Методические положения по стоимостной оценке общего объема промышленного производства
- Содержание
- I. Общие положения
- II. Статистический учет общего объема промышленного производства
- III. Информационная основа формирования объема промышленного производства
- IV. Особенности определения общего объема промышленного производства субъектов малого предпринимательства и непромышленных организаций
- V. Определение объемов промышленного производства домашних хозяйств и индивидуальных предпринимателей
- Перечень используемой справочной информации
- Приложение 1 к Методологическим положениям по стоимостной оценке общего объема промышленного производства
- Приложение 2 к Методологическим положениям по стоимостной оценке общего объема промышленного производства
- Приложение 3 к Методологическим положениям по стоимостной оценке общего объема промышленного производства
- Приложение 4 к Методологическим положениям по стоимостной оценке общего объема промышленного производства
Настоящие Методические положения определяют порядок формирования статистической информации об объеме производства промышленной продукции (товаров, работ и услуг) и предназначены для использования органами государственной статистики при формировании статистических данных об общем объеме промышленного производства.
При разработке настоящих Методических положений использованы нормативно-правовые акты Республики Узбекистан, регламентирующие деятельность организаций, производящих промышленную продукцию, определения СНС-2008, опыт стран СНГ.
I. Общие положения
1. В настоящих Методических положениях используются следующие основные понятия и определения:
производство - это деятельность, результатом которой является продукт;
полуфабрикат - частично обработанный продукт, которому перед тем, как он станет готовым для потребления, требуется дальнейшая обработка;
давальческое сырье - сырье, принадлежащее заказчику, переданное на промышленную переработку изготовителю для производства из него продукции в соответствии с заключенными договорами;
продукция с длительным циклом производства - продукция с производственным циклом, превышающим отчетный период, по которой расчеты с заказчиком ведутся по отдельным платежным этапам;
готовая продукция - товар (услуга), являющийся конечным результатом производственного цикла организации, предназначенный для реализации и соответствующий техническим и качественным характеристикам, предусмотренным договором или требованиями других документов.II. Статистический учет общего объема промышленного производства
2. Общий объем промышленного производства включает промышленную деятельность:
- а) коммерческих организаций, кроме малых предприятий и микрофирм;
- б) малых предприятий и микрофирм;
- в) промышленных подразделений некоммерческих организаций;
- г) производственную деятельность домохозяйств, как для продажи, так и для собственного потребления.
3. В объем промышленного производства включается стоимость:
- а) готовой продукции, выработанной за отчетный период, как из своего сырья и материалов, так и из сырья и материалов заказчика (давальческого сырья);
- б) полуфабрикатов своей выработки, отпущенных за отчетный период на сторону, своему капитальному строительству и непромышленным подразделениям своей организации;
- в) работ по изготовлению продукции (изделий) с длительным производственным циклом, производство которых в отчетном периоде не завершено;
- г) работ (услуг) промышленного характера, выполненных по заказам со стороны, для своего капитального строительства и непромышленных подразделений своей организации, а также работ по модернизации и реконструкции собственного оборудования.
4. Формирование данных об объеме промышленного производства осуществляется по видам продукции с использованием кодов Государственного стандарта Республики Узбекистан 0'zDSt 2914:2014 Статистического классификатора продукции (товаров, работ, услуг) по видам экономической деятельности (СКП): горнодобывающей промышленности и разработке карьеров, обрабатывающей промышленности, электроснабжении, подаче газа, пара и кондиционировании воздуха, водоснабжении, канализации, сбору и утилизации отходов (секции В, С, D, Е).
5. В целях обеспечения соблюдения общепризнанных международных рекомендаций, при формировании показателей объема промышленного производства следует обратить внимание на следующее:
- а) выработанная продукция учитывается в составе готовой продукции отчетного периода, если она оформлена актами приемки и сдана на склад готовой продукции, заказчику или отгружена до 24 часов местного времени последнего дня отчетного периода; если в организации отсутствует склад готовой продукции, то продукция включается в объем производства по моменту ее отгрузки заказчику;
- б) для организаций с двухсменным режимом работы, при котором вторая смена оканчивается после 24 часов, а также при трехсменном режиме работы организации, когда по графику первой сменой считается утренняя смена, продукция учитывается в составе готовой продукции за отчетный месяц, если она выработана, принята в установленном порядке и сдана на склад, заказчику или отгружена и оформлена соответствующими документами до 8 часов утра первого числа месяца, следующего за отчетным периодом;
- в) если договором, условиями поставки предусмотрена приемка продукции на месте производства представителем заказчика, то изделия считаются готовыми после того, как они приняты представителями заказчика и оформлены актом приемки;
- г) стоимость оборудования, инструментов и приспособлений своего производства, изготовленных для собственных нужд и зачисленных в основные средства данной организации, включается в объем промышленного производства и в данные о производстве продукции в натуральном выражении по моменту их зачисления в основные средства.
- д) работы (услуги) промышленного характера включаются в объем промышленного производства, когда их приемка оформлена установленными документами, по их стоимости, включая стоимость израсходованных собственных материалов, узлов, деталей, запасных частей, но без стоимости изделий, материалов, узлов, деталей, запасных частей, поступивших для обработки, ремонта или доведения до полной готовности от заказчика;
