Методические положения по расчету индекса физического объема промышленного производства
- Содержание
- Глава 1. Общие положения
- Глава 2. Информационная основа для расчета индекса физического объема
- Глава 3. Метод построения индекса физического объема
- Глава 4. Формирование показателей на основе дискретных кварталов
- Глава 5. Метод проведения сезонной корректировки
- Перечень используемой справочной информации
- Приложение № 1 к Методическим положениям по расчету индекса физического объема промышленного производства
- Приложение № 2 к Методическим положениям по расчету индекса физического объема промышленного производства
- Приложение № 3 к Методическим положениям по расчету индекса физического объема промышленного производства
- Приложение № 4 к Методическим положениям по расчету индекса физического объема промышленного производства
- Приложение № 5 к Методическим положениям по расчету индекса физического объема промышленного производства
- Приложение № 6 к Методическим положениям по расчету индекса физического объема промышленного производства
Настоящие Методические положения определяют порядок формирования статистической информации при определении индекса физического объема промышленного производства, используемого в качестве индикатора для отслеживания динамики развития производственного сектора экономики, при формировании основных макроэкономических показателей страны и ее регионов.
При разработке настоящих Методических положений использованы нормативно- правовые акты Республики Узбекистан, регламентирующие деятельность предприятий, производящих промышленную продукцию, определения СНС-2008, опыт стран СНГ.
Глава 1. Общие положения
1. В настоящих Методических положениях используются следующие основные понятия и определения:
индекс физического объема промышленного производства – агрегированный индекс производства, отражающий изменения во времени физического объема добавленной стоимости;
индекс физического объема промышленного производства – агрегированный индекс производства, отражающий изменения во времени физического объема добавленной стоимости;
индекс производства – относительный статистический показатель, характеризующий совокупное изменение производства промышленной продукции (услуг) по конкретному виду экономической деятельности в сравниваемых периодах в результате изменения только ее физического объема;
валовая добавленная стоимость – разность между выпуском товаров и услуг и промежуточным потреблением, исчисляемая по видам экономической деятельности;
выпуск товаров и услуг – суммарная стоимость товаров и услуг, являющихся результатом экономической деятельности организаций в отчетном периоде;
индекс цен производителей промышленной продукции – относительный статистический показатель, характеризующий изменение цен производителей на промышленную продукцию (услуги) во времени;
базисный год - год, принятый за базу сравнения;
объем промышленного производства – совокупность произведенной готовой продукции и полуфабрикатов, оказанных услуг силами персонала организации, предназначенных для реализации (выполненных по заказу) другим организациям, населению, непромышленным структурным подразделениям своей организации, по видам экономической деятельности, относящимся к промышленности;
промежуточное потребление – стоимость товаров и услуг, которые потребляются в процессе производства в отчетном периоде;дефлятирование – метод перевода экономических показателей, рассчитанных в текущих ценах, в сопоставимые постоянные цены; дефлятирование определяется как выделение компоненты физического объема, т.е. физического количества и качества продукции, из данных, содержащих две компоненты – ценовую компоненту и компоненту физического объема;
дефлятор – коэффициент преобразования экономических параметров, рассчитанных в текущих ценах, в постоянные (базисные) цены;
дискретный квартал – это «чистый» квартал трех месяцев, не имеющий возрастающих значений (например, I квартал, II квартал, III квартал, IV квартал). I квартал состоит из месяцев январь-март, II квартал – апрель-июнь, III квартал – июль- сентябрь, IV квартал – октябрь-декабрь. При этом периоды с возрастающим значением январь-июнь, январь-сентябрь, январь-декабрь не считаются дискретными кварталами;сезонная корректировка – процесс оценки и последовательного удаления из временного ряда эффектов, которые являются систематическими и связанными с сезонными и календарными факторами.
