Рекомендaции по формированию выпуска товаров и услуг по фактическим ("чистым") видам экономической деятельности ОКВЭД2 с учетом досчета на неформальную деятельность
- Содержание
- 1. Общие положения
- 2. Формирование информационных ресурсов для расчета индексов производства
- 3. Алгоритм расчета индексов производства
- 4. Применение метода дефлятирования при проведении расчетов индексов производства
- 5. Появление нового вида экономической деятельности на уровне субъекта Российской Федерации
- 6. Порядок уточнения и публикации данных по индексам производства
Официальная статистическая методология исчисления индекса промышленного производства (далее – Методология) является результатом работы по дальнейшему развитию методологических положений, заложенных в действовавшей с 1996 года Методике расчета индекса физического объема промышленной продукции и предыдущей редакции Методологии 2014 года.
С целью приближения к международному опыту в области расчетов индексов производства и повышения качества официальной статистической информации по индексам производства в Методологии используются рекомендации Статистического отдела ООН в области индексных расчетов1, опыт в области индексных расчетов Европейской экономической комиссии2, рекомендации ЮНИДО по промышленной статистике3.
Настоящая Методология применяется для формирования индексов промышленного производства по Российской Федерации и субъектам Российской Федерации.
1. Общие положения
1.1. Понятие индекса производства4
Индекс производства – относительный показатель, характеризующий совокупные изменения производства всех видов продукции (товаров, работ, услуг) за сравниваемые периоды.
Рассчитываются индивидуальные, групповые и сводные индексы производства.
Индивидуальные индексы производства отражают изменение выпуска конкретного вида продукции (товаров, работ, услуг) и исчисляются как отношение объемов производства данного вида продукции (товаров, работ, услуг) в сравниваемых периодах.
Сводный индекс производства характеризует совокупные изменения производства всех видов продукции (товаров, работ, услуг).
Использование индивидуальных и сводных индексов предполагает выделение двух иерархических уровней. При использовании в расчетах более двух иерархических уровней в системе дополнительно появляются групповые индексы, т.е. индексы промежуточных уровней иерархии.
Промышленное производство (промышленность) – определенная на основании Общероссийского классификатора видов экономической деятельности совокупность видов экономической деятельности, относящихся к добыче полезных ископаемых, обрабатывающим производствам, обеспечению электрический энергией, газом и паром, кондиционированию воздуха, водоснабжению, водоотведению, организации сбора и утилизации отходов, а также ликвидации загрязнений5.
Индекс промышленного производства – агрегированный индекс производства по видам экономической деятельности промышленного производства.
Индекс промышленного производства – один из основных макроэкономических индикаторов развития производства (товаров, работ, услуг).
1.2. Принципы формирования индексов производства
Построение индексов производства основано на соблюдении следующих основных принципов.
Индекс производства формируется преимущественно на данных о динамике выпуска по установленному набору товаров («корзина» товаровпредставителей) в натуральном или стоимостном выражении.
В рамках расчета индексов производства осуществляется поэтапная агрегация индивидуальных (товарных) индексов в индексы по видам экономической деятельности. Индексы для крупных совокупностей рассчитываются как средневзвешенные из составляющих элементов этих совокупностей.
При расчете индексов производства используется метод, ориентированный на сопоставление объемов выпуска продукции (товаров, работ, услуг) сравниваемых периодов через базисный год.
Дальнейшая поэтапная агрегация индивидуальных индексов в индексы по укрупненным группировкам видов экономической деятельности осуществляется согласно иерархической структуре действующей версии классификатора видов экономической деятельности путем их взвешивания на величину добавленной стоимости, созданной в конкретном виде экономической деятельности в базисном году. При этом данные по добавленной стоимости сформированы по чистым6 видам экономической деятельности. Применение в качестве весов значения добавленной стоимости способствует тому, что агрегированный показатель «индекс производства» характеризует динамику производства в конкретный временной период, очищенную от повторного счета по продукции (товарам, работам, услугам), созданным в предыдущие временные периоды и в рамках других видов экономической деятельности, и не зависит от организационной структуры производства.
В целях оперативного (ежемесячного) формирования индексов промышленного производства и имеющегося на этот момент информационного ресурса в российской статистической практике предпочтение отдано индексу Ласпейреса.
Решение продиктовано как соображениями технологичности расчета, не требующего оперативного проведения смены весов при обработке данных нового периода, так и простотой интерпретации результата: значение индекса равно отношению стоимостей в постоянных ценах базисного периода «корзины» товаровпредставителей фиксированного состава в сопоставляемые периоды времени.
Расчет индексов производства осуществляется в несколько этапов.
Первоначально формируются индексы по сравнению со среднемесячным объемом базисного года (1/12 уровня базисного года).
Индексы, характеризующие изменение производства в отчетном периоде (месяце или периоде с начала отчетного года) по сравнению с прошедшим периодом (предшествующим месяцем, соответствующим месяцем прошлого года или соответствующим периодом с начала прошлого года), получаются путем деления индексов, рассчитанных к среднемесячному объему базисного года.
В качестве базисного принимается год, в котором товарная структура производства, цен и добавленной стоимости относительно устойчива, и в течение ближайших лет не ожидается ее существенного изменения.
По мере удаления от базисного года точность расчета индекса постепенно снижается, поскольку структура цен и отраслевая структура промышленного производства все больше и больше отклоняется от той, которая имела место в базисном году. Поэтому в мировой статистической практике расчеты индекса на основе одного и того же базисного года проводятся приблизительно в течение пяти лет, после чего базисный год обновляется.
Решение об изменении базисного года принимается с учетом интенсивности происходящих в производстве структурных сдвигов.
В случае возникновения кардинальных изменений товарной структуры производства, цен, доли промежуточного потребления (затрат) в выпуске, связанных с возникновением новых технологий, масштабным изменением внешней и внутренней конъюнктуры рынка и переориентацией производства, возникновением новых форм и видов хозяйственной деятельности и т.д., актуализация базисного года (по отдельным элементам – структуре добавленной стоимости, средних цен производителей), при необходимости, может проводиться ежегодно.
2. Формирование информационных ресурсов для расчета индексов производства
2.1. Формирование «корзины» товаровпредставителей
«Корзина» товаровпредставителей строится на базе согласованной с соответствующими министерствами и ведомствами Номенклатуры продукции и услуг по Общероссийскому классификатору продукции по видам экономической деятельности и расширяется с учетом предложений территориальных органов статистики, заинтересованных министерств и ведомств, органов исполнительной власти субъектов Российской Федерации, представителей экспертного сообщества.
Для обеспечения репрезентативности индексов производства совокупная стоимость товаров, включенных в «корзину» по элементарному виду деятельности, должна составлять не менее 70 процентов от объема производства в стоимостном выражении базисного года по данному элементарному виду экономической деятельности. В данном случае под репрезентативностью понимается свойство выборочной совокупности товаровпредставителей «корзины» представлять параметры промышленного производства в целом.
При формировании «корзины» необходимо обеспечить, с одной стороны, представительность (репрезентативность) индекса, с другой – оперативность формирования информационного массива данных по производству товаров (видов продукции, изделий).
«Корзина» товаров формируется из профильных для элементарных видов деятельности товаров, по возможности дифференцированных по качественным характеристикам и направлениям использования7.
В «корзину» преимущественно включаются товары, представляющие собой конечный продукт конкретного вида деятельности. В порядке исключения по отдельным видам деятельности возможно включение в «корзину» товара, часть которого может быть направлена на дальнейшую переработку в рамках того же вида деятельности8.
Отбираются не только товары, в отношении которых легко оценить физический рост их производства (например, нефть, газ, уголь, руда, цемент), но и товары, динамику выпуска по которым трудно оценить изза их широкого ассортимента (например, измерительные приборы).
Производство по включенным в «корзину» товарам, может быть учтено в натуральных единицах или в стоимостном выражении.
Выбор измерителей для динамических рядов показателей по товарам, используемым при расчете индивидуальных индексов, должен быть оправдан с точки зрения значимости этих товаров в производстве добавленной стоимости по соответствующему элементарному виду деятельности.
Технологически отбор товаров в «корзину» осуществляется в несколько этапов.
Для преемственности расчетов во времени в основу формирования перечня товаровпредставителей положен принцип максимально возможного сохранения на длительный период постоянной (обязательной) «корзины» товаров.
Актуализация «корзины» проводится при переходе в расчетах на новый базисный год и/или при переходе на новые версии классификаторов продукции и/или видов экономической деятельности.
При переходе на более актуальный базисный год в «корзину» включаются товары, выпуск которых начат или существенно расширен за период с предшествующего базисного года. Для более точного учета товарных сдвигов и качественных изменений при необходимости проводится разукрупнение товаров, т.е. включение в расчет данных по ассортиментным группам. Товары, выпуск которых прекращен, исключаются.
Включенный в унифицированную «корзину» товар сохраняется в ее составе до момента актуализации базисного года.
В случае, когда по элементарному виду экономической деятельности сформировать репрезентативную «корзину» товаров в натуральном выражении сложно, применяется метод дефлятирования9.
Метод дефлятирования предпочтителен в случаях, когда:
- товар (товары) занимает значительную долю в производстве по виду деятельности, но о нем (о них) трудно в оперативном порядке получать информацию в натуральном (физическом) выражении;
- элементарный вид деятельности занимает существенную долю в производстве, но в силу специфики деятельности результат не может быть представлен в натуральном выражении;
- происходит существенное изменение ассортиментного состава продукции в рамках элементарного вида деятельности;
- элементарный вид деятельности полностью представлен продукцией с длительным циклом изготовления (судостроение, производство самолетов и вертолетов). Учет производства этой продукции в натуральных единицах измерения возможен только после завершения ее изготовления, что приводит к значительному «скачку» значения индексов в месяце завершения производства такой продукции;
Подробно применение метода дефлятирования рассмотрено в п. 4.1 Методологии.
Централизованно сформированный единый унифицированный перечень товаровпредставителей «корзины» обязателен к использованию при расчетах как на уровне Российской Федерации в целом, так и на уровне субъекта Российской Федерации.
2.2. Формирование системы весов
Для расчета индексов производства необходимо сформировать по базисному году систему весов, позволяющих корректно учесть динамику по конкретному товару в индексах по всей иерархии группировок видов деятельности.
При формировании индекса по элементарному виду деятельности на основании товаров, представленных в натуральных единицах измерения, в качестве весов выступает объем производства базисного года, рассчитанный в средних ценах базисного года по продукции, включенной в «корзину»10. Фактический уровень цен влияет на величину индекса производства по элементарному виду деятельности в случае, когда в «корзину» по данному виду деятельности включено два и более товарапредставителя.
На всех последующих этапах расчета индексов производства в качестве весов используется структура добавленной стоимости базисного года по фактическим видам экономической деятельности промышленного производства.
2.2.1. Формирование средних цен на товары
При определении средней цены за единицу товара в базисном году используются данные об объемах отгрузки по конкретному виду товара в натуральном и стоимостном11 выражении за соответствующий год.
Цена должна отражать полную стоимость единицы товара «при выходе на рынок». Показатели по отгрузке не включают в себя товары, произведенные из давальческого сырья (неоплаченное сырье и материалы заказчика), и, соответственно, стоимость услуг по их переработке, а также ту часть товаров, которая направляется на дальнейшую переработку на том же предприятии (внутренний оборот).
Источником данных об объемах отгрузки на сторону (без продукции, произведенной из давальческого сырья) в натуральном и стоимостном выражении по конкретному товару является информация раздела I годовой формы федерального статистического наблюдения № 1натураБМ «Сведения о производстве, отгрузке продукции и балансе производственных мощностей» за соответствующий год.
2.2.2. Формирование данных по добавленной стоимости12
При расчете индексов производства применяются данные о валовой добавленной стоимости, сформированные в рамках Системы национальных счетов.
Информация формируется по фактическим видам экономической деятельности на совокупности данных секторов «Нефинансовые корпорации» и «Домашние хозяйства», включая экономические операции, ненаблюдаемые прямыми статистическими методами.
Валовая добавленная стоимость рассчитывается как разница между выпуском товаров и услуг и промежуточным потреблением (затраты).
2.3. Источники информации о производстве и отгрузке продукции (товаров, работ, услуг)
Географический охват включает данные о произведенной продукции и оказанных услугах по всем производствам, осуществляющим выпуск продукции (товаров, работ, услуг) на территории Российской Федерации.
Источником информации являются отчетные данные респондентов (юридических лиц, индивидуальных предпринимателей) о производстве и отгрузке продукции (товаров, работ, услуг) по формам:
- месячные – П1 «Сведения о производстве и отгрузке товаров и услуг», ПМпром «Сведения о производстве продукции малым предприятием», 1ИП (мес) «Сведения о производстве продукции индивидуальным предпринимателем»;
- квартальные – П5(м) «Основные сведения о деятельности организации», ПМ «Сведения об основных показателях деятельности малого предприятия»;
- годовые – 1предприятие «Основные сведения о деятельности организации», 1натураБМ «Сведения о производстве, отгрузке продукции и балансе производственных мощностей», МП (микро) «Сведения об основных показателях деятельности микропредприятия», МП (микро)натура «Сведения о производстве продукции микропредприятием».
Данные респондентов об объеме произведенной (отгруженной) продукции (товаров, работ, услуг) представляют собой общий объем производства (отгрузки), включая военную (оборонную) продукцию13 (товары, работы, услуги).
В случае если месячные оценки данных о производстве и отгрузке продукции (товаров, работ, услуг) недоступны (отчетные данные респондентов доступны ежеквартально или ежегодно), используется метод экстраполяции14.
При получении отчетных данных респондентов информация актуализируется.
При построении индексов производства в качестве источника информации кроме данных статистических обследований могут выступать, в том числе, административные данные15.
В случае обнаружения ошибочных, противоречивых и отсутствующих значений может производиться замещение этих данных другими приемлемыми значениями в ручном режиме по согласованию с респондентами.
В случае систематического уточнения данных об отгрузке продукции (товаров, работ, услуг) по отчетному месяцу (предварительные данные респондентов) при расчете индексов производства методом дефлятирования может применяться экспертное редактирование данных с учетом оценки среднемесячного уточнения данных последующими отчетами (с учетом соотношений, которые можно считать практически постоянными или незначительно измененными).
3. Алгоритм расчета индексов производства
Формирование индексов производства осуществляется в несколько этапов.
На первом этапе расчета определяются индексы производства для каждого элементарного вида деятельности путем сопоставления выпуска товаровпредставителей в отчетном периоде с их выпуском в базисном периоде. При этом выпуск каждого товарапредставителя за сравниваемые периоды оценивается в одних и тех же ценах – среднегодовых ценах базисного года.
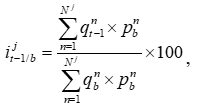
Расчет индекса для элементарного вида экономической деятельности выполняется по нижеприведенным формулам:

(1) 
(2)
,(3) где:

– индекс по jму виду деятельности за отчетный t период (отчетный месяц, период с начала года) по сравнению со среднемесячным производством базисного года, %; 
– производство по nму товару в натуральном (или стоимостном) выражении соответственно за tпериод (отчетный месяц, период с начала года), t–1период (предыдущий месяц, соответствующий период предыдущего года) и в среднем за месяц базисного года; 
– среднегодовая цена единицы nго товара в базисном году, тысяч рублей; 
– количество товаров, входящих в корзину по jму виду деятельности; 
– индекс по jму виду деятельности за предыдущий t–1 период (предыдущий месяц, соответствующий период предыдущего года) по сравнению со среднемесячным производством базисного года, %; 
– индекс по jму виду деятельности за отчетный период t (отчетный месяц, период с начала года) по сравнению с предыдущим периодом t–1 (предыдущий месяц, соответствующий период предыдущего года), %. На последующих этапах расчета индексы по элементарному виду деятельности, сформированные на первом этапе, агрегируются согласно иерархической структуре действующего классификатора видов экономической деятельности в индексы по подгруппе видов деятельности, которые, в свою очередь, – в индексы по группе, подклассам, классам, разделам действующего классификатора видов экономической деятельности, относящихся к сфере промышленного производства (B «Добыча полезных ископаемых», C «Обрабатывающие производства», D «Обеспечение электрической энергией, газом и паром; кондиционирование воздуха», E «Водоснабжение; водоотведение, организация сбора и утилизации отходов, деятельность по ликвидации загрязнений» ОКВЭД2) и индекса промышленного производства в целом.
Для учета влияния конкретного вида деятельности (или подгруппы, группы видов деятельности и т.д.) на общий индекс промышленного производства осуществляется поэтапное взвешивание на величину добавленной стоимости базисного года по соответствующим группировкам действующего классификатора видов экономической деятельности.
Расчет выполняется по формулам:
,(4)
,(5) где:
,
– индекс по jму виду деятельности за отчетный период t (отчетный месяц, период с начала года) или за предыдущий t–1 период (предыдущий месяц, соответствующий период предыдущего года) по сравнению со среднемесячным производством базисного года, %;
,
– индекс по jму виду деятельности за отчетный период t (отчетный месяц, период с начала года) или за предыдущий t–1 период (предыдущий месяц, соответствующий период предыдущего года) по сравнению со среднемесячным производством базисного года, сформированный на предыдущем этапе расчета, %; m – количество видов деятельности предыдущего уровня агрегации; 
– добавленная стоимость за базисный год по jму виду деятельности, тысяч рублей. Индекс производства за отчетный период t (отчетный месяц, период с начала года) по сравнению с предыдущим t–1 периодом (предыдущий месяц, соответствующий период предыдущего года) рассчитывается путем соотношения индексов, исчисленных к среднемесячному производству базисного года, по формуле:
.(6) Описанный алгоритм расчета проиллюстрирован ниже на условном примере.
Таблица 1.1
Условный пример расчета индекса производства по элементарному виду экономической деятельности (исходя из товаровпредставителей)
Этап 1
Наименование вида деятельности, товара,
единицы измеренияЦена единицы товара
в базисном году, тысяч рублейПроизведено
в базисном годуПроизведено в натуральном выражении Произведено в стоимостном выражении (в средних ценах базисного года), тысяч рублей Индекс производства,
% к среднемесячному уровню базисного годав натуральном выражении в стоимостном выражении, тысяч рублей за соответствующий месяц прошлого года за предыдущий месяц за отчетный месяц за соответствующий месяц прошлого года за предыдущий месяц за отчетный месяц за соответствующий месяц прошлого года за предыдущий месяц за отчетный месяц A 1 2 3=1*2 4 5 6 7=1*4 8=1*5 9=1*6 10=73:12)*
10011=83:12)*100 12=93:12)*100 10.41 Производство нерафинированных животных масел и жиров, их фракций 16 х х 9240937 х х х 1241601 1003035 806513 161,2 130,3 104,7 Масла и жиры животные и их фракции нерафинированные 38,2 18178 694392 3219 2967 3709 122966 113339 141684 212,5 195,9 244,8 Масло соевое и его фракции нерафинированные 13,2 600 7920 83 164 185 1096 2165 2442 166,0 328,0 370,0 Масло подсолнечное и его фракции нерафинированные 54,6 78 4259 54 11 25 2948 601 1365 830,8 169,2 384,6 Масло рапсовое и его фракции нерафинированные 12,9 12629 162909 381 45 285 4915 581 3677 36,2 4,3 27,1 Масло горчичное и его фракции нерафинированные 15,4 56096 863875 5331 2936 3588 82097 45214 55255 114,0 62,8 76,8 Жмых и прочие твердые остатки растительных жиров или масел 39,3 1804 70889 16 25 55 629 983 2162 10,6 16,6 36,6 Масло соевое и его фракции рафинированные, но не подвергнутые химической модификации 14,1 426921 6019586 67777 51926 35087 955656 732157 494727 190,5 146,0 98,6 Масло подсолнечное и его фракции рафинированные, но не подвергнутые химической модификации 16,5 171 2822 29 44 89 479 726 1469 203,5 308,8 624,6 Масло рапсовое и его фракции рафинированные, но не подвергнутые химической модификации 9,3 116581 1084201 6639 10910 10411 61743 101463 96822 68,3 112,3 107,2 Жиры и масла животные и растительные и их фракции гидрогенизированные и переэтерифицированные, но без дальнейшей обработки 11,5 28703 330083 789 505 601 9074 5808 6912 33,0 21,1 25,1 10.42 Производство маргариновой продукции 1 х х 43389374 х х х 197068 308591 191790 5,5 8,5 5,3 Маргарин 42,8 5174 221464 137 30 24 5864 1284 1027 31,8 7,0 5,6 Спреды растительносливочные, растительножировые 10,7 4005573 42859631 16060 27338 15873 171842 292517 169841 4,8 8,2 4,8 Смеси топленые растительносливочные, растительножировые 78,6 1263 99248 246 188 266 19336 14777 20908 233,8 178,7 252,8 Жиры специального назначения 13,6 15370 209031 2 1 1 27 14 14 0,2 0,1 0,1 Таблица 1.2
Условный пример формирования индекса производства по виду экономической деятельности 10.4 «Производство растительных и животных масел и жиров»
Этап 2 Итерация 1
код вида деятельности Добавленная стоимость за базисный год,
тысяч рублейрасчетная величина (исходя из добавленной стоимости базисного года),
тысяч рублей17Индекс производства,
% к среднемесячному уровню базисного года18Индекс производства,
%за соответствующий месяц прошлого года за предыдущий месяц за отчетный месяц за соответствующий месяц прошлого года за предыдущий месяц за отчетный месяц к предыдущему месяцу к соответствующему месяцу прошлого года А 1 2 3 4 5=2:1* 100 6=3:1*100 7=4:1* 100 8=7:6* 100 9=7:5* 100 10.4 Производство растительных и животных масел и жиров сумма входящих элементарных видов деятельности, данные по которым сформированы на предыдущем этапе 1 94,4 78,1 62,1 79,3 65,6 5869 5543 4582 3645 А 1 2= 1*5 / 100 3= 1*6 / 100 4= 1*7 / 100 5 6 7 8=7:6*100 9=7:5*100 10.41 Производство масел и жиров 3353 5406 4367 3512 данные граф 10 – 12
таблицы 1.180,4 65,0 161,2 130,3 104,7 10.42 Производство маргариновой продукции 2516 137 215 133 5,5 8,5 5,3 62,2 97,3 Таблица 1.3
