Инструкция по организации и проведению выборочного обследования домашних хозяйств в целях изучения проблем занятости населения
- Содержание
- ГЛАВА 1. ОБЩИЕ ПОЛОЖЕНИЯ
- ГЛАВА 2. ФОРМИРОВАНИЕ ВЫБОРОЧНОЙ СОВОКУПНОСТИ ДОМАШНИХ ХОЗЯЙСТВ
- ГЛАВА 3. ПРОВЕДЕНИЕ ОБСЛЕДОВАНИЯ
- ГЛАВА 4. ОБРАБОТКА ПЕРВИЧНЫХ СТАТИСТИЧЕСКИХ ДАННЫХ, ПОЛУЧЕННЫХ В ХОДЕ ОБСЛЕДОВАНИЯ
- ГЛАВА 5. ПОРЯДОК ОФОРМЛЕНИЯ, ХРАНЕНИЯ, УЧЁТА, ВЫДАЧИ, ИСПОЛЬЗОВАНИЯ И ВОЗВРАТА УДОСТОВЕРЕНИЙ
- Приложение 1
- Приложение 2
- Приложение 3
- Приложение 4
- Приложение 5
ГЛАВА 1. ОБЩИЕ ПОЛОЖЕНИЯ
1. Настоящая Инструкция устанавливает порядок организации и проведения органами государственной статистики выборочного обследования домашних хозяйств в целях изучения проблем занятости населения (далее – обследование).
2. Обследование проводится во всех областях республики и городе Минске выборочным методом и охватывает 0,8 процента от общего числа домашних хозяйств Республики Беларусь в год.
3. Обследование строится на следующих основных принципах:
- добровольность участия в обследовании членов домашних хозяйств, включенных в выборочную совокупность домашних хозяйств;
- конфиденциальность первичных статистических данных, полученных в ходе обследования;
- представительность выборочной совокупности домашних хозяйств на республиканском и областном (города Минска) уровнях.
4. Основными целями обследования являются:
- изучение состояния и динамики рынка труда;
- формирование официальной статистической информации о численности рабочей силы, занятых, безработных и лиц, не входящих в состав рабочей силы в соответствии с критериями Международной организации труда;
- формирование официальной статистической информации о причинах незанятости, способах и продолжительности поиска работы, намерениях и готовности к трудоустройству, а также о занятых, безработных и лицах, не входящих в состав рабочей силы по полу, возрасту, уровню образования, профессиональной квалификации.
5. Обследование проводится по состоянию на обследуемую неделю.
В качестве обследуемой недели установлена третья неделя второго месяца квартала. Обследуемая неделя может быть перенесена на другой месяц в пределах квартала. Обследуемая неделя длится с понедельника по воскресенье включительно.
6. Респондентами обследования являются члены домашнего хозяйства в возрасте от 15 до 74 лет включительно (за исключением членов коллективных домашних хозяйств), постоянно проживающие по адресу жилого помещения, отобранного для проведения обследования.
7. В настоящей Инструкции используются следующие основные термины и их определения:
- вероятностный отбор – отбор, основанный на объективных правилах случайного отбора;
- выборочная совокупность домашних хозяйств – подмножество, состоящее из определенного числа случайно отобранных домашних хозяйств, входящих в генеральную совокупность домашних хозяйств, с целью проведения обследования;
- генеральная совокупность домашних хозяйств – совокупность домашних хозяйств Республики Беларусь, из которой осуществляется формирование выборочной совокупности домашних хозяйств;
- генеральная совокупность населения – численность населения Республики Беларусь в возрасте 15 – 74 лет на начало отчётного года, признаки которого должны быть изучены;
- домашнее хозяйство – группа лиц, которые совместно проживают в жилом помещении, обеспечивают себя всем необходимым для жизни, ведут общее хозяйство, полностью или частично объединяя и расходуя свои средства, либо одно лицо, живущее самостоятельно и обеспечивающее себя всем необходимым для жизни;
- коллективное домашнее хозяйство – группа лиц, потребности в жилье и питании которых удовлетворяются организацией, обеспечивающей их проживание и обслуживание (места содержания под стражей, арестные дома, исправительные учреждения, учреждения социального обслуживания и тому подобные);
- кодирование ответов респондентов – присвоение кодов первичным статистическим данным, для обеспечения их обработки и хранения средствами вычислительной техники;
- случайная величина – переменная величина, принимающая одно из возможных значений в зависимости от случайных обстоятельств;
- индивидуальный вес респондента – это вес, который присваивается каждому респонденту и характеризует численность населения, которое данный респондент представляет в генеральной совокупности населения;
- экстраполяция первичных статистических данных – нахождение характеристик генеральной совокупности населения на основе характеристик респондентов.
