свою очередь, – в индексы по разделу, секциям B «Горнодобывающая промышленность и разработка карьеров»,
C «Обрабатывающая промышленность», D «Снабжение электроэнергией, газом, паром, горячей водой и кондиционированным воздухом», Е «Водоснабжение; сбор, обработка и удаление отходов, деятельность по ликвидации загрязнений».Для учета влияния конкретного вида деятельности (группы, раздела видов деятельности) на общий индекс по секциям B «Горнодобывающая промышленность и разработка карьеров», C «Обрабатывающая промышленность», D «Снабжение электроэнергией, газом, паром, горячей водой и кондиционированным воздухом», Е «Водоснабжение; сбор, обработка и удаление отходов, деятельность по ликвидации загрязнений» ОКЭД осуществляется поэтапное взвешивание на величину валовой добавленной стоимости базисного года по соответствующим группировкам ОКЭД.
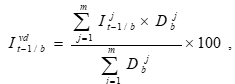
Расчет сводного индекса производства выполняется по следующим формулам:

(7) 
(8) где:
- индекс по j-му виду деятельности (классу, группе, разделу, секции) за отчетный период t (отчетный месяц, период с начала года) или за предыдущий t-1 период (предыдущий месяц, соответствующие периоды предыдущего года) по сравнению со среднемесячным производством базисного года, в %;
- индекс по j-му виду деятельности за отчетный период t (отчетный месяц, период с начала года) или за предыдущий t-1 период (предыдущий месяц, соответствующие периоды предыдущего года) по сравнению со среднемесячным производством базисного года, сформированный на предыдущем этапе расчета, в %;
- валовая добавленная стоимость за базисный год по j-му виду деятельности, млн. тенге.
(9) где:
- индекс производства за отчетный период t по сравнению с предыдущим t-1, рассчитанный путем соотношения индексов, исчисленных к среднемесячному производству базисного года;
- индекс по j-му виду деятельности (классу, группе, разделу, секции) за отчетный период t (отчетный месяц, период с начала года) или за предыдущий t-1 период (предыдущий месяц, соответствующие периоды предыдущего года) по сравнению со среднемесячным производством базисного года, в %;Индекс промышленного производства рассчитывается как среднее арифметическое взвешенное из индексов производства по секциям B «Горнодобывающая промышленность и разработка карьеров», C «Обрабатывающая промышленность», D «Снабжение электроэнергией, газом, паром, горячей водой и кондиционированным воздухом», Е «Водоснабжение; сбор, обработка и удаление отходов, деятельность по ликвидации загрязнений» ОКЭД, по следующим формулам:

(10) 
(11) 
(12) где:
- индекс промышленного производства за отчетный t-период (отчетный месяц, период с начала года) по сравнению с предыдущим периодом t-1 (предыдущий месяц, соответствующие периоды предыдущего года), в %;
- индекс промышленного производства за t-период (отчетный месяц, период с начала года) и t-1-период (предыдущий месяц, соответствующие периоды предыдущего года) по сравнению со среднемесячным производством базисного года, в %;
- индекс производства по секциям
B «Горнодобывающая промышленность и разработка карьеров», C «Обрабатывающая промышленность», D «Снабжение электроэнергией, газом, паром, горячей водой и кондиционированным воздухом», Е «Водоснабжение; сбор, обработка и удаление отходов, деятельность по ликвидации загрязнений» за t-период (отчетный месяц, период с начала года) и t-1-период (предыдущий месяц, соответствующие периоды предыдущего года) по сравнению со среднемесячным производством базисного года, в %;
- валовая добавленная стоимость за базисный год по секциям B «Горнодобывающая промышленность и разработка карьеров»,
C «Обрабатывающая промышленность», D «Снабжение электроэнергией, газом, паром, горячей водой и кондиционированным воздухом», Е «Водоснабжение; сбор, обработка и удаление отходов, деятельность по ликвидации загрязнений», млн. тенге.16. Описание алгоритма расчета индексов промышленного производства приведено в приложении настоящей Методики.