Глава 2. Информационная основа для расчета индекса физического объема
2. Информационной базой для расчета индекса физического объема являются первичные статистические данные по формам государственной статистической отчетности, представляемые организациями (юридическими лицами), а также экстраполированные первичные статистические данные выборочного обследования физических лиц, занимающихся производственной деятельностью:
- а) один раз в год формируется уточненная информация об общем объеме промышленной продукции на основе данных государственной статистической отчетности для крупных организаций, унифицированной отчетности для малых организаций и микрофирм, фермерских хозяйств, некоммерческих организаций, оценок деятельности неформального сектора в части производства промышленной продукции (работ, услуг);
- б) ежемесячно объем промышленной продукции рассчитывается в оперативном режиме на основе отчетных данных крупных промышленных организаций и оценки объема промышленного производства иных юридических лиц (осуществлявших промышленную деятельность малых организаций и микрофирм, фермерских хозяйств, непромышленных, некоммерческих организаций), неформального сектора.
Глава 3. Метод построения индекса физического объема
3. Базовым периодом для расчета индекса физического объема принимается год, предшествующий отчетному – (t-1), а в качестве базисного периода для весов (добавленная стоимость) используются показатели года (t-2), предыдущего к базисному периоду, принятому для расчета индекса физического объема.
4. Расчет индекса физического объема методом дефлятирования. основывается на использовании данных о динамике производства продукции (работ, услуг) в стоимостном выражении с последующей поэтапной агрегацией индивидуальных индексов в укрупненные индексы по видам экономической деятельности.
Преимущества осуществления расчетов индекса физического объема промышленного производства методом дефлятирования:- данный метод позволяет включать в индекс разнородные группы товаров;
- цены, наблюдаемые для статистической выборки, могут использоваться в качестве репрезентативных для соответствующей группы товаров;
- метод дефлятирования позволяет учитывать качественные изменения производимых товаров.
5. Стоимостной объем выпуска охватывает товары и услуги, независимо от того, были они проданы или использованы иным образом, направлены в предназначенные для продажи запасы или представляют собой незавершенное производство. Выпуск продукции относится к тому периоду времени, когда он был произведен, и оценивается в основных ценах, преобладающих в этом периоде.
6. В качестве дефлятора, для приведения объемов произведенной продукции в текущих ценах в соответствие с ценами базисного периода, используется индекс цен производителей продукции.
7. Индекс физического объема представляет собой взвешенную величину, отражающую количественное изменение произведенных товаров и услуг за определенный период времени.
8. Формирование индекса физического объема промышленного производства осуществляется в несколько этапов.
9. На первом этапе рассчитываются индексы производства для отдельных видов деятельности (классов по структуре ОКЭД-2) путем сопоставления объемов промышленного производства в стоимостном выражении за сравниваемые периоды. Объемы промышленного производства оцениваются в средних ценах базисного периода методом дефлятирования объемов с использованием индекса цен производителей:

где,
Vtm-1 – стоимость продукции за период с начала отчетного года в ценах соответствующего периода предыдущего года;
Vt – стоимость продукции в фактических ценах за отчетный период;
Ipt-1 – индекс цен производителей периода с начала отчетного года к соответствующему периоду предыдущего года, в процентах.

где,
Vtm-2 – стоимость продукции за период с начала отчетного года в ценах соответствующего периода базисного года;
Ipt-2 – индекс цен производителей периода с начала предыдущего года к соответствующему периоду базисного года, в процентах.

где,Vt-1m – стоимость продукции за соответствующий период предыдущего года в ценах аналогичного периода базисного года;
Vt-1 – стоимость продукции в фактических ценах за соответствующий период предыдущего года;
I pt-2 – индекс цен производителей периода с начала предыдущего года к соответствующему периоду базисного года, в процентах.

где,Itm – индекс производства по виду деятельности m – группировке по классу по ОКЭД-2 за период с начала отчетного года к соответствующему периоду предыдущего года, в процентах.
10. Для учета влияния конкретного вида деятельности индексы поэтапно агрегируются, согласно иерархической структуре Общегосударственного классификатора видов экономической деятельности (ОКЭД-2), с учетом структуры добавленной стоимости. При отсутствии информации о структуре валовой добавленной стоимости на уровне 3-х и 4-х значных кодов экономической деятельности, веса для соответствующих классов и групп рассчитываются согласно их структуре в соответствующем объеме валового выпуска продукции.
