Основные методологические и организационные положения по проведению выборочного обследования рабочей силы
- Содержание
- I. ЦЕЛИ И ЗАДАЧИ ОБСЛЕДОВАНИЯ
- II. ОСНОВНЫЕ МЕТОДОЛОГИЧЕСКИЕ ПОЛОЖЕНИЯ ПРОВЕДЕНИЯ ОБСЛЕДОВАНИЯ
- 2.1. Порядок и сроки проведения опросов населения
- 2.2. Единицы наблюдения
- 2.3. Применение выборочного метода
- 2.4. Взвешивание и распространение данных
- 2.5. Оценка статистических характеристик и ее точность
- 2.6. Первичные статистические данные, собираемые от респондентов
- 2.7. Понятия и определения, используемые при опубликовании итогов обследования
- III. ОСНОВНЫЕ ОРГАНИЗАЦИОННЫЕ ПОЛОЖЕНИЯ ПРОВЕДЕНИЯ ОБСЛЕДОВАНИЯ
- 3.1. Распределение функций по уровням управления и организации работ
- 3.2. Основные этапы подготовки и проведения обследования
- IV. ВЫПОЛНЯЕМЫЕ ФУНКЦИИ ПРИВЛЕКАЕМЫХ ЛИЦ И РАСЧЕТ СУММЫ ИХ ВОЗНАГРАЖДЕНИЯ
- V. МАТЕРИАЛЬНО-ТЕХНИЧЕСКОЕ И ФИНАНСОВОЕ ОБЕСПЕЧЕНИЕ ОБСЛЕДОВАНИЯ
- Приложение № 1
I. ЦЕЛИ И ЗАДАЧИ ОБСЛЕДОВАНИЯ
Выборочное обследование рабочей силы проводится во исполнение позиции 1.30.10 Федерального плана статистических работ, утвержденного распоряжением Правительства Российской Федерации от 6 мая 2008 г. № 671-р.
Выборочное обследование рабочей силы (далее – обследование) организуется во всех субъектах Российской Федерации с целью формирования официальной статистической информации о численности и составе рабочей силы, занятых и безработных, лиц, не входящих в состав рабочей силы; об участии населения в различных формах трудовой деятельности, о недоиспользовании рабочей силы.
Задачей проведения обследования является измерение численности лиц по статусу участия в составе рабочей силы, по участию в различных формах трудовой деятельности, измерение размеров недоиспользования рабочей силы в соответствии с критериями и определениями, предложенными Международной организацией труда (МОТ).
На основании данных обследования формируется официальная статистическая информация о качественном составе рабочей силы, занятых, безработных, лицах, не входящих в состав рабочей силы, об участии населения в различных формах трудовой деятельности, о недоиспользовании рабочей силы в обследуемом возрасте в динамике по России и субъектам Российской Федерации.
Наличие взаимосвязанной информации о качестве и продолжительности участия населения в различных формах трудовой деятельности дает возможность использовать результаты обследования для оценки совокупных затрат труда на всех видах работ.
Основные методологические и организационные положения по проведению выборочного обследования рабочей силы являются официальной статистической методологией, применяемой при формировании официальной статистической информации на основе выборочного обследования рабочей силы.
II. ОСНОВНЫЕ МЕТОДОЛОГИЧЕСКИЕ ПОЛОЖЕНИЯ ПРОВЕДЕНИЯ ОБСЛЕДОВАНИЯ
2.1. Порядок и сроки проведения опросов населения
Обследование проводится ежемесячно по состоянию на критическую (обследуемую) неделю. Критическая (обследуемая) неделя длится с понедельника по воскресенье.
Даты проведения обследования ежегодно определяет Росстат и доводит до территориальных органов Росстата в инструктивном письме.
В соответствии с методологией организации обследования для проведения обследования формируются независимые месячные выборки. Выборочная совокупность формируется на федеральном уровне по каждому субъекту Российской Федерации отдельно по городскому и сельскому населению; отдельно по каждому месяцу. Результаты формирования выборочных совокупностей (счетных участков) и домашних хозяйств направляются Росстатом в территориальные органы Росстата.
Адреса домашних хозяйств, в которых проводится обследование, определяются на региональном уровне. Для этих целей используется автоматизированная система для подготовки, проведения, обработки материалов и получения итогов Всероссийской переписи населения 2010 года (АС ВПН-2010). Данная система позволяет установить адресную часть на основе реквизитов отобранного счетного участка и наименования населенного пункта (т.е. его кода и номеров переписного участка, инструкторского участка и счетного участка), а также информации о номере жилого помещения и порядковом номере домохозяйства в пределах помещения.