Глава 5. Распространение данных по индексам промышленного производства
17. В соответствии с международным Специальным стандартом распространения данных, разработанным Международным Валютным Фондом, индекс промышленного производства публикуется ежемесячно согласно заранее установленным срокам выпуска информации. Информация распространяется одновременно для всех пользователей в форме пресс-релиза, экспресс-информаций, путем их размещения на Интернет-ресурсе Комитета. Более детализированная по разделам, группам, классам ОКЭД и видам товаров информация об объеме производства и индексах промышленного производства публикуется в статистических бюллетенях, сборниках.
18. В целях обеспечения пользователей актуализированной статистической информацией об индексах промышленного производства, оперативные данные ежегодно уточняются и публикуются на официальном сайте Комитета.
Глава 6. Пересчет динамических рядов в связи с изменением методики
19. Расчеты в соответствии с настоящей Методикой начинаются с января 2017 года. В Методике применены новые подходы в расчете индекса промышленного производства, существующие динамические ряды по данным показателям и их составляющим будут пересчитаны. Пересчет будет осуществлен только за те периоды и по тем составляющим, для которых имеются исторические исходные данные.
Приложение к Методике расчета индекса промышленного производства. Алгоритм расчета индексов промышленного производства
Таблица 1. Условный пример расчета индекса промышленного производства по элементарному виду экономической деятельности (исходя из товаров-представителей)
Этап 1.
Цена единицы товара в базисном году, тыс. тенге Произведено в
базисном году
Произведено в натуральном выражении Произведено в стоимостном выражении (в средних ценах базисного года), тыс. тенге Индекс промышленного производства в % к среднемесячному уровню базисного года
в натуральном выражении в стоимостном выражении, тыс. тенге за соответствующий месяц прошлого года за предыдущий месяц за отчетный месяц за соответствующий месяц прошлого года за предыдущий месяц за
отчетный
месяц
за соответствующий месяц прошлого года за предыдущий месяц за
отчетный месяц
А 1 2 3=2*1 4 5 6 7=1*4 8=1*5 9=1*6 10=7/(3/
12)*100
11=8/(3/12)*100 12=9/(3/
12)*100
10.11 Переработка и консервирование мяса Х Х 25 390 765,1 Х Х Х 2 970 191,7 2 948 270,4 2 841 086,9 140,4 139,3 134,3 Мясо скота крупного рогатого, свиней, овец, коз, лошадей и животных семейства лошадиных, свежее или охлажденное, тонн 375,2 59 689 22 395 312,8 6 301 6 288 6 675 2 364 135,2 2 359 257,6 2 504 460,0 126,7 126,4 134,2 Субпродукты пищевые скота крупного рогатого, свиней, овец, коз, лошадей и животных семейства лошадиных, свежие или охлажденные, тонн 173,9 1 289 224 157,1 61 108 170 10 607,9 18 781,2 29 563,0 56,8 100,5 158,3 Мясо и субпродукты пищевые мороженые; мясо и субпродукты пищевые прочие, тонн 635,9 2 653 1 687 042,7 213 169 161 135 446,7 107 467,1 102 379,9 