- е) организации, осуществляющие подготовку лома и отходов черных, цветных, драгоценных металлов к металлургической плавке с доведением их до требований стандартов и поставку другим организациям для металлургической переработки, включают в объем производства продукции стоимость лома и отходов этих металлов;
- ж) стоимость продукции в фактических ценах, предназначенной для реализации на экспорт, определяется исходя из объема промышленного производства по контрактным ценам в национальной валюте в пересчете на сумы по курсу Центрального банка Республики Узбекистан на дату отгрузки продукции. При этом исключаются НДС, акциз, таможенные сборы, транспортные расходы до пункта экспорта на территории республики;
- з) если изделия выработаны из сырья и материалов заказчика, не оплаченных организацией-изготовителем (давальческое сырье), в объем продукции в фактических ценах включается только стоимость услуг по переработке этого сырья без включения стоимости сырья и материалов;
- и) продукция с длительным циклом производства, по которой расчеты с заказчиками ведутся отдельными этапами, в соответствии с заключенными договорами, включается в объем промышленного производства по стоимости законченных и принятых заказчиком в установленном порядке этапов.
6. К работам и услугам промышленного характера относится выполнение отдельных операций по производству продукции, обработке сырья и материалов, контроль за соблюдением установленных технологических процессов, а также другие работы и услуги, отнесенные к секциям В, С, D, Е классификатора СКП.
7. Не считается отходами и включается в состав промышленного производства попутная (сопряженная) продукция, полученная организацией в процессе производства основной продукции, реализуемая на сторону без дальнейшей обработки (например, серная окись цинка, бутиловый спирт, сульфат натрия, коксовый газ, доменный шлак, доменный газ, семена хлопчатника технические и посевные, линт хлопковый, улюкосодержащие и пухосодержащие отходы хлопкозаводов, шерсть и щетина, полученные при обработке кож и овчин, шкуры, сырые жиры, рога и копыта, жмых, барда, отруби, обрат, пахта, сыворотка, шелуха хлопковая, меласса и другие виды попутной продукции).
8. Не включается в объем промышленного производства:
- а) стоимость недоукомплектованных и бракованных изделий и полуфабрикатов;
- б) стоимость перепродажи покупных материалов, полуфабрикатов и изделий, отпущенных на сторону без обработки или переработки (даже если перед реализацией проверяется качество изделий, производится их сортировка, упаковка и т.п. операции), а также покупных электроэнергии, воды, пара, газа, отпущенных на сторону;
- в) стоимость отходов производства, представляющих собой остатки исходного сырья (стружки, обрезки и др.), а также весового лоскута, кромки и т.д.; если отходы реализуются и при этом подвергаются предварительной мойке, сортировке, упаковке и другим операциям для подготовки к реализации, то в объем промышленного производства включается только стоимость выполненных собственными силами работ по подготовке отходов к реализации;
- г) стоимость производимой организацией непромышленной продукции;
- д) стоимость гарантийного ремонта и гарантийного обслуживания изделий собственного производства, а также стоимости готовых изделий и запасных частей своего производства, отпущенной для этих целей;
- е) стоимость работ творческого характера (выполненные художниками оригиналы картин, скульптур, графических листов, произведений монументальной живописи прикладного искусства, копии картин, плакатов и т.п.), а также все виды художественно-оформительских работ (проекты оформления и оформление музеев, витрин, стендов, реклам и пр.);
9. Объем промышленного производства определяется без стоимости той части выработанных готовых изделий и полуфабрикатов, которая используется внутри данной организации на собственные промышленно-производственные нужды (кроме продукции, зачисленной в состав ее основных средств).
10. Объем производства продукции (работ, услуг) в фактических ценах рассчитывается исходя из цен организации, действовавших в отчетном периоде соответствующего года. При этом продукция, которая в соответствии с установленным порядком реализуется по договорным ценам и тарифам, включается в объем производства по договорным оптовым ценам. При изменении цен отчетного года цены предыдущего года не пересчитываются.
11. Продукция, реализуемая по договорным ценам, включается в объем производства по ценам реализации, из которых исключаются НДС и акциз.
В случаях, если в конкретном периоде произведенная продукция не была реализована, объем производства в стоимостном выражении определяется исходя из сложившихся цен реализации.
III. Информационная основа формирования объема промышленного производства
12. Формирование статистической информации по промышленности осуществляется на основании:
- а) данных государственной статистической отчетности для юридических лиц, производящих промышленную продукцию (месячных, годовых);
- б) ежеквартальных выборочных наблюдений деятельности малых предприятий, микрофирм;
- в) ежеквартальных выборочных статистических обследований индивидуальных предпринимателей (физических лиц), занимающихся производственной деятельностью, по данным государственной налоговой службы;
- г) материалов обследований домашних хозяйств.
- д) материалов обследований домашних хозяйств и индивидуальных предпринимателей.
13. Один раз в год формируется уточненная информация об общем объеме промышленного производства на основе данных государственной статистической отчетности для коммерческих организаций, фермерских хозяйств, некоммерческих организаций (по перечню, установленному органами статистики, оценки промышленной деятельности субъектов малого предпринимательства, ликвидированных в течении отчетного года, оценки деятельности индивидуальных предпринимателей и домашних хозяйств, в части производства промышленной продукции (работ, услуг).
14. Оценка деятельности субъектов малого предпринимательства, ликвидированных в течение отчетного года, производится на основе данных об объеме производства промышленной продукции (работ, услуг) данных организаций за предыдущий год.
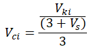
Квартальный объем производства ликвидированных субъектов малого предпринимательства определяется по формуле:

где Vki - объем промышленного производства субъектов малого предпринимательства, ликвидированных за i квартал отчетного года;
Vу - объем промышленного производства за предыдущий год ликвидированных в отчетном году субъектов малого предпринимательства;
Vр - общий объем промышленного производства субъектов малого предпринимательства за предыдущий год;
Vs - данные выборочного обследования за i квартал, распространенные на целую совокупность.
15. Ежеквартальный объем промышленного производства формируется на основе:
- а) государственной статистической отчетности для коммерческих организаций, кроме малых предприятий, микрофирм и сельскохозяйственых производителей;
- б) оценки объемов промышленного производства по малым предприятиям микрофирмам по данным ежеквартальных обследований, с учетом рассчитанных объемов ликвидированных предприятий;
- в) оценки объемов промышленного производства иных юридических лиц (осуществлявших промышленную деятельность сельскохозяйственных производителей, включая фермерские хозяйства, некоммерческих организаций), производственной деятельности домашних хозяйств и индивидуальных предпринимателей.
16. Ежемесячный объем промышленного производства рассчитывается в оперативном режиме на основе отчетных данных коммерческих организаций, кроме малых предприятий, микрофирм и сельскохозяйственных производителей, оценок объема промышленного производства иных юридических лиц (осуществлявших промышленную деятельность малых предприятий и микрофирм, сельскохозяйственных производителей, включая фермерские хозяйства, некоммерческих организаций), производственной деятельности домашних хозяйств.
17. Схема формирования информации об общем объеме промышленного производства указана в приложении 1 к методическим положениям.
IV. Особенности определения общего объема промышленного производства субъектов малого предпринимательства и непромышленных организаций
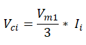
18. Ежемесячный объем промышленного производства малых предприятий микрофирм формируется на основании данных квартальных выборочных обследований по формуле:

где Vci - среднемесячный объем малых предприятий и микрофирм, рассчитанный по данным выборочного обследования за i-квартал с учетом объема ликвидированных предприятий.
3 - количество месяцев в одном квартале.
Пример расчета квартального объема производства ликвидированных малых предприятий и микрофирм приведен в приложении 2 к методическим положениям.
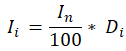
19. В связи с тем, что обследование малых предприятий и микрофирм проводится в последний месяц квартала, до получения данных выборочного обследования текущего квартала среднемесячный объем производства малых предприятий и микрофирм рассчитывается по формуле:

где, Vml - данные выборочного обследования за предыдущий квартал, распространенные на целую совокупность с учетом поправочного коэффициента,
Ii - поправочный коэффициент, рассчитанный на основе включенных в анкеты оценочных показателей «улучшения» или «ухудшения» экономической ситуации по сравнению с соответствующим периодом прошлого года
20. Поправочный коэффициент определяется по формуле:

где, In - средняя величина индекса изменения объема производства текущего квартала к предыдущему за три года (в процентах), который рассчитывается по формуле:

где In-1 - индекс объема производства малых предприятий и микрофирм в соответствующем периоде прошлого года;
In-2 - индекс объема производства малых предприятий и микрофирм в аналогичном периоде позапрошлого года;
In-3 - индекс объема производства малых предприятий и микрофирм в аналогичном периоде позапозапрошлого года.
Di - доля малых предприятий и микрофирм, имеющих перспективы улучшения деятельности в ближайшие три месяца.
Пример расчета поправочного коэффициента приведен в приложении 3 к методическим положениям.
Пример расчета квартального объема промышленного производства приведен в приложении 4 к методическим положениям.
21. Объем производства за последний месяц квартала определяется по формуле:

где, V3 - объем производства за последний месяц квартала,
V1, V2 - рассчитанные объемы производства первого и второго месяца отчетного квартала.
22. Распределение ежемесячного объема промышленного производства малых предприятий и микрофирм по видам промышленной деятельности осуществляется на основании показателей объема производства последнего месяца квартала V3 с учетом основного вида деятельности организаций на момент проведения выборочного обследования.
23. Ежемесячный объем промышленного производства, произведенный промышленными подразделениями непромышленных организаций, фермерскими хозяйствами, некоммерческими организациями, оценивается исходя из их удельного веса в общем объеме промышленного производства на основе уточненных (годовых) фактических данных за предыдущий год.
V. Определение объемов промышленного производства домашних хозяйств и индивидуальных предпринимателей
24. Объем промышленного производства домашних хозяйств складывается по результатам производственной деятельности, осуществляемой физическими лицами для собственного потребления, учитывая произведенную ими продукцию, в натуральном выражении.
25. По данным ежемесячного «Вопросника домашних хозяйств», с учетом распространения показателей производства продукции в домашних хозяйствах на генеральную совокупность, рассчитывается объем произведенной продукции за месяц.

где Vdx - объем промышленного производства домашних хозяйств;
Vр - получено из переработки i-товара (в натуральном выражении);
Kdx - количество обследованных домохозяйств;
Dc - генеральная совокупность домохозяйств (района, области);
Si - цена за единицу продукции (оценивается в рыночных ценах).
Эти данные учитывают переданную в переработку продукцию (мясо, молоко, рыба), а также продукцию, полученную из переработки в натуральном выражении, (колбасные изделия, масло животное, сыр, брынза, масло растительное, мясные и мясорастительные консервы, консервы овощные, консервы фруктовые, сухие овощи, сухие фрукты и т.д.).
При этом вся продукция оценивается в рыночных ценах на момент производства.
26. Расчет объема производства индивидуальных предпринимателей осуществляется по данным ежеквартального выборочного обследования физических лиц, занимающихся производственной деятельностью.

где Vip - объем промышленного производства индивидуальных предпринимателей за месяц;
Ms - количество произведенного вида продукции m в стоимостном выражении за месяц.
27. Выборочное анкетное обследование физических лиц, занимающихся производственной деятельностью, проводится по данным налоговых органов в соответствии с установленным Госкомстатом количеством действующих индивидуальных предпринимателей по отдельным видам деятельности в разрезе регионов.
Перечень используемой справочной информации
1. Государственный стандарт Республики Узбекистан 0'zDSt 2914:2014 Статистический классификатор продукции (товаров, работ, услуг) по видам экономической деятельности (СКП), утвержденный Постановлением Агентства «Узстандарт» от 19.01.2015 года № 05-612.
2. Положение о порядке отражения в бухгалтерском учете операций, связанных с давальческим сырьем, (рег. № 2086 от 15.03.2010 г).
3. Постановление Кабинета Министров Республики Узбекистан от 24.08.2016 г. №275 «О мерах по переходу на международную систему классификации видов экономической деятельности».
4. Международные рекомендации по статистике промышленности 2008 г. Департамент по экономическим и социальным вопросам ООН серия М №90 Нью-Йорк, 2010 г.).
5. Система национальных счетов 2008 Европейская комиссия, Международный валютный фонд, Организация экономического сотрудничества и развития, Организация объединенных наций, Всемирный банк Нью-Иорк, 2012 г.Приложение 1 к Методологическим положениям по стоимостной оценке общего объема промышленного производства
Схема формирования информации об общем объеме промышленного производства