8. Для организации и проведения обследования органы государственной статистики осуществляют:
8.1. Национальный статистический комитет (далее – Белстат):
- методологическое руководство организацией и проведением обследования;
- формирование выборочной совокупности домашних хозяйств;
- обработку и хранение в электронном виде первичных статистических данных;
- расчёт индивидуальных весов и экстраполяцию первичных статистических данных, полученных в ходе обследования, на генеральную совокупность населения;
- распространение и представление официальной статистической информации обследования;
- обеспечение главных статистических управлений областей и города Минска планшетными компьютерами (далее – планшеты) с чехлами и зарядными устройствами к ним, портфелями или сумками; бланками формы государственного статистического наблюдения 4-т (занятость) «Анкета по изучению занятости населения» (далее – анкета) и указаниями по ее заполнению; карточками на жилое помещение, в котором проживает обследуемое домашнее хозяйство (далее – карточка на помещение) по форме согласно приложению 1; письмами-обращениями к гражданам, проживающим по отобранным для проведения обследования адресам жилых помещений (далее – письмо-обращение) (далее – инструментарий);
8.2. главные статистические управления областей и города Минска:
- подбор граждан, привлекаемых для проведения обследования (далее – специалисты, проводящие обследование) в областных центрах, городе Минске и районах, в которых нет отделов статистики;
- проведение специального обучения специалистов, проводящих обследование;
- заключение гражданско-правовых договоров со специалистами, проводящими обследование, и контроль за их исполнением;
- оформление, хранение, учёт, выдачу удостоверений специалистов, проводящих обследование (далее – удостоверение);
- выдачу специалисту, проводящему обследование в областных центрах, городе Минске и районах, в которых нет отделов статистики, списка адресов жилых помещений, отобранных для проведения обследования (далее – список адресов), и инструментария;
- организацию и проведение среди населения в отобранных для проведения обследования районах и городах информационно-разъяснительной работы о целях, условиях и порядке проведения обследования;
- прием от специалистов, проводящих обследование в областных центрах, городе Минске и районах, в которых нет отделов статистики, заполненных карточек на помещение и анкет в электронном виде;
- обработку первичных статистических данных, полученных в ходе обследования;
- хранение анкет и карточек на помещение;
- обеспечение отделов статистики в районах и городах, на территории которых находятся адреса жилых помещений, отобранных для проведения обследования (далее – отделы статистики), списками адресов и инструментарием;
8.3. отделы статистики:
- подбор специалистов, проводящих обследование;
- составление списков адресов домашних хозяйств в сельских населенных пунктах, отобранных для проведения обследования, и передачу их в главные статистические управления областей;
- учёт и выдачу удостоверений;
- выдачу специалисту, проводящему обследование, списка адресов и инструментария;
- прием от специалистов, проводящих обследование, заполненных карточек на помещение и анкет в электронном виде, и их передачу в главные статистические управления областей.
9. Специалисты, проводящие обследование, осуществляют проведение опроса членов домашних хозяйств по отобранным для проведения обследования адресам жилых помещений.