11. Веса для видов промышленного производства определяются исходя из доли их валовой добавленной стоимости в валовой добавленной стоимости укрупненного вида промышленной деятельности, измеренной в ценах базового периода:

где,Itn – индекс производства по виду деятельности n по соответствующей группе ОКЭД-2, в процентах;
Условный пример расчета по отдельным группам приведен в приложении № 2.
12. На следующем этапе расчета индексы по видам деятельности соответствующих групп агрегируются с целью получения индексов по укрупненным видам экономической деятельности по разделам, согласно структуре ОКЭД-2:
где,Itn – индекс производства по виду деятельности r соответствующего раздела ОКЭД-2, в процентах;
Wn – доля добавленной стоимости по виду деятельности n (группы в общем объеме раздела секции).
Условный пример расчета по отдельным разделам приведен в приложении №3.
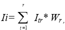
13. Для определения индекса по отдельным секциям промышленности агрегируются соответствующие значения индексов разделов:

где,Ii – индекс производства по секции I, в процентах.
Wr – доля добавленной стоимости по виду деятельности r (раздела в общем объеме секции I).
Условный пример расчета индекса физического объема по секции С приведен в приложении № 4.
14. Расчет индексов производства по секциям В, D, E проводится аналогично расчету по секции С. Сводный индекс физического объёма промышленного производства определяется агрегированием значений индексов по секциям, взвешенных на структуру добавленной стоимости базисного года.

где,
I – индекс физического объема промышленного производства;
Ib,Iс, Id, Ie – индекс производства по секциям В, С, Д, Е, в процентах;
Wb, Wс, Wd, We – доля добавленной стоимости секции В, С, Д, Е в структуре промышленного производства;
Условный пример расчета индекса физического объема промышленного производства приведен в приложении № 5.
Схема формирования индекса физического объема промышленного производства приведена в приложении № 6.
15. Представленный выше расчет индекса физического объема промышленного производства основан на показателях выпуска промышленной продукции за период с начала отчетного года и соответствующего периода с начала предыдущего года.
Для ведения сезонно скорректированных динамических рядов рекомендуется одновременно осуществлять расчеты индекса физического объема промышленной продукции за месяц.
16. Рассчитывается индивидуальный индекс изменения объема производства по отдельному виду деятельности в текущих ценах за месяцы t и t-1 по сравнению со среднемесячным объемом производства данного вида деятельности в базисном году:

где,T t/b и T t-1/b – индексы изменения объема производства по отдельному виду деятельности в текущих ценах за месяцы t и t-1 по сравнению со среднемесячным объемом производства базисного года, процентов;
vt и vt-1 – объемы производства по отдельному виду деятельности за месяцы t и t-1
в текущих ценах;
(vb)/12 – среднемесячный объем производства по отдельному виду деятельности в базисном году;
17. Индивидуальные индексы производства в среднегодовых ценах базисного года по отдельным видам деятельности определяются по формулам:

гдеIцен(t/d) и I цен(t-1)/d – индексы цен производителей за месяцы t и t-1 к декабрю базисного года;
I цен(d/b)– индекс цен производителей декабря базисного года к средним ценам базисного года;
It/b – индивидуальный индекс производства по отдельному виду деятельности за месяц t по сравнению со среднемесячным объемом промышленного производства базисного года;
It -1/b – индивидуальный индекс производства по отдельному виду деятельности за месяц t-1 по сравнению со среднемесячным объемом промышленного производства базисного года;
It/t-1 – индивидуальный индекс производства по отдельному виду деятельности за месяц t по сравнению с месяцем t-1.
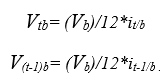
18. Объем производства в стоимостном выражении по отдельному виду деятельности в средних ценах базисного года за месяцы t и t-1 определяется по формулам:

гдеVtb и V(t-1)b – объемы производства промышленной продукции по отдельному виду деятельности за месяцы t и t-1в средних ценах базисного периода.
Объемы производства в средних ценах базисного года в стоимостном выражении за периоды с начала года представляют собой сумму их помесячных значений.