Условный пример формирования индекса производства по виду экономической деятельности
10 «Производство пищевых продуктов»Этап 2 Итерация 2
код вида деятельности Добавленная стоимость за базисный год,
тысяч рублейрасчетная величина (исходя из добавленной стоимости базисного года),
тысяч рублей 19Индекс производства,
% к среднемесячному уровню базисного года20Индекс производства,
%за соответствующий месяц прошлого года за предыдущий месяц за отчетный месяц за соответствующий месяц прошлого года за предыду
щий месяцза отчетный месяц к предыдущему месяцу к соответствующему месяцу прошлого года А 1 2= 1*5 / 100 3= 1*6 / 100 4= 1*7 / 100 5=2:1*
1006=3:1*
1007=4:1* 100 8=7:6* 100 9=7:5*
10010 Производство пищевых продуктов сумма данных по входящим видам деятельности (включая 10.4), информация по которым сформированы на предыдущей итерации 1 этапа 2 71,8 65,6 62,8 95,7 87,5 22413 16082 14712 14068 А 1 2= 1*5 / 100 3= 1*6 / 100 4= 1*7 / 100 5 6 7 8=7:6*100 9=7:5*
100… 10.4 Производство растительных
и животных масел
и жиров5869 5543 4582 3645 данные граф 5 – 7 таблицы 1.2 79,6 65,8 94,4 78,1 62,1 … 10.9 Производство готовых кормов
для животных4473 1566 1516 1646 35,0 33,9 36,8 108,6 105,1 Таблица 1.4
Условный пример формирования индекса производства по разделу C «Обрабатывающие производства»
3 этап
код вида деятельности Добавленная стоимость за базисный год,
тысяч рублейрасчетная величина (исходя из добавленной стоимости базисного года), тысяч рублей 21 Индекс производства, %
к среднемесячному уровню базисного года22Индекс производства, %
кза соответствующий
месяц прошлого годаза предыдущий месяц за отчетный месяц за соответствующий
месяц прошлого годаза предыдущий месяц за отчетный месяц предыдущему месяцу соответствующему месяцу прошлого года А 1 2= 1*5 / 100 3= 1*6 / 100 4= 1*7 / 100 5=2:1*
1006=3:1*
1007=4:1* 100 8=7:6* 100 9=7:5*
100Раздел C ОКВЭД2 Обрабатывающие производства сумма входящих видов деятельности, данные по которым сформированы на предыдущей итерации 2 этапа 2 120,5 121,0 122,7 101,5 101,9 638392 769119 772142 783395 А 1 2= 1*5 / 100 3= 1*6 / 100 4= 1*7 / 100 5 6 7 8=7:6*
1009=7:5*
10010 Производство пищевых продуктов 22413 16082 14712 14068 данные граф 5 – 7 таблицы 1.3 95,6 87,5 71,8 65,6 62,8 … 20 Производство химических веществ и химических продуктов 122930 151327 151941 156490 123,1 123,6 127,3 103,0 103,4 21 Производство лекарственных средств
и материалов, применяемых
в медицинских целях22534 25779 17216 18027 114,4 76,4 80,0 104,7 69,9 22 Производство резиновых
и пластмассовых изделий147404 177474 154922 167746 120,4 105,1 113,8 108,3 94,5 … Таблица 1.5
Условный пример формирования индекса промышленного производства
4 этап
код вида деятельности Добавленная стоимость за базисный год,
тысяч рублейрасчетная величина (исходя из добавленной стоимости базисного года), тысяч рублей23 Индекс производства, %
к среднемесячному уровню базисного года24Индекс производства, %
кза соответствующий
месяц прошлого годаза предыдущий месяц за отчетный месяц за соответствующий
месяц прошлого годаза предыдущий месяц за отчетный месяц предыдущему месяцу соответствующему месяцу прошлого года А 1 2= 1*5 / 100 3= 1*6 / 100 4= 1*7 / 100 5=2:1*
1006=3:1*
1007=4:1* 100 8=7:6*100 9=7:5*
100Промышленное производство сумма данных по разделам промышленного производства, данные по которым сформированы на 3 этапе 115,2 118,3 121,7 102,9 105,7 1600782 1865350 1887655 1981913 А 1 2= 1*5 / 100 3= 1*6 / 100 4= 1*7 / 100 5 6 7 8=7:6*100 9=7:5*
100Добыча полезных ископаемых 899047 1029409 1051885 1131001 114,5 117,0 125,8 107,5 109,9 Обрабатывающие производства 638392 769119 772142 783395 данные граф 5 – 7 таблицы 1.4 101,5 101,9 120,5 121,0 122,7 Обеспечение электрической энергией, газом
и паром; кондиционирование воздуха32517 35996 36809 38695 110,7 113,2 119,0 105,1 107,5 Водоснабжение; водоотведение, организация сбора
и утилизация отходов, деятельность
по ликвидации загрязнений30826 31412 26819 28822 101,9 87,0 93,5 107,5 91,8 Индексы производства могут формироваться цепным методом.
Цепной метод может применяться с момента замены оперативных данных прошлого года о производстве и отгрузке продукции (товаров, работ, услуг) данными годовых отчетов.
Цепной метод позволит сократить размер отклонения оперативных индексов производства от индексов производства, рассчитанных на основе годовых данных.
Индекс производства отчетного месяца к соответствующему месяцу прошлого года определяется произведением последовательности двенадцати индексов, исчисленных к предыдущему месяцу.
Индекс производства за период с начала отчетного года к соответствующему периоду прошлого года рассчитывается как отношение сумм цепных индексов по месяцам, входящим в сравниваемые периоды
с начала года.4. Применение метода дефлятирования при проведении расчетов индексов производства
4.1. Алгоритм расчета индексов производства методом дефлятирования
В состав «корзины» могут быть отобраны товары, учитываемые не только в натуральном выражении, но и товары, учет по которым осуществляется в действующих ценах соответствующих периодов.
Изменение текущей стоимостной оценки объема произведенной (отгруженной) продукции (товаров, работ, услуг) относительно сравниваемого периода может быть вызвано изменением непосредственно цены, изменением объема произведенной продукции (товаров, работ, услуг), качественной оценки продукции или их комбинацией. Процедура дефлятирования позволяет устранить эффект влияния цены при проведении оценки изменения физического объема производства.
Для обеспечения единства методологии оценки динамики производства по товарампредставителям в натуральном выражении и методом дефлятирования необходимы индексыдефляторы, позволяющие пересчитать стоимостные оценки по товару в действующих ценах в средние цены года, принятого в качестве базисного.
Аналогичный подход используется и применительно к видам экономической деятельности, по которым в силу их специфики затруднен подбор «корзины» товаров (например, производство приборов, запасных частей, деталей и т.д.), и данные о производстве по которым имеются только в стоимостном выражении (например, предоставление услуг по монтажу, ремонту и техническому обслуживанию машин, оборудования, приборов, аппаратуры и т.д.).
Применение метода дефлятирования осуществляется на уровне элементарного вида экономической деятельности.
При расчете индексов производства методом дефлятирования также используется метод, ориентированный на сопоставление объемов выпуска продукции (товаров, работ, услуг) сравниваемых периодов через базисный год.
В качестве показателя, подлежащего дефлятированию по виду экономической деятельности, выступает показатель «Отгружено товаров собственного производства, выполнено работ и услуг собственными силами» (для продукции – «Объем произведенной продукции в стоимостном выражении»). Для включения этого показателя в расчет индекса производства над ним необходимо произвести следующие операции.
1. По каждому виду деятельности определяется темп роста в действующих ценах (индекс стоимости):
,(10) где:

̶ темп роста в действующих ценах по i-му виду экономической деятельности за отчетный месяц, %; 
̶ объем отгруженных товаров собственного производства, выполненных работ и услуг собственными силами iго вида деятельности в действующих ценах в отчетном месяце, тысяч рублей; 
̶ объем отгруженных товаров собственного производства, выполненных работ и услуг собственными силами iго вида деятельности в среднем за месяц базисного года, тысяч рублей. Аналогично рассчитываются темпы роста в процентах к базисному году за предыдущий месяц отчетного года и за соответствующий месяц предыдущего года.
2. По соответствующим видам деятельности (товарам) осуществляется расчет индексовдефляторов отчетного месяца к уровню средних цен базисного года.
В качестве индексовдефляторов применяются индексы цен производителей промышленных товаров (ИЦП).
Для каждого вида деятельности (товара) осуществляется расчет индекса цен декабря базисного года к уровню средних цен базисного года.
В случае с продукцией, наблюдение за ценами на которую не осуществляется, и ИЦП отсутствует, этот индекс рассчитывается по ближайшей вышестоящей товарной группе или виду экономической деятельности.
Расчет осуществляется путем деления индекса цен декабря базисного года к декабрю года, предшествующего базисному, на средний индекс цен за базисный год к декабрю года, предшествующего базисному:
,(11) где:

– индекс цен декабря базисного года к декабрю года, предшествующего базисному, %; 
– средний индекс цен за базисный год к декабрю года, предшествующего базисному, %. Средний индекс цен за базисный год к декабрю года, предшествующего базисному, рассчитывается по формуле среднего арифметического индекса из месячных индексов цен за базисный год, исчисленных по отношению к декабрю года, предшествующего базисному:
,(12) где:
,
, 
– индексы цен в январе, феврале … декабре базисного года, рассчитанные по отношению к декабрю года, предшествующего базисному, %. Далее для каждого вида деятельности (товара) определяется индекс цен отчетного месяца к уровню средних цен базисного года (индексдефлятор) как произведение индекса цен декабря базисного года к уровню средних цен базисного года и индекса цен отчетного месяца к декабрю базисного года:
/ 100,(13) где:

̶ индекс цен отчетного месяца к среднему за месяц базисного года
по i-му виду экономической деятельности (продукции в стоимостном выражении), %;
̶ индекс цен декабря базисного года к уровню средних цен базисного
года, %;
̶ индекс цен отчетного месяца к декабрю базисного года, %. По виду деятельности индекс производства к среднемесячному уровню базисного года определяется как отношение темпа роста в действующих ценах, полученного согласно формуле (10), к индексудефлятору, полученному согласно формуле (13):
,(14) где:

̶ индекс производства отчетного месяца к среднемесячному уровню базисного года, %; 
̶ темп роста в действующих ценах отчетного месяца к среднему за месяц базисного года по i-му виду экономической деятельности (продукции
в стоимостном выражении), %;
̶ индекс цен отчетного месяца к среднему за месяц базисного года по i-му виду экономической деятельности (продукции в стоимостном выражении), %. По товару, выпуск которого учитывается в стоимостном выражении, определяется объем производства за сопоставляемые периоды в средних ценах базисного года как отношение объема производства в действующих ценах за соответствующий период и индекса дефлятора, рассчитанного по отношению к уровню средних цен базисного года.
Полученные объемы производства товара в средних ценах базисного года используются на первом этапе расчета индекса производства по элементарному виду деятельности. Далее расчет осуществляется в соответствии с общей методологией.
По аналогичному принципу определяются индексы производства для предыдущего месяца и соответствующего месяца прошлого года, периода с начала отчетного и предыдущего года по отношению к среднемесячному уровню базисного года.
Полученные согласно формуле (14) индексы производства по отношению к среднемесячному уровню базисного года используется на этапе агрегирования индексов производства по видам деятельности в индекс
по вышестоящей группировке.Описанный алгоритм расчета методом дефлятирования проиллюстрирован ниже на условном примере.
1. Рассчитывается индекс цен декабря базисного года к уровню средних цен базисного года.
Расчет представляет собой простое перебазирование декабрьского индекса из ряда
с базой «декабрь предыдущего года = 100» (взято из статистики цен) в индекс с базой «среднегодовое значение базисного года = 100»:Таблица 1
Индекс цен производителей по виду экономической деятельности (товару)
по месяцам базисного года, % к декабрю года, предшествующего базисному1 2 3 4 5 6 7 8 9 10 11 12 101,6 103,4 104,3 104,2 103,3 103,6 104,1 104,2 105,1 106,1 106,4 107,1 2. Расчет среднего индекса цен за базисный год к декабрю года, предшествующего базисному осуществляется согласно формуле (12):