ГЛАВА 2. ФОРМИРОВАНИЕ ВЫБОРОЧНОЙ СОВОКУПНОСТИ ДОМАШНИХ ХОЗЯЙСТВ
10. Формирование выборочной совокупности домашних хозяйств осуществляется Белстатом из общего числа проживающих в Республике Беларусь домашних хозяйств, за исключением коллективных домашних хозяйств.
Выборочная совокупность домашних хозяйств с учётом возможных отказов населения от участия в обследовании составляет 37,2 тысячи, или 0,9 процента от генеральной совокупности домашних хозяйств.
Для формирования выборочной совокупности домашних хозяйств используются:
- итоговые данные последней переписи населения Республики Беларусь;
- официальная статистическая информация о численности населения;
- данные похозяйственного учёта;
- географические карты, схемы административно-территориальных единиц;
- иная информация.
11. Формирование выборочной совокупности домашних хозяйств осуществляется путем построения трехступенчатой расслоенной (стратифицированной) по территориальному признаку выборки с использованием метода вероятностного отбора.
Отбор осуществляется отдельно по каждой области и городу Минску.
12. На всех ступенях выборки применяется стандартная процедура систематического отбора, при которой начало отбора определяется случайно (на основании генератора случайных чисел).
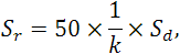
13. На первой ступени выборки единицами отбора являются административно-территориальные единицы: города, поселки городского типа и сельсоветы. Сначала определяются города, которые в обязательном порядке (с вероятностью, равной 1) включаются в обследование. Размер необходимой численности населения для отбора городов определяется исходя из максимальной расчётной величины средней нагрузки на специалиста, проводящего обследование (50 домашних хозяйств), по следующей формуле:

где Sг – размер необходимой численности населения для отбора городов, которые в обязательном порядке включаются в обследование;
k – коэффициент выборки;
Sd – средний размер домашнего хозяйства в городской местности по итоговым данным последней переписи населения Республики Беларусь.
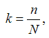
Коэффициент выборки определяется по следующей формуле:

где k – коэффициент выборки;
n – выборочная совокупность домашних хозяйств;
N – генеральная совокупность домашних хозяйств.
На основе полученных данных отбираются города, численность населения в которых свыше размера необходимой численности населения (далее – большие города).
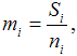
Затем отбираются города и поселки городского типа с численностью населения ниже размера необходимой численности населения (далее – малые города). Для этого в пределах каждой области составляется перечень малых городов, которые ранжируются в порядке возрастания численности населения в них. Из перечня малых городов определяется количество малых городов, которое должно быть отобрано в пределах области. При этом, рассчитывается шаг отбора малых городов по следующей формуле:

где mi – шаг отбора малых городом;
Si – численность городского населения каждой области;
ni – число малых городов в выборке.
Первая единица отбора малых городов определяется путем умножения шага отбора малых городов на случайную величину, полученную с помощью генератора случайных чисел. Последующие единицы отбора малых городов определяются путем добавления шага отбора малых городов к предыдущей единице.
Порядок отбора сельсоветов аналогичен отбору малых городов. При этом максимальная расчётная величина средней нагрузки на специалиста, проводящего обследование, в сельской местности составляет
40 домашних хозяйств.14. На второй ступени выборки отбираются:
- в больших и малых городах – счётные участки, сформированные при проведении последней переписи населения Республики Беларусь;
- в сельсоветах – сельские населенные пункты.
Территория каждого сельсовета условно делится на несколько сегментов с целью группировки близлежащих населенных пунктов для проведения в них обследования. Из общего числа сегментов в сельсовете отбирается один сегмент.
15. На третьей ступени выборки отбираются адреса жилых помещений, в которых проживают домашние хозяйства, путем применения стандартной процедуры систематического отбора, при которой начало отбора определяется случайно (на основании генератора случайных чисел).
В выборочную совокупность домашних хозяйств включаются все домашние хозяйства, проживающие в отобранных для проведения обследования адресах жилых помещений.