На последующих этапах индексы производства, полученные при расчете, агрегируются в индексы производства по укрупненным классификационным группировкам ОКЭД и далее – в индекс промышленного производства с использованием в качестве весов для агрегации валовой добавленной стоимости базисного года, что позволяет учесть влияние каждого вида экономической деятельности на индекс промышленного производства.Глава 4. Формирование показателей на основе дискретных кварталов
19. Схема ежеквартального расчета показателей экономической статистики в текущих ценах ничем не отличается от годовых расчетов этого показателя. Однако из-за ограниченности источников информации при проведении ежеквартальных расчетов показатели в них подробно не уточняются, а методы расчета существенно упрощены. В некоторых случаях проводятся экспертные оценки и косвенные расчеты.
20. Средние цены базового года используются при расчете показателей экономической статистики для дискретных кварталов и их компонентов в постоянных ценах. Особенность этих данных, сформированных по дискретным периодам в средних ценах базового года, позволяет сравнивать каждый квартал в динамическом ряду по кварталам с предыдущим кварталом, соответствующим кварталом предыдущего года и любым другим кварталом.
21. Определенные различия между годовыми и квартальными данными могут быть вызваны такими факторами, как разница в средних ценах, разница в весах (долях), использованных в расчетах, сезонные изменения, а также могут влиять такие факторы, как детализация или ограниченный характер источников данных. Поэтому при анализе показателей, сформированных в текущих и постоянных ценах по дискретным кварталам в виде динамических рядов, важно согласовывать их с годовыми данными.
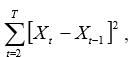
22. Для согласования годовых и квартальных динамических рядов используется метод наименьших квадратов. Этот метод основан на принципе поддержания динамики, согласно которому темпы роста по кварталам должны быть максимально приближены к исходным и скорректированным строкам, либо абсолютное значение поправок для кварталов должно быть равно минимальному значению.
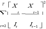
23. В зависимости от того, как выражается разница между квартальными цифрами и предварительными цифрами, согласованными с годовыми данными, могут использоваться две формулы метода наименьших квадратов.
– когда условие выполнено (то есть сумма квартальных значений должна быть равна годовым данным):1. Аддитивный метод: min

2. Мультипликативный метод: min
здесь:
t – время (например, выражение t = 4y – 3 указывает первый квартал y года, а t = 4y указывает четвертый квартал y года),
Xt – квартальная оценка, рассчитанная за t квартал,
It – значение индикатора за t квартал,
Ay – годовая оценка за y год,
Т – последний квартал первичных квартальных данных.
Эти два подхода дают приблизительно схожие результаты, кроме строк, которые имеют характеристику (или специфику) с сезонной изменчивостью. Второй –мультипликативный метод больше подходит для строк с сезонными характеристиками (или сезонной спецификой).
24. Функция XLPBM, разработанная Департаментом статистики Международного валютного фонда в дополнение к программному инструменту Microsoft Excel, используется для обеспечения согласованности квартальных и годовых данных.
Глава 5. Метод проведения сезонной корректировки
25. Сезонно сглаженные показатели являются стандартным инструментом статистического наблюдения и разрабатываются наряду с исходными показателями. Они позволяют выявлять и измерять закономерности и тенденции социально-экономических процессов, своевременно обнаруживать изменения, происходящие в этих процессах.
Для проведения сезонной корректировки используется программное обеспечение «Demetra+», разработанное под руководством экспертов Европейской Статистической Системы, с использованием метода TRAMO/ SEATS.
Процесс сезонной корректировки состоит из следующих этапов:
- оценка предварительных условий;
- сезонная корректировка;
- анализ результатов;
- представление информации пользователям.
26. Сезонная корректировка начинается с оценки исходных данных и перевода информации в установленный формат для работы в программном обеспечении «Demetra+». Качество временного ряда зависит от точности первичных данных и соответствии методики определения расчетных показателей установленным стандартам.
27. При составлении временного ряда из дискретных кварталов рекомендуется использовать показатели не менее, чем за 4 года. Для расчетов необходимо использовать индекс изменения объема производства дискретного квартала к четвертому кварталу предыдущего года.