Расчет индекса цен декабря базисного года к уровню средних цен базисного года осуществляется согласно формуле 11:
.3. Начиная с января года (1), следующего за базисным (0), формируется цепочка индексов цен в процентах к декабрю базисного года.
По месяцам года (1), следующего за базисным годом (0):
I дек0 / дек0 = 100%;
I янв1 / дек0 = I дек0 / дек0 * I янв1 / дек0 / 100%;
I февр1 / дек0 = I янв1 / дек0 * I февр1 / янв1 / 100%;
I март1 / дек0 = I февр1 / дек0 * I март1 / февр1 / 100%;
…
I дек1 / дек0 = I нояб1 / дек0 * I дек1 / нояб1 / 100%.
Таблица 2
Индекс цен производителей по виду экономической деятельности (товару) по месяцам следующего за базисным года, % к предыдущему месяцу 1 2 3 4 5 6 7 8 9 10 11 12 100,2 100,7 100,4 100,7 100,2 100,6 100,3 100,5 100,6 100,5 100,1 100,6 Таблица 3
Индекс цен производителей по виду экономической деятельности (товару) по месяцам следующего за базисным года, % к декабрю базисного года 1 2 3 4 5 6 7 8 9 10 11 12 гр. 1 табл. 2 гр. 1 * гр. 2 табл. 2 /100 гр. 2 * гр. 3 табл. 2 /100 гр. 3 * гр. 4 табл. 2 /100 гр. 4 * гр. 5 табл. 2 /100 гр. 5 * гр. 6 табл. 2 /100 гр. 6 * гр. 7 табл. 2 /100 гр. 7 * гр. 8 табл. 2 /100 гр. 8 * гр. 9 табл. 2 /100 гр. 9 * гр. 10 табл. 2 /100 гр. 10 * гр. 11 табл. 2 /100 гр. 11 * гр. 12 табл. 2 /100 100,2 100,9 101,3 102,0 102,2 102,8 103,1 103,6 104,3 104,8 104,9 105,5 По месяцам второго года (2), следующего за базисным годом (0) отчетный год для условного примера:
I янв2 / дек0 = I дек1 / дек0 * I янв2 / дек1 / 100%;
I февр2 / дек0 = I янв2 / дек0 * I фев2 / янв2 / 100%;
I март2 / дек0 = I февр2 / дек0* I март2 / февр2 / 100%;
…
I дек2 / дек0 = I нояб2 / дек0 * I дек2 / нояб2 / 100%.
Таблица 4
Индекс цен производителей по виду экономической деятельности (товару) по месяцам второго года, следующего за базисным, % к предыдущему месяцу 1 2 3 4 5 6 7 8 9 10 11 12 100,3 100,4 100,5 100,2 100,2 100,4 100,3 100,5 100,3 100,2 100,3 100,5 Таблица 5
Индекс цен производителей по виду экономической деятельности (товару) по месяцам второго года, следующего за базисным, % к декабрю базисного года 1 2 3 4 5 6 7 8 9 10 11 12 гр. 12 табл. 3* гр. 1 табл. 4 /100 гр. 1 * гр. 2 табл. 4 /100 гр. 2 * гр. 3 табл. 4 /100 гр. 3 * гр. 4 табл. 4 /100 гр. 4 * гр. 5 табл. 4 /100 гр. 5 * гр. 6 табл. 4 /100 гр. 6 * гр. 7 табл. 4 /100 гр. 7 * гр. 8 табл. 4 /100 гр. 8 * гр. 9 табл. 4 /100 гр. 9 * гр. 10 табл. 4 /100 гр. 10 * гр. 11 табл. 4 /100 гр. 11 * гр. 12 табл. 4 /100 105,8 106,2 106,8 107,0 107,2 107,6 108,0 108,5 108,8 109,0 109,4 109,9 4. Далее для каждого вида деятельности (товара) согласно формуле (13) определяется индекс цен отчетного месяца к уровню средних цен базисного года
(индексдефлятор) как произведение индекса цен декабря базисного года к уровню средних цен базисного года (п. 2 условного примера) и индекса цен отчетного месяца к декабрю базисного года (п. 3 условного примера).Таблица 6
Индексдефлятор по отношению к средним ценам базисного года декабря базисного года, %
к средним ценам базисного годадекабря года, предшествующего отчетному, %
к декабрю базисного годадекабря года, предшествующего отчетному, % к средним ценам базисного года января
отчетного года, %
к декабрю предшествующего годаянваря отчетного года, % к средним ценам базисного года февраля отчетного года, %
к январю отчетного годафевраля отчетного года,
% к средним ценам базисного года1 2 3 4 5 6 7 пункт 2 условного примера гр. 12 табл. 3 гр. 1 * гр. 2 / 100 гр. 1 табл. 4 гр. 3 * гр. 4 / 100 гр. 2 табл. 4 гр. 5 * гр. 6 / 100 102,5 105,5 102,8 100,3 103,1 100,4 103,5 5. По товару, выпуск которого учитывается в стоимостном выражении, определяется объем производства за сопоставляемые периоды в средних ценах базисного года.
Таблица 7
Производство товара в действующих ценах соответствующих периодов, тысяч рублей Индексдефлятор по отношению к средним ценам базисного года Производство по товару
в средних ценах базисного годаФевраль отчетного года Январь отчетного года В среднем за месяц базисного года Февраль отчетного года Январь отчетного года Февраль отчетного года Январь отчетного года 1 2 3 4 5 6 7 гр. 7 табл. 6 гр. 5 табл. 6 гр. 1 / гр. 4*100 гр. 2 / гр. 5*100 469120 465040 403663 103,5 103,1 453256 451057 Полученные в гр. 6 – 7 объемы производства товара в средних ценах базисного года используются на первом этапе расчета индекса производства по элементарному виду деятельности. Далее расчет осуществляется в соответствии с общей методологией.
6. Для каждого вида экономической деятельности, расчет индексов производства по которым осуществляется методом дефлятирования, согласно формуле (10) определяется темп роста объемов отгруженных товаров собственного производства, выполненных работ и услуг собственными силами в действующих ценах за сопоставляемые периоды по сравнению со среднемесячным объемом базисного года.
Таблица 8
Отгружено товаров собственного производства, выполнено работ и услуг собственными силами в действующих ценах соответствующих периодов, тысяч рублей Темп роста в действующих ценах, %
к среднемесячному объему базисного годафевраль отчетного года январь отчетного года в среднем за месяц базисного года февраль отчетного года январь отчетного года 1 2 3 4 5 гр.1 / гр.3*100 гр.2 / гр.3*100 420000 450000 405000 103,7 111,1 7. Далее согласно формуле (14) по виду экономической деятельности определяется индекс производства в процентах к среднемесячному уровню базисного года путем деления темпа роста в действующих ценах на соответствующий индексдефлятор:
Таблица 9
Темп роста в действующих ценах, % к среднемесячному объему базисного года Индексдефлятор
по отношению к средним ценам базисного годаИндекс производства, %
к среднемесячному объему базисного года1 2 3 4 гр. 4 и 5 табл. 8 гр. 5 и 7 табл. 6 гр. 2 / гр. 3*100 Февраль отчетного года 103,7 103,5 100,2 Январь отчетного года 111,1 103,1 107,8 По данному виду экономической деятельности индекс производства за февраль отчетного года по отношению к январю составит 93,0% = 100,2 / 107,8 * 100%.
4.2. Формирование индексов производства по видам экономической деятельности, представленным продукцией с длительным циклом производства
Под продукцией с длительным циклом производства25 понимается продукция (товары, работы, услуги), продолжительность производственного цикла которой в соответствии с установленной технологией составляет более одного отчетного периода и производство которой в отчетном периоде не завершено, расчеты с заказчиком за которую осуществляются по отдельным платежным этапам (технологическим учетным единицам) или после изготовления изделия в целом (например, летательные аппараты (включая космические) и соответствующее оборудование, строительство и ремонт кораблей, судов, плавучих конструкций и т.д.).
С целью снижения дополнительной нагрузки на респондентов и обеспечения оперативности формирования информации наиболее приемлемым подходом при расчете индексов производства в отношении продукции с длительным циклом изготовления является метод дефлятирования.
В качестве показателя, подлежащего дефлятированию, выступает показатель «Отгружено товаров собственного производства, выполнено работ и услуг собственными силами» по соответствующему элементарному виду экономической деятельности.
По видам экономической деятельности, представленным существенным объемом военной (оборонной) продукции, может дефлятироваться показатель «Выпуск» по совокупности данных по военной (оборонной) и гражданской продукции (форма федерального статистического наблюдения Приложение № 2 «Сведения о производстве военной (оборонной) продукции» к форме № П1).
Если в соответствии с условиями контракта расчеты с заказчиком осуществляются после изготовления изделия в целом, в объем выпуска респондентами включается изменение остатка незавершенного производства.
Следует учитывать, что применение предлагаемого подхода по «постепенному учету» результатов производства продукции длительного цикла не может полностью устранить регистрируемый «скачок производства» при завершении производства такого товара. Это связано с тем, что наблюдаемое изменение остатков незавершенного производства учитывает лишь затраты на производство, но не учитывает прибыль, которая может быть зафиксирована лишь по факту завершения производства и отгрузки товара (работы, услуги).
Расчет индексов производства осуществляется в соответствии с алгоритмами, приведенными в формулах 10-14.
В качестве индекса-дефлятора используется ИЦП.
По отдельным видам экономической деятельности (например, затруднено проведение наблюдения за ценами производителей на продукцию; представлены существенным объемом военной (оборонной) продукции) индекс-дефлятор может быть рассчитан на основе информации по форме Приложение № 2 «Сведения о производстве военной (оборонной) продукции» к форме № П1 путем соотношения данных о выпуске военной (оборонной) и гражданской продукции в фактических и фиксированных ценах по соответствующему виду экономической деятельности.
Алгоритм расчета индекса-дефлятора по отношению к предыдущему месяцу следующий:
,(15)
,(16)
,(17) где:
, 
̶ темп роста (снижения) выпуска военной (оборонной) продукции в действующих и фиксированных ценах по отношению к предыдущему месяцу, %; 
̶ индексдефлятор по отношению к предыдущему месяцу, %;