Ежегодно осуществляется ротация в размере 25 процентов отобранных для проведения обследования адресов жилых помещений. Список адресов утверждается приказом Белстата ежеквартально не позднее 10-го числа месяца, предшествующего месяцу проведения обследования, и в электронном виде передается в главные статистические управления областей и города Минска.
16. Процедура отбора административно-территориальных единиц осуществляется один раз в четыре года. Перечень административно-территориальных единиц, отобранных для проведения обследования, с указанием периодов проведения на их территории обследования, утверждается приказом Белстата не позднее 1 августа года, в котором осуществляется отбор административно-территориальных единиц.
Домашние хозяйства, включенные в выборочную совокупность домашних хозяйств, обследуются один раз в год на протяжении четырех последовательных лет в одном и том же квартале.
ГЛАВА 3. ПРОВЕДЕНИЕ ОБСЛЕДОВАНИЯ
17. Сбор первичных статистических данных осуществляется специалистами, проводящими обследование, в течение десяти дней после обследуемой недели путем опроса членов домашнего хозяйства при непосредственном посещении домашнего хозяйства.
18. Опрос членов домашнего хозяйства осуществляется по перечню вопросов, содержащихся в анкете.
19. Ответы на вопросы анкеты могут быть получены как от самого респондента, так и со слов совместно проживающих с ним членов домашнего хозяйства в случае отсутствия респондента в момент опроса.
Специалист, проводящий обследование, проводит опрос респондентов с использованием планшета, в исключительных случаях – бланка анкеты на бумажном носителе.
Бланки анкеты на бумажном носителе используются в случаях, когда планшет не работает (разрядился или неисправен) либо респондент настаивает на заполнении бланка анкеты на бумажном носителе. Первичные статистические данные из анкеты на бумажном носителе, специалист, проводящий обследование, переносит в специальное программное обеспечение в планшете в день проведения опроса или после восстановления работы планшета.
20. Для проведения обследования специалист, проводящий обследование:
- проходит специальное обучение по вопросам проведения обследования;
- получает от главного статистического управления области (города Минска) или отдела статистики список адресов и инструментарий;
- проводит в обследуемую неделю предварительный обход жилых помещений, согласно списку адресов с целью оповещения домашних хозяйств о проводимом обследовании, согласования даты и времени проведения опроса и доставляет им письмо-обращение.
21. Специалист, проводящий обследование в течение десяти календарных дней после обследуемой недели:
- осуществляет обход жилых помещений согласно списку адресов. В случае отсутствия членов домашнего хозяйства по отобранному для проведения обследования адресу жилого помещения специалист, проводящий обследование, еще два раза посещает этот адрес в различные дни и часы. Если после трех посещений (в сельской местности – после двух) члены домашнего хозяйства отсутствуют, то он сообщает об этом в главное статистическое управление области (города Минска). Замена отобранных для проведения обследования адресов жилых помещений в случае отсутствия членов домашнего хозяйства или отказа участвовать в обследовании не осуществляется. Специалисту, проводящему обследование, не разрешается опрашивать членов домашних хозяйств, проживающих по адресам, не представленным в выборке;
- заполняет при посещении домашнего хозяйства карточку на помещение, проводит опрос респондентов по перечню вопросов, содержащихся в анкете;
- для уточнения первичных статистических данных сообщает респонденту о выявленных ошибках и противоречиях, при необходимости пишет свои комментарии по опросу, дает пояснения респондентам по вопросам анкеты, руководствуясь указаниями по ее заполнению;
- представляет каждые два дня заполненные карточки на помещение и анкеты в электронном виде в главное статистическое управление области (города Минска) или в отдел статистики.
22. Незаполненные бланки анкеты и другой инструментарий сдаются специалистом, проводящим обследование, в главное статистическое управление области (города Минска) или в отдел статистики в двухдневный срок после окончания проведения обследования или досрочного расторжения со специалистом, проводящим обследование, гражданско-правового договора.