Так как целью сезонной корректировки является выделение сезонных колебаний из временного ряда, наличие сезонности в исходных данных является обязательным условием.
28. Календарные эффекты представляют собой любые экономические явления, связанные с календарем, и они удаляются перед выполнением сезонной корректировки временного ряда. Эффект високосного года, различное количество рабочих дней, переходящие праздники влияют на уровень деловой активности для определенного периода времени.
29. Наличие в программном обеспечении Модуля «Календарь» предоставляет возможность создавать календарь с учетом всех праздничных дней, переносом рабочих и выходных дней.
Для работы в программе необходимо подготовить файл Excel с данными, подлежащими корректировке. Формат файла Excel, построенного вертикально, должен быть следующим:
- во всех листах ячейка A1 должна быть пустой и столбец A должен содержать исходные даты наблюдений;
- первая строка, т.е. ячейки B1 и C1 и т.д. должны содержать наименование определенного ряда; внутри листа наименование каждого ряда должно быть уникальным; ячейки под наименованием ряда содержат наблюдения временного ряда;
- пропущенные данные обозначаются пустой ячейкой.
30. Программное обеспечение «Demetra+» идентифицирует ряд в рабочей книге, как по имени листа, который содержит его, так и по имени каждого ряда.
Использование метода TRAMO/SEATS позволяет разделить ряд на его основные составляющие части: на сезонную, тренд-циклическую, нерегулярную, а также промежуточную составляющие. Составляющие объединяются в исходный ряд путем суммирования или умножения.
После выявления составляющих сезонная корректировка удаляет сезонную компоненту из исходных данных с целью образования сезонно скорректированного ряда.
31. Сезонная компонента включает сезонные и календарные эффекты. Сроки, направление и амплитуда компоненты обычно устойчивы.
Нерегулярная компонента – это составляющая, оставшаяся после удаления из исходных данных сезонной и тренд‐циклической компонентов. Она может также содержать некоторые ошибки, которые не всегда являются случайными. Промежуточная компонента характеризуется краткосрочными (промежуточными) колебаниями. После оценки составляющих нерегулярную и промежуточную компоненты можно соединить.32. Тренд-циклическая компонента содержит как долгосрочные, так и среднесрочные изменения. Из этих двух видов изменений тренд отображает долгосрочные, т.е. структурные изменения в течении нескольких десятилетий, характеризует скрытый уровень ряда и обычно является результатом инфляции, технологических изменений или общего экономического развития. Циклическая компонента, с другой стороны, характеризуется относительно гладкими изменениями вокруг долгосрочного тренда.
33. Целью календарной корректировки является получение сезонно скорректированных рядов, независимых от продолжительности и состава дней (количество рабочих и выходных дней) месяца или квартала.
Календарная компонента включает эффекты, связанные с различными характеристиками календаря от периода к периоду. Календарные эффекты подразделяются на сезонные и несезонные. «Несезонная» часть включается в календарную компоненту, и рассматриваться отдельно, «сезонная» часть учтена в сезонной компоненте. Используемые календарные эффекты включают в себя эффекты операционного или рабочего дня.
34. Эффект операционного дня определяет различное количество каждого дня недели в течение определенного квартала по отношению к стандартному составу будних дней в квартале. Эффект рабочего дня охватывает разницу между количеством рабочих дней и выходных дней в квартале.
35. Праздники рассматриваются как нерабочие дни. Количество нерабочих дней увеличивается на число праздников, а количество рабочих дней уменьшается соответственно.
Эффект рабочих дней захватывается путем единственного регрессора, который сравнивает группу рабочих дней (с понедельника по пятницу) через уравнение:
Рабочие дни = количество дней недели - (5/2) количество выходных
Фактор 5/2 приравнивает регрессы рабочих дней к нулю в стандартной композиции семидневной недели. Отклонение от стандартной недели отражается в регрессоре, если рабочий день больше нуля, означает, что в месяце или квартале t больше рабочих дней, чем в стандартной неделе.