Обследование осуществляется путем опроса членов домашних хозяйств (респондентов) и записи ответов на вопросы в соответствии с утвержденной приказом Росстата формой федерального статистического наблюдения № 1-З «Анкета выборочного обследования рабочей силы» (далее – Анкета).
Сбор первичных статистических данных осуществляется интервьюерами – физическими лицами, привлекаемыми для выполнения таких работ на контрактной основе в соответствии с Федеральным законом от 5 апреля 2013 г. № 44-ФЗ «О контрактной системе в сфере закупок товаров, работ, услуг для обеспечения государственных и муниципальных нужд» и иными нормативно-правовыми актами Российской Федерации.
2.2. Единицы наблюдения
Единицами отбора являются частные домашние хозяйства (далее – домохозяйства); единицами наблюдения – лица, в возрасте от 15 лет и старше1, являющиеся членами этих домохозяйств.
Частное домохозяйство* – это группа лиц, проживающих в жилом доме или квартире, комнате либо части жилого дома или квартиры, совместно обеспечивающих себя необходимыми средствами к существованию и объединяющих полностью или частично свои доходы, либо лицо, проживающее в жилом доме, квартире, комнате либо их частях и самостоятельно обеспечивающее себя необходимыми средствами к существованию.
Лицо, снимающее жилое помещение у отдельных граждан, в состав домохозяйства владельца жилого помещения не входит и считается отдельными домохозяйством.
Лица, нанятые для работы по дому (домашняя прислуга) и проживающие в помещении своего работодателя, в составе домохозяйства своего работодателя не учитываются (независимо от того, что они за свой труд получают питание и проживание), а рассматриваются как отдельные домохозяйства.
В составе домашнего хозяйства могут быть учтены лица, не имеющие родственных связей с членами домашнего хозяйства, но проживающие в данном помещении и ведущие одно хозяйство (пожилые или другие лица, находящиеся на попечении домохозяйства).
Не обследуются коллективные домашние хозяйства - группа лиц, постоянно проживающих в учреждениях социального и медицинского назначения, казармах, местах лишения свободы, религиозных организациях (монастырях, семинариях) и т.п.; домохозяйства бездомных.
В детских домах семейного типа обследуются воспитатели детского дома и члены их семьи. Дети, воспитывающиеся в детском доме семейного типа, считаются коллективным домашним хозяйством и опросу не подлежат.
При проведении обследования в каждом домашнем хозяйстве учитываются лица, постоянно (обычно) проживающие по данному адресу.
Местом постоянного (обычного) жительства лица является то место, в котором человек проводит ежесуточно большую часть своего ночного отдыха. Это место может совпадать или не совпадать с адресом, по которому человек зарегистрирован (прописан).
Если лицо имеет более одного адреса проживания, его следует учитывать по тому адресу, который оно рассматривает как свой основной адрес.
Учитываются по месту обычного жительства в Российской Федерации следующие категории лиц:
- лица, постоянно проживающие в данном помещении и временно выехавшие за рубеж в командировку, на работу по контрактам с российскими или иностранными фирмами или на учебу на срок до 1 года;
- лица, постоянно проживающие в данном помещении и временно выехавшие за рубеж на лечение, отдых, в гости к родственникам и знакомым, независимо от срока;
- российские и иностранные граждане и лица без гражданства, прибывшие в Россию из-за рубежа (включая государства – участники Содружества Независимых Государств) на постоянное жительство или ищущие убежище, включая и тех из них, кто не успел оформить регистрационные документы;
- иностранные граждане (т.е. лица, имеющие гражданство только иностранного государства) и лица без гражданства, постоянно проживающие в Российской Федерации;
- российские и иностранные граждане и лица без гражданства, прибывшие в Российскую Федерацию из-за рубежа на учебу или работу на срок 1 год и более (независимо от того, сколько времени они пробыли в стране и сколько им осталось находиться в России);
- постоянно проживающие в России моряки российских рыболовных и торговых судов, находящиеся на период проведения опроса в плавании;
- лица, постоянно проживающие в России и временно выехавшие на заработки в другие населенные пункты на территории Российской Федерации;
- лица, проходящие военную службу по призыву или призванные на военно-учебный сбор;
- лица, проходящие заменяющую военную службу альтернативную гражданскую службу;
- лица, проходящие военную службу по контракту и проживающие на открытой территории;
- лица, находящиеся в местах предварительного заключения, арестованные в административном порядке, задержанные по подозрению в совершении преступления, находящиеся под следствием, а также лица, в отношении которых приговор не вступил в силу.