ГЛАВА 4. ОБРАБОТКА ПЕРВИЧНЫХ СТАТИСТИЧЕСКИХ ДАННЫХ, ПОЛУЧЕННЫХ В ХОДЕ ОБСЛЕДОВАНИЯ
23. Обработка первичных статистических данных, полученных в ходе обследования, осуществляется на двух уровнях:
- на уровне главных статистических управлений областей и города Минска;
- на уровне Белстата.
24. Главные статистические управления областей и города Минска осуществляют:
- прием от специалистов, проводящих обследование, и отделов статистики заполненных карточек на помещение и анкет в электронном виде;
- кодирование ответов респондентов о виде экономической деятельности, специальности, занятии;
- обработку первичных статистических данных, полученных в ходе обследования, выполнение логических контролей на выявление несоответствий в ответах респондентов и их редактирование;
- формирование единого массива первичных статистических данных, полученных в ходе обследования;
- сопоставление первичных статистических данных, полученных в ходе обследования отчётного периода, с первичными статистическими данными, полученными в ходе обследования предыдущего отчётного периода;
- передачу в Белстат сформированного единого массива первичных статистических данных, полученных в ходе обследования.
25. Белстат осуществляет:
- контроль и объединение поступивших от главных статистических управлений областей и города Минска единых массивов первичных статистических данных, полученных в ходе обследования;
- формирование на основе поступивших от главных статистических управлений областей и города Минска первичных статистических данных, полученных в ходе обследования, базы данных обследования, выполнение логических проверок на выявление несоответствий в ответах респондентов и редактирование базы данных обследования;
- автоматическую корректировку базы данных обследования, которая производится в случае, если член домашнего хозяйства указал при проведении опроса, что он является военнослужащим;
- формирование, анализ, распространение и представление официальной статистической информации по результатам обследования;
- ведение базы данных обследования.
ГЛАВА 5. ПОРЯДОК ОФОРМЛЕНИЯ, ХРАНЕНИЯ, УЧЁТА, ВЫДАЧИ, ИСПОЛЬЗОВАНИЯ И ВОЗВРАТА УДОСТОВЕРЕНИЙ
26. Удостоверение выдается каждому специалисту, проводящему обследование, на период проведения обследования после прохождения им специального обучения по вопросам проведения обследования, заключения с ним гражданско-правового договора.
Удостоверения оформляются кадровой службой главного статистического управления области (города Минска) в соответствии с формой бланка удостоверения согласно приложению 2, описанием удостоверения согласно приложению 3.
При заполнении бланков удостоверений запись производится в электронном виде либо разборчивым почерком чернилами (пастой) синего или черного цвета. Подчистки, помарки и исправления не допускаются.
Для оформления удостоверения специалист, проводящий обследование, представляет кадровой службе главного статистического управления области (города Минска) цветную фотографию размером 30 x 40 мм.
Удостоверения подписываются начальником главного статистического управления области (города Минска).
Удостоверение регистрируется в журнале учёта удостоверений по форме согласно приложению 4.
27. Работник кадровой службы главного статистического управления области, ответственный за выдачу и учёт удостоверений, передает удостоверения работнику отдела статистики, уполномоченному на выдачу и прием удостоверений (далее – уполномоченный работник).
28. Для организации учёта выдачи и возврата удостоверений кадровой службой главного статистического управления области (города Минска), уполномоченным работником ведется журнал учёта выдачи и возврата удостоверений по форме согласно приложению 5.
Ответственность за учёт выдачи и возврата удостоверений возлагается на лицо их выдающее.
29. Журнал учёта удостоверений и журнал учёта выдачи и возврата удостоверений должны быть пронумерованы, прошнурованы, скреплены подписью начальника главного статистического управления области (города Минска) и гербовой печатью.
Бланки удостоверений, журнал учёта удостоверений и журнал учёта выдачи и возврата удостоверений должны храниться в сейфе, несгораемом шкафу, металлическом ящике или в ином недоступном для общего пользования месте.
