Методика расчета индекса физического объема промышленной продукции (работ, услуг)
- Содержание
1. Общие положения
Одним из основных индикаторов развития производящего сектора экономики является индекс физического объема промышленного производства.
Индекс физического объема промышленного производства – это относительный показатель, который используется статистическими органами для анализа совокупных изменений производства всех видов товаров, работ и услуг за сравниваемые периоды и отражает изменение создаваемой в процессе производства стоимости в результате реального (физического) роста (снижения) выпуска товаров, выполнения работ и оказания услуг. Индекс физического объема также используется для формирования основных макроэкономических показателей страны и ее регионов.
Производство совокупности товаров и услуг отнесено к соответствующим группировкам классификатора ГКЭД и определено в терминах действующего в настоящее время Классификатора продукции (ГСКП).
Объекты статистического наблюдения:
- производство продукции в натуральном выражении, произведенной всеми промышленными предприятиями, независимо от форм собственности и численности занятых, как юридических, так и физических лиц;
- производство продукции в натуральном выражении, произведенной подсобными промышленными предприятиями, состоящими на балансе непромышленных предприятий;
- производство продукции в натуральном выражении, произведенной индивидуальными предпринимателями, рассчитанными на основании «Методических указаний по учету выпускаемой промышленной продукции (работ, услуг) индивидуальными предпринимателями».
Примечание: Как правило, в расчет индекса физического объема включается производство продукции в натуральном выражении по предприятиям, работавшим в базисном году и у которых есть ВДС (валовая добавленная стоимость) базисного года. Но в случае, если начинается выпуск совершенно новой продукции новым предприятием и этот вид продукции занимает большой удельный вес в корзине товаров для конкретного региона, то разрешается включать этот вид продукции в расчет ИФО. Необходимым условием для корректного расчета при этом является наличие в программе расчета данных по ВДС, средних оптовых цен и среднегодового производства конкретного вида товара или услуги «предприятия – донора», который занимался аналогичным видом деятельности в базисном году.
Инструментарий:
Инструментарием для определения индекса физического объема промышленной продукции являются следующие формы статистической отчетности:
- ф. N 1-П (месячная, срочная) «Отчет о производстве и отгрузке продукции», раздел 2, ф. N 1-П-Тепло (месячная, срочная), раздел 2, ф. N 1-П-Электро (месячная, срочная), раздел 2, ф. N 1-П-Газ (месячная, срочная), раздел 2;
- ф. N 1-П (годовая) «О производстве и отгрузке продукции, использовании производственных мощностей» раздел 2;
- ф. N 3-П (квартальная, годовая) «Отчет о работе подсобных промышленных предприятий (производств), состоящих на балансе непромышленных предприятий, сельскохозяйственных предприятий (кооперативов), крестьянских (фермерских) хозяйств», раздел 2;
- ф. N 1-фхд-микро (квартальная – раздел 3.2, годовая - раздел 3.1) «Отчет о деятельности малого предприятия»;
- Сводные данные по промышленной деятельности населения, рассчитанные территориальными органами госстатистики на основании данных органов Государственной налоговой инспекции о деятельности индивидуальных предпринимателей (патентах), занимающихся промышленной деятельностью (ежемесячно) и имеющих «Свидетельство о государственной регистрации (перерегистрации) физического лица, занимающегося предпринимательской деятельностью» и представляющих декларацию о доходах в ГНИ.
2. Метод исчисления индекса физического объема промышленной продукции
Расчет индекса физического объема промышленной продукции базируется на использовании данных о динамике натурально-вещественных показателей производства по установленному набору (корзине) товаров с последующей поэтапной агрегацией индивидуальных (товарных) индексов в индексы по видам экономической деятельности. Индексы для крупных совокупностей рассчитываются как средневзвешенные из составляющих элементов этих совокупностей.
Для расчета вся промышленность разбивается на виды экономической деятельности, а каждый вид – на подвиды. Для каждого подвида экономической деятельности формируется «корзина» профильных товаров–представителей.
Расчет проводится в три этапа:
- Формирование индекса для подвида экономической деятельности;
- Агрегация полученных данных для вида экономической деятельности;
- Агрегация полученных индексов в общепромышленный индекс.
На каждом этапе рассчитываются три серии индексов:
а) индексы, характеризующие изменение объема продукции в отчетном периоде t по сравнению со среднемесячным объемом базисного года* – It/b;
*Примечание: В соответствии с международными стандартами в качестве базисного года рекомендуется использовать год t-2, где t – отчетный год.
б) индексы, характеризующие изменение объема продукции в прошедшем периоде t-1 по сравнению со среднемесячным объемом базисного года – It-1/b;
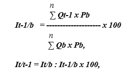
в) индексы, характеризующие изменение объема продукции в отчетном периоде t по сравнению с прошедшим периодом t-1 – It/t-1, которые получаются путем деления индекса It/b на индекс It-1/b.
Таким образом, сопоставление объема продукции за период t с объемом продукции за период t-1 осуществляется не непосредственно, а путем сравнения отклонений этих двух объемов от среднемесячного значения базисного года. Применение этого метода обеспечивает включение каждого подвида в расчет общепромышленного индекса с учетом ее реального веса в данный период года, а также позволяет избежать математической неопределенности (деление на ноль), когда в отдельные периоды, с которыми производится сравнение, не было выпуска данного вида продукции.
На первом этапе формируются индексы физического объема по подвидам экономической деятельности путем сопоставления объемов выпуска товаров-представителей в натурально-вещественном выражении за сравнимые периоды, оцененных в одних и тех же ценах (средних оптовых ценах базисного года). При расчетах применяется формула Ласпейреса, преимущество которой состоит в ясности интерпретации и относительной простоте расчета. Эта формула в данном случае выглядит следующим образом:


где Qt – производство по n-му товару в натуральном (или стоимостном) выражении за отчетный период (месяц),
Qt-1 – производство по n-му товару за соответствующий период (месяц) прошлого года,
Qb– производство по n-му товару в среднем за месяц базисного года;
Pb– средняя оптовая цена единицы продукции в базисном году;
n– количество товаров-представителей, участвующих в расчете индекса по подвиду экономической деятельности.
Стандартный набор товаров-представителей формируется из профильных для данного вида экономической деятельности изделий, занимающих значительный удельный вес в общем объеме промышленного производства.
Для расчета сформирован набор по 407 наименованиям товаров-представителей, по которым имеются данные, как о выпуске продукции, так и о средних оптовых ценах, что позволяет получить индексы физического объема по Кыргызской Республике в разрезе видов экономической деятельности.
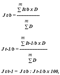
На втором этапе индексы по всем подвидам, составляющим каждый из укрупненных видов экономической деятельности промышленности, агрегируются с целью получения индекса по укрупненному виду экономической деятельности. Например, индекс по добыче топливно-энергетических полезных ископаемых рассчитывается путем агрегирования индексов по добыче угля, лигнита и добыче сырой нефти и природного газа. Для точного определения влияния каждого подвида на величину агрегированного индекса по виду экономической деятельности значения подвидовых индексов «взвешиваются» на величину добавленной стоимости соответствующего вида экономической деятельности. При этом в качестве весов используется добавленная стоимость базисного года:

где J t/b –индекс физического объема продукции по данному виду экономической деятельности за период времени t по сравнению со среднемесячным объемом продукции базисного года, в процентах;
Jt-1/b –индекс физического объема продукции по данному виду экономической деятельности за период времени t-1, соответственно, по сравнению со среднемесячным объемом продукции базисного года, в процентах;
Jt/t-1 – индексы физического объема продукции по данному виду экономической деятельности за период времени t в процентах к периоду времени t-1, в процентах;
D – добавленная стоимость за базисный год по подвидам, входящим в данный вид экономической деятельности, тыс. сомов;
m – количество подвидов, входящих в данный вид экономической деятельности.
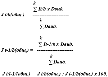
На третьем этапе расчет индекса физического объема в целом по промышленности производится путем аналогичного агрегирования значений индексов по укрупненным видам экономической деятельности. Как и на предыдущем этапе расчетов, в качестве «веса» используется показатель добавленной стоимости на базисный год:

где Jt/b(общ.) – общепромышленный индекс физического объема продукции за период времени t, по сравнению со среднемесячным объемом продукции базисного года, в процентах;
Jt-1/b(общ.) – общепромышленный индекс физического объема продукции за период времени t-1, по сравнению со среднемесячным объемом продукции базисного года, в процентах;
Jt/t-1/(общ.) – общепромышленный индекс физического объема продукции за периоды времени t в процентах к периоду времени t-1;
Dвид. – добавленная стоимость укрупненных видов деятельности промышленности за базисный год;
к – количество укрупненных видов деятельности промышленности.
Пример 1 (условный) для районного уровня
Выпуск продукции Средняя цена единицы продукции в базисном году (2005г) январь 2007г. январь 2006г. в среднем за месяц базисного года (2005г.)
Qt, Qt-1 Qb Pb, тыс.сом. Молоко обработанное жидкое, тонн 738,2 576,0 446,9 10,8 Масло сливочное всех видов, тонн 59,7 108,8 150,7 98,4 Сыры твердые, тонн 78,2 59,2 174,1 87,2 Индекс физического объема производства молочной промышленности за январь 2007г. по сравнению со среднемесячным значением базисного года (назовем его индексом с фиксированной базой за январь 2007г) в соответствии с формулой Ласпейреса будет равен:

Индекс за январь 2006г. по сравнению со среднемесячным значением базисного года (назовем его индексом с фиксированной базой за январь 2006г) равен:

Индекс за январь 2007г. по сравнению с январем 2006г. равен:

Индекс физического объема нарастающим итогом (кумулятивный) рассчитывается следующим образом:
Берется сумма индексов с фиксированной базой за месяцы отчетного года (допустим за январь-март берется сумма индексов январь + февраль + март), делится на сумму индексов с фиксированной базой прошлого года и умножается на 100%.
Примечание: Для районного уровня расчет индекса физического объема проводится без промежуточного этапа процедуры взвешивания на величину добавленной стоимости, т.е. является упрощенным вариантом.
Для областного уровня
Для областного уровня расчеты проводятся в полном объеме, в соответствии с данной методикой расчета, как и на республиканском уровне.
Индексы по всем подвидам, составляющим каждую из укрупненных видов деятельности промышленности, агрегируются с целью получения индекса по укрупненному виду. Например, индекс по производству пищевых продуктов и напитков рассчитывается путем агрегирования индексов по производству мяса и мясопродуктов, переработке фруктов и овощей, производству молочных продуктов, продуктов мукомольно-крупяной промышленности. Для точного определения влияния каждого подвида на величину агрегированного индекса, значения индексов подвидов «взвешиваются» на величину добавленной стоимости соответствующих подвидов. При этом в качестве весов используется добавленная стоимость базисного года.
Пример 2 (условный) для областного уровня
Индексы физического объема по производству пищевых продуктов рассчитываются на основании следующих данных:
Подвиды производства пищевых продуктов, напитков и табака Индекс физического объема по сравнению со среднемесячным значением базисного года, в % Веса добавленной стоимости базисного года
D
Январь 2007г., it/b Январь 2006г.,
it-1/b1 2 3 4 5=2×4 6=3×4 Производство мяса и мясопродуктов 90,6 94,7 Dмяс=0,0424 3,8 4,0 Производство молочных продуктов 59,3* 63,4* Dмол=0,1175 6,9 7,4 Переработка фруктов и овощей 83,3 87,6 Dфр=0,0091 0,75 0,79 мукомольно-крупяной промышленности
105,8
106,0
Dмук=0,1122
11,8
11,8* - данные взяты из расчета примера 1.
На основании этих данных индекс физического объема по производству пищевых продуктов и напитков за январь 2007г. по сравнению со среднемесячным значением базисного года рассчитывается следующим образом:
Jt/b = it/bмяс× Dмяс+ it/bмол× Dмол+ it/bфр× Dфр+ it/bмук× Dмук =23,3
Индекс физического объема по производству пищевых продуктов и напитков за январь 2006г. по сравнению со среднемесячным значением базисного года рассчитывается по аналогичному алгоритму:
Jt-1/b= it/bмяс× Dмяс+ it/bмол× Dмол+ it/bфр× Dфр+ it/bмук× Dмук =23,9
Индекс физического объема по производству пищевых продуктов и напитков за январь 2007г. по сравнению с январем 2006г. равен:
Jt/t-1 = 23,3: 23,9 × 100 = 97,4 %.
Индекс физического объема нарастающим итогом (кумулятивный) рассчитывается также, как и в примере для районного уровня как сумма месячных индексов с фиксированной базой.
Аналогично расчеты проводятся по всем видам деятельности промышленного производства секций C, D, E с последующей агрегацией в общепромышленный индекс.