36. Эффект перемещающегося праздника ассоциируется с событиями религиозной или культурной значимости, в пределах страны, дата которого изменяется из года в год.
37. Эффект високосного года, учитывает дополнительный день в феврале високосного года, который генерирует четырехлетний цикл с пиком в первом квартале високосного года (если февраль високосного года, то «0.75», в противном случае «-0.25», если февраль не високосного года – то «0»). Регрессор високосного года представляет детерминированный четырехлетний цикл с пиком в феврале високосного года, в течение четырех лет эффект високосного года полностью компенсируется негативными эффектами в последующие не високосные годы.
38. При применении для целей сезонных корректировок, TRAMO предварительно подготавливает временные ряды данных к корректировке при помощи SEATS.
Математическая формула, которую использует Tramo:
где:Zt- – показатели – система выбирает автоматически;
Xt – независимые переменные, которые включают календарные эффекты и выбросы;
b – коэффициент (определяется системой автоматически);
Yt – ошибки в сезонности.
39. Представление сезонно-сглаженных данных зависит от потребностей пользователей. На начальном этапе одновременно показываются оригинальные (первоначальные) и сезонно-сглаженные данные в тексте и в таблице публикации.
40. Дата первого пересмотра сезонно скорректированных данных устанавливается в начале календарного года, не менее чем за три года до периода пересмотра нескорректированных данных. Эта дата фиксируется на срок до четырех лет по причинам прозрачности. Для более ранних периодов, сезонные факторы замораживаются.
Перечень используемой справочной информации
- Система национальных счетов 2008. ЕК, МВФ, ОЭСР, ООН и ВБ.
- Общегосударственный классификатор видов экономической деятельности Республики Узбекистан, утвержденный постановлением Агентства «Узстандарт» от 28.01.2011 г. №05-268.
- «International Recommendations for the Index of Industrial Production 2010» Prepared by the United Nations Statistics Division.
- «Практическое пособие по индексу промышленного производства для стран СНГ»/ United Nations Statistics Division, 2015г.
- Практическое пособие по сезонной корректировке программным обеспечением DEMETRA+ от исходных рядов до представления пользователю (Европейская экономическая комиссия Организации Объединенных наций).
Приложение № 1 к Методическим положениям по расчету индекса физического объема промышленного производства
Определение индекса производства по отдельным видам деятельности (классам по ОКЭД-2)
Наименование видов деятельности Код ОКЭД-2
Vt, млн.сум Ipt-1 Ipt -2 Vt-1, млн.сум Itm, в % 1 2 3 4 5 6 7=(3:4:5)6:5)*10000 Производство растительных и животных масел и жиров
10.41 427702,7 112,1 111,0 357535,3 106,7 Производство маргарина и смешанных пищевых жиров
10.42 20381,8 120,1 121,0 15926,5 106,6 Переработка молока и производство сыра 10.51 322829,3 110,9 109,5 280061,5 103,9 Производство мороженого 10.52 20609,9 113,6 115,2 16664,3 108,9 Производство продуктов мукомольно- крупяной промышленности
10.61 1638845,5 113,8 111,2 1382347,3 104,2 Производство крахмала и продукции из крахмала
10.62 9988,5 114,5 112,0 7947,6 109,8 Подготовка и прядение текстильных волокон 13.10 3498963,2 115,2 111,1 2929461,1 103,7 Ткацкое производство 13.20 1508043,9 114,7 108,4 1199888,0 109,6 Производство вязаных и трикотажных чулочно-носочных изделий
14.31 102780,9 109,5 110,0 86613,2 108,4 Производство прочих вязаных и трикотажных изделий
14.39 220141,3 108,9 111,2 181881,5 111,1 Производство шпона, фанеры, плит и панелей из древесины
16.21 15869,4 109,1 108,8 12894,5 112,8 Производство сборных паркетных покрытий 16.22. 49486,1 107,6 105,8 42184,3 109,0 Приложение № 2 к Методическим положениям по расчету индекса физического объема промышленного производства