96,3 76,4 72,8 Шерсть щипаная, шкуры и кожи сырые скота крупного рогатого или животных семейства лошадиных, овец и коз, тонн 184,3 5 293 975 499,9 505 509 598 93 071,5 93 808,7 110 211,4 114,5 115,4 135,6 Жиры скота крупного рогатого, овец, коз, свиней, тонн 119,0 121 14 399,0 2 1 1 238,0 119,0 119,0 476,0 238,0 238,0 Отходы необработанные непищевые, тонн 2144,4 44 94 353,6 171 172 44 366 692,4 368 836,8 94 353,6 4663,6 4690,9 1200,0 10.12 Переработка и консервирование мяса сельскохозяйственной птицы Х Х 26 451 780,3 Х Х Х 3 054 598,4 3 041 754,8 3 459 758,3 138,6 138,0 157,0 Куры (включая цыплят), индейки, утки, гуси и цесарки свежие или охлажденные, тушки, тонн 252,6 44 586 11 262 423,6 2 234 2 248 3 812 564 308,4 567 844,8 962 911,2 60,1 60,5 102,6 Куры (включая цыплят), индейки, утки, гуси и цесарки мороженые, тушки, тонн 315,0 27 179 8 561 385,0 4 280 4 228 3 852 1 348 200,0 1 331 820,0 1 213 380,0 189,0 186,7 170,1 Куры (включая цыплят), индейки, утки, гуси и цесарки мороженые, части тушек, тонн 348,3 13 391 4 664 085,3 2 334 2 334 2 811 812 932,2 812 932,2 979 071,3 209,2 209,2 251,9 Жир птицы домашней, тонн 142,3 35 4 980,5 10 10 9 1 423,0 1 423,0 1 280,7 342,9 342,9 308,6 Субпродукты пищевые птицы домашней, тонн 235,7 8 234 1 940 753,8 1 388 1 388 1 282 327 151,6 327 151,6 302 167,4 202,3 202,3 186,8 Перья, пух и шкурки птиц с перьями, тонн 72,9 249 18 152,1 8 8 13 583,2 583,2 947,7 38,6 38,6 62,7 Таблица 2. Условный пример формирования индекса промышленного производства по виду экономической деятельности 10.1 «Переработка и консервирование мяса и производство мясной продукции»
Этап 2.
Наименование вида деятельности Валовая добавленная стоимость за базисный год, млн.
тенге
Расчетная величина (исходя из валовой добавленной стоимости базисного года), млн. тенге Индекс промышленного производства в % к среднемесячному уровню базисного года
Индекс промышленного производства, в % к за соответствующий
месяц прошлого года
за предыдущий месяц за отчетный месяц за соответствующий месяц прошлого года за предыдущий месяц за отчетный месяц предыдущему месяцу соответствующему месяцу прошлого года А 1 2= 1*5 / 100 3= 1*6 / 100 4= 1*7 / 100 5=2:1*
100
6=3:1*
100
7=4:1*
100
8=7:6*100 9=7:5*
100
10.1 Переработка и консервирование мяса и производство мясной продукции 45 647,2 53 465 52 436 56 342 117,1 114,9 123,4 107,4 105,4 сумма входящих элементарных видов деятельности
10.11 Переработка и консервирование мяса 10 223,4 14 353,7 14 251 13 730 140,4 139,4 134,3 96,3 95,7 10.12 Переработка и консервирование мяса сельскохозяйственной птицы 15 571,1 21 582 21 488 24 447 138,6 138,0 157,0 113,8 113,3 10.13 Производство продуктов из мяса и мяса сельскохозяйственной птицы 19 852,7 17 530 16 696 18 165 88,3 84,1 91,5 108,8 103,6 Таблица 3. Условный пример формирования индекса промышленного производства по виду экономической деятельности 10 «Производство продуктов питания»
Этап 2 (продолжение).