30. Работник кадровой службы главного статистического управления области (города Минска), уполномоченный работник выдают удостоверения специалистам, проводящим обследование, под роспись в журнале учёта выдачи и возврата удостоверений с разъяснением правил пользования этим удостоверением.
31. Специалист, проводящий обследование, обязан:
- обеспечить сохранность выданного ему удостоверения, не допускать передачу его другим лицам, иное использование не по назначению;
- предъявлять респонденту удостоверение перед началом опроса;
- сдать удостоверение (кроме случаев его утраты либо хищения) по месту его выдачи по истечении срока его действия, а также в случае расторжения с ним гражданско-правового договора.
32. Удостоверение является недействительным в случае:
- несоответствия его требованиям, предусмотренным в пункте 26 настоящей Инструкции, либо наличия следов исправлений;
- истечения срока его действия;
- расторжения со специалистом, проводящим обследование гражданско-правового договора;
- утраты либо хищения удостоверения.
33. Удостоверение подлежит замене в случае:
- установления неточностей в имеющихся в нем записях;
- непригодности его для дальнейшего использования (повреждения);
- изменения фамилии, собственного имени, отчества специалиста, проводящего обследование.
34. В случае утраты, хищения либо повреждения удостоверения специалист, проводящий обследование, представляет объяснительную записку с указанием обстоятельств, при которых удостоверение было утеряно, похищено или повреждено.
На основании объяснительной записки начальник главного статистического управления области (города Минска) принимает решение о необходимости расторжения со специалистом, проводящим обследование, гражданско-правового договора, а также о повторной выдаче удостоверения в случае его утраты, хищения либо замене удостоверения в случае его повреждения.
35. Специалист, проводящий обследование, по окончании проведения обследования, а также в случае расторжения с ним гражданско-правового договора, сдает свое удостоверения в кадровую службу главного статистического управления области (города Минска), уполномоченному работнику. Работник, ответственный за выдачу и учёт удостоверений, уполномоченный работник отмечает в журнале учёта выдачи и возврата удостоверений дату возврата удостоверения. Уполномоченный работник передает возвращенные удостоверения в кадровую службу главного статистического управления области.
36. Испорченные либо использованные бланки удостоверений, журнал учёта удостоверений и журнал учёта выдачи и возврата удостоверений подлежат хранению в пределах установленных законодательством сроков хранения и по истечении сроков хранения подлежат уничтожению.
Контроль за учётом и уничтожением указанных документов осуществляется начальником главного статистического управления области (города Минска) либо уполномоченным им должностным лицом.
Примечание. Терминология, применяемая в настоящей Инструкции, используется только органами государственной статистики при организации и проведении обследования.
Приложение 1
к Инструкции по организации и проведению выборочного обследования домашних хозяйств в целях изучения проблем занятости населения
ФормаКАРТОЧКА на помещение
Обследуемая неделя с _ по _ 20_ г.
Область Район_ Сельский (поселковый) исполнительный комитет_
Населенный пункт_
(город, село, поселок городского типа, деревня и тому подобное)
Адрес:_ Номер телефона (проспект, улица, переулок, номер дома, квартиры) 1_
2Территория по СОАТО Код местности:
1 – город или поселок городского типа,
2 – сельский населенный пунктКод участка Код
карточкиЧисло
домашних хозяйств в помещенииЕсли у Вас возникли какие-либо проблемы по опросу домашнего хозяйства, опишите их, пожалуйста: 1 2 3 4 5 Дата окончания опроса: Номер домашнего хозяйства в пределах помещения Порядковый номер респондента в пределах домашнего хозяйства Собственное имя, отчество (если таковое имеется) Число,
месяц, год рожденияПол Семейное положение
(для лиц в возрасте 15 лет и старше)Родственные или другие отношения с лицом,
записанным первым
в домашнем хозяйствеИнформация об
участии в
обследовании1 − муж.