Определение индекса производства по отдельным видам деятельности (группам по ОКЭД-2)
Наименование видов деятельности
Код ОКЭД-2
Itm – индекс производства по виду деятельности m,
%Wm – доля добавленной стоимости вида деятельности m в общем объеме соответствующей группы ОКЭД-2
Itn – индекс производства по виду деятельности n,
%1 2 3 4 5=∑(3*4) Производство растительных и животных масел и жиров
10.4 х х 106,7 Производство растительных и животных масел и жиров
10.41 106,7 0,956 102,0 Производство маргарина и смешанных пищевых жиров
10.42 106,6 0,044 4,7 Производство молочных продуктов 10.5 х х 104,1 Переработка молока и производство сыра 10.51 103,8 0,944 98,0 Производство мороженого 10.52 108,8 0,056 6,1 Производство продуктов мукомольной промышленности, крахмалов и крахмальных продуктов
10.6
х
х
104,2
Производство продуктов мукомольно-крупяной промышленности
10.61 104,1 0,994 103,5 Производство крахмала и продукции из крахмала
10.62 109,8 0,006 0,7 Приложение № 3 к Методическим положениям по расчету индекса физического объема промышленного производства
Определение индекса производства по отдельным видам деятельности (разделам по ОКЭД-2)
Наименование видов деятельности
Код ОКЭД-2
Itn – индекс производства по виду деятельности n,
%Wn – доля добавленной стоимости вида деятельности n в общем объеме соответствующего раздела ОКЭД-2
Itr – индекс производства по виду деятельности r,
%1 2 3 4 5=∑(3х4) Производство продуктов питания 10 х х 104,7 Производство растительных и животных масел и жиров
10.4 106,7 0,207 22,1 Производство молочных продуктов 10.5 104,1 0,140 14,6 Производство продуктов мукомольной промышленности, крахмалов и крахмальных продуктов
10.6
104,2
0,653
68,0
Производство текстильных изделий 13 х х 105,2 Подготовка и прядение текстильных волокон 13.1 105,2 1,0 105,2 Производство одежды 14 х х 110,3 Производство вязаных и трикотажных изделий
14.3 110,3 1,0 110,3 Производство деревянных и пробковых изделий, (кроме мебели), изделий из соломки и материалов для плетения 16
х
х
109,9
Производство изделий из древесины, пробки, соломки, материалов для плетения
16.2 109,9 1,0 109,9 Приложение № 4 к Методическим положениям по расчету индекса физического объема промышленного производства
Определение индекса производства по секции С – обрабатывающая промышленность
Наименование видов деятельности
Код ОКЭД-2
Itr – индекс производства по виду деятельности r, %
Wr – доля добавленной стоимости вида деятельности r в общем объеме секции С ОКЭД-2
Ic – индекс производства по секции С, %
1 2 3 4 5=∑(3х4) Обрабатывающая промышленность С х х 105,9 Производство продуктов питания 10 104,7 0,574 60,1 Производство текстильных изделий 13 105,1 0,225 23,6 Производство одежды 14 110,3 0,112 12,4 Производство деревянных и пробковых изделий, (кроме мебели), изделий из соломки и материалов для плетения
16
109,9
0,089
9,
Приложение № 5 к Методическим положениям по расчету индекса физического объема промышленного производства
Определение индекса физического объема промышленного производства
Наименование видов деятельности
Код ОКЭД-2
Ii – индекс производства по секции i r, %
Wi – доля добавленной стоимости секции i в общем объеме промышленности I – индекс физического объема промышленного производства, %
1 2 3 4 5=∑(3х4) Промышленная продукция, всего В, С, Д, Е х х 105,3 Горнодобывающая промышленность и разработка карьеров
В 102,9 16,8 17,29 Обрабатывающая промышленность С 105,9 73,7 78,05 Электроснабжение, подача газа, пара и кондиционирование воздуха
Д 105,1 8,8 9,25 Водоснабжение, канализация, сбор и утилизация отходов
Е 106,8 0,7 0,75 Приложение № 6 к Методическим положениям по расчету индекса физического объема промышленного производства
Схема формирования индекса физического объема промышленного производства