Наименование вида деятельности Валовая добавленная стоимость за базисный год, млн. тенге
Расчетная величина (исходя из валовой добавленной стоимости базисного года), млн. тенге Индекс промышленного производства в % к среднемесячному уровню базисного года
Индекс промышленного производства в % к за соответствующий месяц прошлого года
за предыдущий месяц за отчетный месяц за соответствующий месяц прошлого года за предыдущий месяц за отчетный месяц предыдущему месяцу соответствующему месяцу прошлого года А 1 2= 1*5 / 100 3= 1*6 / 100 4= 1*7 / 100 5=2:1*
100
6=3:1*
100
7=4:1* 100 8=7:6*100 9=7:5*
100
10 Производство продуктов питания 409 119,2 388 351 450 338 537 135 94,9 110,1 131,3 119,3 138,3 сумма входящих видов деятельности 10.1 Переработка и консервирование мяса и производство мясной продукции 45 647,2 53 453 52 449 56 329 117,1 114,9 123,4 105,9 104,1 10.2 Переработка и консервирование рыбы, ракообразных и моллюсков 4 739,8 2 384 2 313 3 512 50,3 48,8 74,1 151,8 147,4 10.3 Переработка и консервирование фруктов и овощей 40 169,3 46 034 65 837 126 332 114,6 163,9 314,5 192,2 278,8 … … … … … … … … … … 10.9 Производство готовых кормов для животных 4 617,3 9 401 9 442 11 183 203,6 204,5 242,2 118,4 119,0 Таблица 4. Условный пример формирования индекса промышленного производства по секции С «Обрабатывающая промышленность»
Этап 3.
Наименование вида деятельности Валовая добавленная стоимость за базисный год, млн. тенге
Расчетная величина (исходя из валовой добавленной стоимости базисного года), млн. тенге Индекс промышленного производства в % к среднемесячному уровню базисного года
Индекс промышленного производства в % к за соответствующий
месяц прошлого года
за предыдущий месяц за отчетный месяц за соответствующий месяц прошлого года за предыдущий месяц за отчетный месяц предыдущему месяцу соответствующему месяцу прошлого года А 1 2= 1*5 / 100 3= 1*6/
100
4= 1*7/ 100 5=2:1*
100
6=3:1*
100
7=4:1* 100 8=7:6*
100
9=7:5*
100
Секция С
Обрабатывающая промышленность
2469804,1 2603174 2568596 2704435 105,4 104,0 109,5 105,3 103,9 сумма входящих видов деятельности 10 Производство продуктов питания 409 119,2 388 351 450 338 537 135 94,9 110,1 131,3 119,3 138,3 11 Производство напитков 79 989,2 97 667 72 230 81 669 122,1 90,3 102,1 113,1 83,6 12 Производство табачных изделий 34 247,4 38 357 31 199 35 789 112,0 91,1 104,5 114,7 93,3 … … … … … … … … … … 33 Ремонт и установка машин и оборудования 96 068,6 74 069 75 606 105 964 77,1 78,7 110,3 140,2 143,1 Таблица 5. Условный пример формирования индекса промышленного производства
Этап 4.
Наименование вида деятельности Добавленная стоимость за базисный год, млн. тенге
Расчетная величина (исходя из валовой добавленной стоимости базисного года), млн. тенге Индекс промышленного производства в % к среднемесячному уровню базисного года
Индекс промышленного производства в % к за соответствующий месяц прошлого года
за предыдущий месяц за отчетный месяц за соответствующий месяц прошлого года за предыдущий месяц за отчетный месяц предыдущему месяцу соответствующему месяцу прошлого года А 1 2= 1*5 / 100 3= 1*6 / 100 4= 1*7 / 100 5=2:1*
100
6=3:1*
100
7=4:1* 100 8=7:6*
100
9=7:5*
100
Итого по промышленности 7177125,8 7664793 7580771 7744533 106,8 105,6 107,9 102,2 101,0 сумма данных по секциям B, C, D, E ОКЭД Секция B Горнодобывающая промышленность и
разработка карьеров
4249267,9 4606206 4550966 4589209 108,4 107,1 108,0 100,8 99,6 Секция С
Обрабатывающая промышленность
2469804,1 2603174 2568596 2704435 105,4 104,0 109,5 105,3 103,9 Секция D Снабжение электроэнергией, газом, паром, горячей водой и кондиционированным воздухом 391236,4 381847 404147 381064 97,6 103,3 97,4 94,3 99,8 Секция E Водоснабжение; сбор, обработка и удаление отходов, деятельность по ликвидации загрязнений 66817,4 73566 57062 69824 110,1 85,4 104,5 122,4 94,9