Приложение 2 к Методологическим положениям по стоимостной оценке общего объема промышленного производства
Пример расчета квартального объема производства ликвидированных малых предприятий и микрофирм за 2 квартал 2021 года
Условный пример
Объем промышленного производства в фактических ценах, млрд.сум Vy - объем промышленного производства за 2020 год ликвидированных в 2021 году субъектов малого предпринимательства 64,0 Vp - общий объем промышленного производства субъектов малого предпринимательства за предыдущий год 1280,9 Vs - данные выборочного обследования 4-sanoаt kuzatuv за i квартал, распространенные на целую совокупность 382,2 Vki - объем промышленного производства ликвидированных субъектов малого предпринимательства за i квартал отчетного года 20,1 = [64,0 : (1280,9-64,0)] х 382,2 Приложение 3 к Методологическим положениям по стоимостной оценке общего объема промышленного производства
Условный пример расчета поправочного коэффициента для определения объема промышленного производства малых предприятий и микрофирм за 2 квартал 2021 года
Изменение объема производства малых предприятий и микрофирм 2 квартал к 1 кварталу Количество малых предприятий и микрофирм, заполнивших объем промышленного производства по ф. 4-kb за 1 квартал 2021 года Доля малых предприятий и микрофирм, имеющих перспективы улучшения деятельности в ближайшие три месяца Поправочный коэффициент 2018 2019 2020 Среднегеометрическое значение изменения объема производства всего в том числе, у которых имеются перспективы улучшения деятельности в ближайшие три месяца Всего по промышленности 125,3 124,5 127,6 125,8 1093 1060 0,97=1060:1093 1,22=125,8:100х 0,97 Приложение 4 к Методологическим положениям по стоимостной оценке общего объема промышленного производства
Условный пример расчета квартального объема промышленного производства малых предприятий и микрофирм по видам деятельности за 2 квартал 2021 года
Объем промышленного производства малых предприятий и микрофирм по видам деятельности промышленности за 2020 год, в % Информация малых предприятий и микрофирм, у которых по данным годовой статистической отчетности имелась выручка от реализации продукции (ф. 1-kb) Объем промышленного производства вновь созданных в году обследования малых предприятий и микрофирм
(ф. 4-sanoаt kuzatuv) по их совокупностиОбъем промышленного производства малых предприятий и микрофирм за 2 квартал 2021 года с учетом поправочного коэффициента объем промышленного производства по совокупности малых предприятий и микрофирм поправочный коэффициент уточненный объем промышленного производства (с учетом поправочного коэффициента) А 1 2 3 4 5 6 Промышленность всего 314713,5 1,22 383950,5 530,2 384480,7 Горнодобывающая промышленность и разработка карьеров 100 16803,2 1,22 20499.9 - 20499,9 Прочая деятельность горнодобывающей промышленности 100 - - 20499.9 - 20499,9 Обрабатывающая промышленность 100 293053,5 1,22 357525,3 530,2 258055,5 Производство продуктов питания 31,6 - - 48623,4 130.2 48753,6 Производство напитков 9,8 - - 35037,5 37,0 35074,5 Производство текстильных изделий 9,9 - - 35395.0 30,0 35425,0 Производство одежды 10,6 - - 37897,7 155,0 38052.7 Производство кожаной и относящейся к ней продукции 8,7 - - 31104,7 53,0 31157,7 Производство деревянных и пробковых изделий (кроме мебели), изделий из соломки и материалов для плетения 3,0 - - 10725,8 - 10725,8 Производство бумаги и бумажной продукции 1,4 - - 5005.4 - 5005.4 Производство химической продукции 8,1 - - 28959,5 - 28959,5 Производство резиновых и пластмассовых изделий 5,8 - - 20736,5 - 20736,5 Производство прочей не металлической минеральной продукции 7,8 - - 27887.0 - 27887.0 Производство готовых металлических изделий, кроме машин и оборудования 3,6 - - 12870,9 - 12870,9 Производство электрического оборудования 3,2 - - 11440,8 - 11440,8 Производство машин и оборудования, не включенных в другие группировки 2,5 - - 8938,1 - 8938,1 Производство мебели 1.4 - - 5005,4 125,0 5130,4 Производство прочих готовых изделий 1.5 - - 5362,9 - 5362,9 Ремонт и установка машин и оборудования 9,1 - - 32534.7 - 32534.7 Электроснабжение, подача газа, пара и кондиционирование воздуха 100 2986,8 1,22 3643,9 - 3643,9 Электроснабжение, подача газа, пара и кондиционирование воздуха 100 - - 3643,9 - 3643,9 Водоснабжение, канализация, сбор и утилизация отходов 100 1870,0 1,22 2281,4 - 2281,4 Сбор, обработка и распределение воды 100 - - 2281,4 - 2281,4