Взрослых детей в семье, в возрасте от 16 лет и старше, которые в связи с работой или учебой проживают вне дома и прибывают домой только во время каникул или отпуска, не следует учитывать по адресу родителей.
Дети, проживающие в школах-интернатах, а также дети моложе 16 лет, проживающие вне дома в связи с временной учебой, учитываются по адресу родителей. Также по адресу родителей следует учитывать детей, проживающих по другому адресу у бабушек и дедушек (кроме тех случаев, когда бабушка или дедушка являются их опекунами).
При проведении обследования не подлежат учету:
- российские граждане, выехавшие за рубеж на работу по контрактам с российскими или иностранными фирмами или учебу на срок 1 год и более (независимо от того, когда они выехали и сколько им осталось находиться за рубежом);
- российские граждане, находящиеся за рубежом в связи с длительной служебной командировкой или выполнением служебных обязанностей по линии органов государственной власти Российской Федерации со сроком 1 год и более (включая находящихся вместе с ними членов их семей);
- лица, временно (до 1 года) находящиеся на территории Российской Федерации, место постоянного жительства которых находится за рубежом.
Не включаются в число лиц, постоянно (обычно) проживающих по данному адресу, лица находящиеся в местах предварительного заключения, в отношении которых приговор вступил в силу, а также лица, отбывающие наказание в местах лишения свободы.
При подведении итогов по субъектам Российской Федерации население учитывается по месту проживания.
2.3. Применение выборочного метода
2.3.1. В качестве основы выборки при создании выборочной сети домашних хозяйств для проведения обследования рабочей силы используется базовый массив территориальной выборки многоцелевого назначения (ТВМН), построенный на базе данных (БД) первичного информационного фонда, сформированного на основе БД Всероссийской переписи населения 2010 г. (ПИФ ВПН-2010).
В состав первичного информационного фонда включается постоянное население (т.е. население частных домашних хозяйств, постоянно проживающее на территории соответствующего района, города, населенного пункта и т.п.).
Первичный информационный фонд по каждому субъекту Российской Федерации содержит всю необходимую информацию о реквизитах переписных единиц (переписных участков, инструкторских участков, счетных участков), на которые разбиты административно-территориальные единицы субъекта Российской Федерации, и о структурном составе населения.
Построение выборочных массивов осуществляется на 2 года, при этом используется ротационная схема с полным замещением первичных выборочных единиц (счетных участков). Таким образом, все месячные выборки на протяжении 2-х лет являются независимыми. Повторное использование счетных участков осуществляется с периодичностью 1 раз в 2 года. В соответствии с принятой ротационной схемой ежегодно обновляется от 15 до 30 % счетных участков. Актуализация счетных участков проводится постоянно с учетом административных, структурных и временных изменений, происходящих в исходных совокупностях с течением времени.
2.3.2. Построение выборочной сети домашних хозяйств для проведения обследования рабочей силы осуществляется в соответствии с принятой моделью многофазной выборки2, в рамках которой на последней фазе реализуется модуль двухступенчатого отбора.
На первой ступени формируется выборочный массив первичных выборочных единиц. В качестве первичной выборочной единицы принят счетный участок. Основой выборки для построения выборочного массива на первой ступени является совокупность счетных участков, входящих в состав ТВМН, созданной на основе БД ВПН-2010.
При формировании выборочного массива первичных выборочных единиц реализована процедура стратификации совокупности административно-территориальных единиц с учетом их географического расположения. Для установления географической близости административно-территориальных единиц в рамках субъектов Российской Федерации применялся принцип серпантинного расположения территориальных единиц с севера на юг в направлении запад-восток.
Основное назначение данной процедуры – это выделение территориальных сегментов, объединяющих ряд смежных административных районов с целью получения в выборке адекватного территориального представительства субъекта Российской Федерации и обеспечения сопоставимости результатов обследования в разные периоды обследования.
Отбор счетных участков ВПН-2010 для обследования осуществляется в рамках образованных на территории субъектов Российской Федерации территориальных сегментов, отдельно по городскому и сельскому населению.
На второй ступени в отобранных на первой ступени счетных участках отбираются домашние хозяйства, где сбор информации проводится по лицам в обследуемом возрасте. Для формирования выборки домашних хозяйств применяется стандартная процедура систематического случайного отбора. Систематический отбор домохозяйств проводится из упорядоченного списка домохозяйств по признаку – размер домохозяйства.
Домашние хозяйства, отобранные на второй ступени процедуры выборки, подлежат опросу и включаются в список, выдаваемый интервьюеру. Список содержит основные и резервные адреса домашних хозяйств. В целях сохранения представительности выборки эти домашние хозяйства не могут быть произвольно заменены другими.