2 − жен.1 – никогда не состоял(а) в браке
2 – состою в браке
3 – состою в незарегистрированных отношениях
4 – вдовец, вдова
5 – разведен(а)
6 – разошелся(лась)1 – лицо, записанное первым в домашнем хозяйстве
2 – жена, муж
3 – дочь, сын, падчерица, пасынок
4 – мать, отец
5 – сестра, брат
6 – свекровь, свекор, теща, тесть
7 – невестка, зять
8 – бабка, дед
9 – внучка, внук
10 – другая степень родства, свойства
11 – не родственник1 – фактически опрошен
2 – подлежит опросу, но отсутствовал на момент обследования (некому дать информацию)
3 – подлежит опросу, но отказался от ответа
4 – не подлежит опросу в связи с длительным отсутствием (1 год и более)
5 – не подлежит опросу по возрасту
6 – не опрошен по иным причинампроставить код 1 2 3 4 5 6 7 8 Приложение 2
к Инструкции по организации и проведению выборочного обследования домашних хозяйств в целях изучения проблем занятости населения
Форма
БЛАНК удостоверения
Лицевая сторона

Оборотная сторона

Приложение 3
к Инструкции по организации и проведению выборочного обследования домашних хозяйств в целях изучения проблем занятости населения
Описание удостоверения
Удостоверение специалиста, проводящего обследование, представляет собой карточку размером 115 х 85 мм.
На лицевой стороне удостоверения размещаются:
изображение эмблемы Национального статистического комитета Республики Беларусь;
надпись «Национальный статистический комитет Республики Беларусь»;
надпись «Главное статистическое управление »;
надпись «УДОСТОВЕРЕНИЕ № »;
фамилия, собственное имя, отчество (если таковое имеется) лица, которому выдается удостоверение, название обследования;
цветная фотография лица, которому выдается удостоверение, размером 30 х 40 мм;
подпись, инициалы и фамилия начальника главного статистического управления области (города Минска);
срок действия удостоверения;
оттиск печати главного статистического управления области (города Минска), который накладывается на левый нижний угол фотографии.
На оборотной стороне удостоверения размещается надпись
«Обследование проводится в соответствии с _
(вид, дата принятия, регистрационный номер, название нормативного правового акта)».Приложение 4
к Инструкции по организации и проведению выборочного обследования домашних хозяйств в целях изучения проблем занятости населения
Форма
Главное статистическое управление _
(область (город Минск))ЖУРНАЛ учёта удостоверений
Начат _
(дата начала ведения журнала)Окончен _
(дата окончания ведения журнала)Ответственный
за ведение журнала _ _
(фамилия, собственное имя, отчество (если таковое имеется)) (должность)№
п/пНомер удостоверения
Фамилия, собственное
имя, отчество (если таковое имеется) специалиста, проводящего обследование, которому выдается удостоверениеДата выдачи удостоверения уполномоченному работнику Срок действия удостоверения
(с
по _ г.)
Подпись работника кадровой службы Дата возврата удостоверения Подпись работника кадровой службы 1 2 3 4 5 6 7 8 Приложение 5
к Инструкции по организации и проведению выборочного обследования домашних хозяйств в целях изучения проблем занятости населения
Форма
Главное статистическое управление _
(область (город Минск))_
(наименование структурного подразделения территориального органа государственной статистики)ЖУРНАЛ учёта выдачи и возврата удостоверений
Начат
(дата начала ведения журнала)
Окончен
(дата окончания ведения журнала)
Ответственный
за ведение журнала
(фамилия, собственное имя, отчество (если таковое имеется)) (должность)№
п/пНомер удостоверения
Фамилия, собственное имя, отчество (если таковое имеется) специалиста, проводящего обследование, которому выдается удостоверение Дата выдачи удостоверения Срок действия удостоверения(с
по _ г.)
Подпись специалиста, проводящего обследование, которому выдается удостоверение Срок продления удостоверения
(по _ г.)
Дата возврата удостоверения Подпись работника кадровой службы, уполномочен-ного работника Примечание 1 2 3 4 5 6 7 8 9 10