̶ выпуск военной (оборонной) продукции в действующих ценах в отчетном t и предыдущем t–1 месяце, тысяч рублей;

̶ выпуск гражданской продукции в действующих ценах в отчетном t и предыдущем t–1 месяце, тысяч рублей;

̶ выпуск военной (оборонной) продукции в фиксированных ценах в отчетном t и предыдущем t–1 месяце, тысяч рублей;

̶ выпуск гражданской продукции в фиксированных ценах в отчетном t и предыдущем t–1 месяце, тысяч рублей. Полученные методом дефлятирования индексы производства продукции (товары, работы, услуги) с длительным технологическим циклом изготовления за отчетный, предыдущий месяц и соответствующий месяц предыдущего года по отношению к среднемесячному уровню базисного года, используются на этапе агрегирования в индексы по укрупненным группировкам видов экономической деятельности.
Индекс производства за отчетный период t по сравнению с предыдущим периодом (соответствующим периодом прошлого года) t–1 рассчитывается путем соотношения индексов, исчисленных к среднемесячному уровню базисного года (формула 3 раздела III Методологии).
4.3. Учет изменений качества и потребительских свойств товаров при расчете индексов производства
С развитием высокотехнологичных производств, появлением новых, ранее не производимых товаров или услуг, вытеснением морально устаревших моделей более современными, расширением ассортиментного состава выпускаемых товаров при проведении расчетов индексов производства возникает проблема обеспечения сопоставимости производства товаров в сравниваемых периодах, а также учета фактора улучшения качественных параметров выпускаемой техники, материалов и т.п. Эта проблема наиболее характерна для таких сфер деятельности как производство различных видов приборов, электрооборудования, электронного и оптического оборудования, компьютеров и т.п.
Термин «качество» относится к таким характеристикам товара или услуги, которые имеют достаточно существенные различия, позволяющие отличать один товар (услугу) от другого (другой) с экономической точки зрения26.
Качество товара можно рассматривать с точки зрения его материальных и нематериальных признаков. В частности, признаки товара связаны с понятием свойств товара, которые проявляются в виде извлекаемых потребителями выгод, таких как цена, простота использования, надежность, стоимость эксплуатации и технического обслуживания, ценность торговой марки и т.д. При изменении того или иного свойства товара можно говорить об изменении его качественных характеристик, при этом такое изменение характеристик должно регистрироваться как изменения объема, а не как изменения цены.
Точное отражение фактора изменения качественных параметров продукции в расчетах индексов производства достигается либо посредством дефлятирования с использованием ИЦП, рассчитанного для продукции
с определенными свойствами, либо путем корректировки первичных данных с использованием метода экстраполяции27.С целью снижения дополнительной нагрузки на респондентов и обеспечения оперативности формирования информации наиболее приемлемым подходом для более точного учета качественных изменений и товарных сдвигов является разукрупнение товаров в «корзине», т.е. включение в расчет индексов производства данных по ассортиментным группам, включение в расчет товаров, по которым могут быть существенные изменения технических характеристик, не в количественном измерении, а в единицах, отражающих их технические параметры, или в условном исчислении, а также в стоимостном выражении с использованием метода дефлятирования.
Поскольку такая возможность появляется лишь в отношении отдельных товаров, виды экономической деятельности, в которых преобладает продукция (товары, работы, услуги) с существенным и быстрым изменением качественных характеристик, включаются в расчет индексов производства с использованием метода дефлятирования, позволяющего отделить инфляционную составляющую (п. 4.1 Методологии).
5. Появление нового вида экономической деятельности на уровне субъекта Российской Федерации
Поскольку расчет индекса промышленного производства проводится в несколько этапов, то на каждом из них на уровне субъекта Российской Федерации может возникнуть ситуация появления нового вида экономической деятельности, т.е. вида экономической деятельности, производство в рамках которого было начато в период после базисного года.
Для обеспечения методологического единства при подключении в расчет индексов производства нового вида экономической деятельности начиная со второго этапа расчетов индексов производства используется так называемая расчетная величина.
Расчетная величина определяется по новому виду экономической деятельности произведением стоимостной оценки выпуска по новому виду продукции в соответствующем периоде (отчетном месяце, предыдущем месяце, соответствующем месяце прошлого года, периоде с начала отчетного и прошлого годов) и доли добавленной стоимости в объеме выпуска товаров и услуг в базисном году по соответствующему элементарному виду деятельности.
Поскольку производство продукции (товаров, работ, услуг) в рамках нового вида деятельности было начато после базисного года, доля добавленной стоимости в объеме выпуска продукции не может быть рассчитана по данному виду экономической деятельности.
В этой ситуации следует использовать долю, сформированную по ближайшей вышестоящей группировке исходя из предпосылки, что промежуточное потребление и добавленная стоимость по элементарному виду деятельности распределяются в той же пропорции, что и в классификационных группах более высокого порядка.
Если по вышестоящей группировке, к которой относится новый вид деятельности, по базисному году добавленная стоимость не сформирована, необходимо использовать долю, рассчитанную по близлежащему субъекту Российской Федерации, соответствующему федеральному округу или России в целом, исходя из предпосылки, что промежуточное потребление и добавленная стоимость распределяются в той же пропорции,
что и у территориальных субъектов более высокого порядка.Таким образом, используя данные о доле добавленной стоимости, можно определить расчетные величины по каждому новому виду экономической деятельности, которые в дальнейшем будут использованы для получения индекса на более высоких уровнях агрегации. При этом данные по добавленной стоимости базисного года, т.е. структура производства базисного года, остаются неизменными, и далее расчет проходит по общей методологии в соответствии с приведенными выше алгоритмами.
Расчетные величины по каждому новому виду экономической деятельности определяются для всех сравниваемых временных периодов.
Формирование расчетных величин осуществляется по следующей формуле для каждого элементарного вида деятельности в анализируемых временных периодах:
,(18) где:

̶ расчетная величина по элементарному виду экономической деятельности за рассматриваемый период (отчетный период, предыдущий период
и соответствующий период прошлого года), тысяч рублей;
̶ объем производства по элементарному виду деятельности в стоимостном выражении за рассматриваемый период, рассчитанный на первом этапе расчетов индексов производства, тысяч рублей; 
̶ доля добавленной стоимости в общем объеме выпуска продукции (товаров, работ, услуг) в базисном году. Производство в средних ценах базисного периода по элементарному новому виду экономической деятельности определяется по формуле:
,(19) где:

̶ объем производства в натуральном выражении по товару, производство которого начато после базисного года в рамках нового вида экономической деятельности за рассматриваемый период (отчетный период, предыдущий период и соответствующий период прошлого года); 
̶ цена первого месяца производства нового товара, приведенная в сопоставимый вид с применением индекса цен производителей, либо среднегодовая цена за единицу аналогичной или близкой по своим потребительским свойствам, назначению или направлению использования продукции за базисный год; возможно применение данных по близлежащему субъекту Российской Федерации, соответствующему федеральному округу или России в целом, тысяч рублей; 
̶ количество позиций товаров, производство которых начато после базисного года в рамках нового вида экономической деятельности . Индексы производства по новым элементарным видам деятельности (
) за отчетный период по отношению к сравниваемым периодам определяются как отношение расчетных величин по следующей формуле:
,(20) где:

̶ расчетная величина по элементарному виду экономической деятельности за отчетный период t (отчетный месяц, период с начала отчетного года), тысяч рублей; 
̶ расчетная величина по элементарному виду экономической деятельности за предыдущий период t1 (предыдущий месяц, соответствующий месяц (период) прошлого года), тысяч рублей. Дальнейшее включение этих видов деятельности в алгоритм расчета может осуществляться несколькими способами.
Вариант 1. По вышестоящей группировке (j), к которой относится новый вид деятельности , имеются данные по добавленной стоимости базисного года и в ее составе есть виды деятельности, для которых на предыдущем этапе рассчитаны индексы по отношению к базисному году.
В этом случае расчетные величины всех входящих в группировку (j) видов деятельности, включая новый вид деятельности , суммируются по соответствующим временным периодам (отчетный период, предыдущий период, период прошлого года, базисный год).
;
,(21) где:
, 
̶ расчетные величины по j-й группировке за отчетный период, предыдущий период (соответствующий период прошлого года), тысяч рублей;
, 
̶ расчетные величины по i-му виду деятельности, входящему в j-ю группировку, за отчетный период, предыдущий период (соответствующий период прошлого года), тысяч рублей; n ̶ количество видов деятельности, входящих в j-ю группировку. По j-й группировке на основе полученных по формуле (21) расчетных величин и величины добавленной стоимости базисного года рассчитываются индексы производства по отношению к базисному году, которые в дальнейшем будут использоваться в расчете индексов производства на более высоком уровне агрегации:
,(22)
,(23) где:
, 
̶ индекс производства по j-й группировке за отчетный период, предыдущий период (соответствующий период прошлого года), рассчитанный по отношению к базисному году, %;
, 
̶ расчетные величины по j-й группировке за отчетный период, предыдущий период (соответствующий период прошлого года), тысяч рублей; 
̶ добавленная стоимость базисного года по j-й группировке видов деятельности, тысяч рублей. Индекс производства за отчетный период к предыдущему периоду (соответствующему периоду прошлого года) определяется по следующей формуле:
.(24) Условный пример формирования индексов производства
по вышестоящей группировке с учетом новых видов экономической деятельности приведен в следующей таблице.Формирование индексов производства по вышестоящей группировке с учетом
нового вида деятельностиНаименование вида экономической деятельности Добавленная стоимость
за базисный годИндекс производства,
% к базисному годуРасчетная величина Индекс производства за отчетный период,
% кза отчетный период за предыдущий период за соответствующий период прошлого года за
отчетный
периодза предыдущий период за соответствующий период прошлого года предыдущему периоду соответствующему периоду прошлого года Вышестоящая группировка видов деятельности 500 182 164 88 910 820 440 111 207 элементарный вид деятельности 1 300 110 120 100 330 360 300 92 110 элементарный вид деятельности 2 200 90 80 70 180 160 140 113 128 новый элементарный вид деятельности 400 300 133 Вариант 2. По вышестоящей группировке (j), к которой относится новый вид деятельности , отсутствуют данные по добавленной стоимости базисного года, т.е. имеет место возникновение новой группировки (j), производство в рамках которой было начато после базисного года.
В этом случае по указанной группировке (j) не рассчитываются индексы производства в процентах к базисному году.
Формирование индексов производства за отчетный период по отношению к сравниваемым периодам осуществляется посредством сопоставления расчетных величин в соответствии с приведенным выше алгоритмом
(формула 20).Расчетные величины по вышестоящей группировке (j) определяются суммированием расчетных величин по новым видам экономической деятельности, входящим в группировку, которые были получены на предыдущем этапе счета.
,(25) где:

̶ индекс по j-й группировке за отчетный t период (отчетный месяц, период с начала года) по сравнению с предыдущим периодом (периодом прошлого года), %;
, 
̶ расчетные величины по i-му новому виду деятельности
за отчетный t период и предыдущий t–1 период (период прошлого года), тысяч рублей.Для группировок, в состав которых входит один новый вид деятельности, расчетные величины будут равны значениям, полученным по новому виду экономической деятельности на предыдущем этапе расчетов.
Условный пример формирования индексов производства по вышестоящей группировке с учетом новых видов экономической деятельности приведен в следующей таблице.
Формирование индексов производства по вышестоящей группировке с учетом нового вида деятельности
Наименование вида экономической деятельности Добавленная стоимость за базисный год Индекс производства,
% к базисному годуРасчетная величина Индекс производства за отчетный период, % к за отчетный
периодза предыдущий период за соответствующий период прошлого года за
отчетный
периодза предыдущий период за соответствующий период прошлого года предыдущему периоду соответствующему периоду прошлого года Вышестоящая группировка видов деятельности 400 300 133 новый элементарный вид деятельности 400 300 133 6. Порядок уточнения и публикации данных по индексам производства
Пересмотр данных по индексам производства – общепринятая международная статистическая практика, связанная с расширением и уточнением информационной базы.
Осуществление пересчетов индексов производства на основе уточненных данных о производстве и отгрузке продукции (товаров, работ, услуг) позволяет повысить качество индексных рядов, что необходимо для построения прогнозов, оценки тенденции развития экономики.
Уточнение данных об индексах производства осуществляется в соответствии с действующим регламентом проведения оценок индексов производства28.
Периодичность и сроки проведения корректировки индексов производства зависят от периодичности и сроков актуализации данных о производстве и отгрузке продукции (товаров, работ, услуг).
Появление более актуальной информации по субъектам малого предпринимательства позволяет уточнить параметры оценки данного сектора бизнеса 29.
Респонденты могут неверно истолковывать смысл статистического показателя и предоставлять информацию, которая не соответствует предполагаемому определению. Возможны ошибки в единицах измерения, технические ошибки при вводе данных. Иногда запрашиваемая информация не предоставляется респондентом, что вынуждает в статистических целях делать соответствующие оценки.
Предприятия, подвергающиеся внутренней реструктуризации, могут столкнуться с трудностями при перераспределении своей продукции или ресурсов для их новых подразделений. Это может привести к тому, что они не смогут предоставлять информацию в необходимой детализации.
По этим и другим причинам в отчетных данных могут появляться ошибки.
Точно так же процесс сбора и сопоставления данных не является абсолютно безошибочным. В основном ошибки отчетных данных обнаруживаются на ранней стадии, в процессе формирования индексов производства. В случае обнаружения ошибок после публикации результатов расчетов, корректировка данных осуществляется при проведении очередного регламентного пересмотра индексов производства.
Ввиду установленных для респондентов ранних сроков предоставления отчетных данных о производстве и отгрузке продукции (работ, услуг) (4й рабочий день) в оперативном порядке ими предоставляются предварительные (оценочные) данные. Корректировка данных осуществляется респондентами в последующих оперативных и годовых отчетах.
Кроме того, при переходе в расчете индексов производства на новый базисный год или внедрении в статистическую практику новых версий классификаторов видов экономической деятельности или продукции
в соответствии с общепринятой мировой статистической практикой выполняется ретроспективный пересчет индексов за ряд предыдущих лет. Пересчет осуществляется с учетом актуальной «корзины» товаров-представителей и структуры добавленной стоимости нового базисного года.Периодичность и сроки предоставления официальной статистической информации пользователям устанавливаются Федеральным планом статистических работ, утверждаемым Правительством Российской Федерации. Федеральный план статистических работ размещен на главной странице официального Интернет-портала Федеральной службы государственной статистики (www.gks.ru).
Дата публикации индексов производства фиксирована.
Ежемесячно Росстат в срочных информациях, оперативном докладе «Информация о социальноэкономическом положении России», докладе «Социальноэкономическое положение России» и других информационно аналитических материалах публикует оперативные данные текущей отчетности о производстве и отгрузке продукции (товаров, работ, услуг) и предварительные (оперативные) данные по индексам производства
(1я оценка).Поскольку индексы производства являются краткосрочным экономическим индикатором, данные должны быть доступны пользователям статистической информации в максимально короткий срок после окончания отчетного периода. Данные 1й оценки являются более своевременными, но ожидания точности и надежности ранних оценок часто слишком велики, поскольку ранние оценки основаны на неполных (предварительных) данных. В результате последующие изменения являются неизбежным следствием компромисса между своевременностью и точностью оценки.
В целях обеспечения пользователей статистической информации актуализированными сведениями об индексах производства уточненные данные (2я и последующие оценки) публикуются в периодических изданиях «Информация о социальноэкономическом положении России», «Социальноэкономическое положение России», «Краткосрочные экономические показатели Российской Федерации», ежегодных официальных сборниках Федеральной службы государственной статистики, а также размещаются
на официальном Интернет-портале Федеральной службы государственной статистики. При этом данные приводятся по всем месяцам и периодам, по которым произошли уточнения. Информация размещается в рамках других государственных информационных систем.В соответствии с мировой практикой публикуются как исходные временные ряды данных по индексам промышленного производства, так и оценки данных с исключением сезонного и календарного факторов.
Информация для пользователей о применяемой программе сезонной корректировки, методе, модели и ее параметрах публикуется в разделе «Методологические пояснения» ежемесячного издания Росстата «Социально-экономическое положение России».
1 International recommendations for the index of industrial production, United Nations Statistics Division, Department of Economic and Social Affairs, United Nations, New York, 2010, ST/ESA/STAT/SER.F/107.
2 Methodology of shortterm business statistics. European Communities 2002, Cat. № KSBG02002ENN.
3 Industrial Statistics Guidelines and Methodology, United Nations Industrial Development Organization (UNIDO) Vienna 2010.
4 Все определения даны только для целей настоящей Методологии.
5 Статья 3 Федерального закона от 31 декабря 2014 г. № 488ФЗ «О промышленной политике в Российской Федерации».
6 Фактический вид экономической (производственной) деятельности организации, независимо от основного (хозяйственного) вида экономической деятельности. В качестве основного выступает преобладающий
из осуществляемых организацией фактических видов экономической деятельности.7 Например, вместо суммарной группировки «подъемники и конвейеры пневматические и прочие непрерывного действия для товаров или материалов» включены конвейеры, элеваторы, подъемники и конвейеры пневматические и прочие непрерывного действия для товаров или материалов, не включенные в другие группировки. Когда по товарам можно получить данные о выпуске не только в натуральном измерении,
но и по основному техникоэкономическому параметру (полезное содержание компонента, мощность, грузоподъемность, производительность и т.д.), предпочтение отдается последнему измерителю. Например, производство турбин, генераторов учитывается не в штуках, а в тысячах кВт, консервов – в тысячах условных банок, швейных ниток – в тысячах условных катушек, древесностружечных плит – в условных кубических метрах, обоев – в тысячах условных кусков, кирпичей – в миллионах условных кирпичей, паровых котлов –
в тоннах пара/часов и т.д. Это позволяет учитывать качественные изменения в товарных группах.8 Это продиктовано сложностями получения в оперативном режиме информации о продукции, пошедшей
на дальнейшую переработку в рамках одной и той же организации. Кроме того, конечный продукт для одного предприятия может являться промежуточным продуктом для другого.9 Процедура, обеспечивающая перевод экономических показателей, рассчитанных в текущих ценах,
в сопоставимые цены.10 По товарам, учитываемым в стоимостном выражении, объемы выпуска за сравниваемые периоды
в действующих ценах (т.е. ценах каждого периода) пересчитываются в единые цены базисного года
с использованием метода дефлятирования.11 Стоимостная оценка конкретного товара, отгруженного другим юридическим и физическим лицам, осуществляется в фактических ценах реализации (без НДС, акциза и аналогичных обязательных платежей).
Товары, поставляемые на экспорт, оцениваются по контрактным ценам, из которых исключаются налог
на добавленную стоимость, акциз, аналогичные обязательные платежи и транспортные расходы от станции отправления до пункта экспорта, и их стоимость переводится в рубли по курсу, установленному Банком России на момент отгрузки.12 Структура применяемой для расчетов индексов производства добавленной стоимости базисного года размещается на официальном Интернет-портале Федеральной службы государственной статистики (www.gks.ru: «Официальная статистика», «Предпринимательство», «Промышленное производство»).
13 Определение дано только для целей настоящей Методологии. Под военной (оборонной) продукцией понимается серийно выпускаемые вооружение и военная техника, средства их производства, испытания, контроля и утилизации, комплектующие изделия и материалы, разрабатываемые на основе технических заданий государственных заказчиков и/или производимые по технической документации (техническим условиям), согласованной с государственными заказчиками, включая продукцию двойного назначения.
14 Метод временной дезагрегации – процесс создания временного ряда на более высокой частоте, чем фактически доступны данные.
15 Например, данные Федеральной службы по регулированию алкогольного рынка, являющейся субъектом официального статистического учета, осуществляющим формирование и предоставление пользователям официальной статистической информации о производстве и продаже алкогольной продукции.
16 Перечень товаров-представителей, информация о производстве которых используется при расчете индексов производства по соответствующему элементарному виду экономической деятельности, определен составом единой унифицированной «корзины» товаров-представителей.
17 По элементарным видам деятельности графа 1, умноженная на данные таблицы 1.1 по графам 10 – 12, соответственно.
По вышестоящему виду деятельности – сумма по входящим видам деятельности.18 По элементарным видам деятельности переносятся данные, сформированные на 1 этапе, соответственно графы
10 – 12 таблицы 1.1.19 По нижестоящим видам деятельности, индексы по которым сформированы на предыдущем этапе расчетов – графа 1, умноженная на данные таблицы 1.2 по графам 5 – 7, соответственно. По вышестоящему виду деятельности – сумма
по входящим видам деятельности.20 По нижестоящему виду деятельности переносятся данные, сформированные на 1 итерации 2 этапа, соответственно графы 5 – 7 таблицы 1.2.
21 По классам, индексы по которым сформированы на предыдущем этапе расчетов – графа 1, умноженная на данные
таблицы 1.3 по графам 5 – 7, соответственно. По разделу ОКВЭД2 – сумма по входящим видам деятельности.22 Переносятся данные, сформированные на 2 итерации 2 этапа, соответственно графы 5 – 7 таблицы 1.3.
23 По разделам ОКВЭД2, индексы по которым сформированы на предыдущем этапе расчетов – графа 1, умноженная
на данные таблицы 1.4 по графам 5 – 7, соответственно. По промышленному производству – сумма по входящим разделам ОКВЭД2.24 По разделам ОКВЭД2 переносятся данные, сформированные на 3 этапе, соответственно графы 5 – 7 таблицы 1.4.
25 Определение дано только для целей настоящей Методологии.
26 International recommendations for the index of industrial production, United Nations Statistics Division, Department of Economic and Social Affairs, United Nations, New York, 2010, ST/ESA/STAT/SER.F/107.
27 International recommendations for the index of industrial production, United Nations Statistics Division, Department of Economic and Social Affairs, United Nations, New York, 2010, ST/ESA/STAT/SER.F/107. Распространение данных о товарах-представителях «корзины» на всю совокупность товаров и услуг товарной группы или элементарного вида деятельности
28 Утверждается приказом Росстата и размещается на официальном Интернет-портале Федеральной службы государственной статистики (www.gks.ru): Официальная статистика/ Предпринимательство/ Промышленное производство/ Методология.
29 В соответствии со статьей 5 Федерального закона от 24 июля 2007 г. № 209ФЗ «О развитии малого и среднего предпринимательства в Российской Федерации» федеральные статистические наблюдения за деятельностью субъектов малого и среднего предпринимательства в Российской Федерации осуществляются путем проведения сплошных (1 раз в 5 лет) и выборочных статистических наблюдений (по малым предприятиям и индивидуальным предпринимателям – ежемесячно (специализированные формы) и ежеквартально, по микропредприятиям – один раз в год).