Дополнительный массив единиц, включенных в выборку, составляют лица, вселившиеся в течение года в новые жилые помещения. Формирование его осуществляется на основе ежегодной актуализации основы выборки.
2.3.3. Месячный объем выборочной совокупности составляет в целом по стране около 32 тыс. домашних хозяйств или около 77 тысяч человек в возрасте от 15 лет и старше, что соответствует 0,06% численности населения обследуемого возраста. Годовой объем выборки при проведении месячных обследований составляет 924 тыс. человек (около 390 тыс. домашних хозяйств), что соответствует 0,76% численности населения этого возраста.
По субъектам Российской Федерации применяется разная доля отбора в зависимости от величины показателя «уровень безработицы» и его заданной степени точности (по показателю относительная стандартная ошибка выборки):
- в целом по России – не более 1,0 %;
- по большинству субъектов Российской Федерации – в пределах 4–6 %.
В ряде небольших субъектов Российской Федерации с невысоким уровнем безработицы допустимая стандартная ошибка выборки принимается равной 7-10%.
Получение сводных итогов в пределах заданной степени точности в целом по Российской Федерации по основным разрезам разработки обеспечивается месячным объёмом выборки, по субъектам Российской Федерации – совокупностью трех последовательных месячных выборок.
Эксплуатация сформированной и постоянно актуализируемой выборочной совокупности счетных участков и домашних хозяйств осуществляется до построения нового информационного массива на базе данных очередной Всероссийской переписи населения.
2.4. Взвешивание и распространение данных
Взвешивание и распространение данных производится на уровне субъекта Российской Федерации. Методология взвешивания и распространения выборочных данных обследования основана на присвоении соответствующего индивидуального (базового) веса каждой отдельной единице наблюдения.
Базовый вес выборки (Vm) вычисляется в соответствии с реализованной моделью выборки и представляет обратную величину общей (безусловной) вероятности включения конечной единицы отбора (домашнего хозяйства – m) в выборочный массив. Значение базового веса присваивается каждому члену домашнего хозяйства, подлежащему опросу. При этом все составляющие общей вероятности включения объектов и единиц наблюдения в базовый массив территориальной выборки многоцелевого назначения (ТВМН), равно как и в другие выборочные подмассивы (в том числе и обследования рабочей силы) определятся в рамках Подсистемы формирования выборочных совокупностей (ПФВС) автоматизированной системы ВПН-2010.
Для коррекции базового веса применяется метод итеративного взвешивания с использованием в качестве данных информации текущих расчетов численности населения на начало соответствующего года по половозрастному составу, отдельно по городскому и сельскому населению. Практически при взвешивании выборочной совокупности лиц, обследованных в текущем году, используются демографические данные на начало предыдущего года.
В общем виде для расчета корректирующего коэффициента по каждому члену домашнего хозяйства на уровне субъекта Российской Федерации используется следующая формула:
(1)где:
Kiyk – корректирующий коэффициент;
i – градация переменной «пол»;
y – градация переменной «вид поселения»;
k – градация переменной «возрастная группа»;
M'iyk – численность населения i- го пола, y-го вида поселения, k-ой возрастной группы в субъекте Российской Федерации;
M'iyk – суммарная оценка численности обследованных лиц i- го пола, y-го вида поселения, k-ой возрастной группы по субъекту Российской Федерации, рассчитанная как сумма базовых весов по каждому члену домашнего хозяйства подлежащему опросу.После завершения процедуры расчета корректирующих коэффициентов вычисляются откорректированные веса (V'm' ), как произведение базового веса (Vm) на значение корректирующего коэффициента (Kiyk).
Откорректированные веса вводятся в базу индивидуальных данных и используются при формировании распространенных данных на всю численность населения по любым показателям программы разработки итогов обследования.
Введенные в базу данных индивидуальные веса, рассчитанные в субъектах Российской Федерации для каждого респондента, используются при формировании агрегированного массива по России в целом.
2.5. Оценка статистических характеристик и ее точность
Оценка статистических характеристик по показателям обследования производится на основе микроданных и индивидуальных весовых коэффициентов, с использованием вспомогательной информации, т.е. данных текущей статистики населения по половозрастному составу и типу поселения.
При этом вычисляются следующие показатели: среднее значение признака, суммарное значение признака, абсолютное и относительное значение признака.
При оценке статистических характеристик по результатам месячного опроса применяются следующие формулы.
Оценка общего количества единиц анализа:

(1)где:
l – число страт или образованных слоев;
m'iy – количество j-лиц в выборке, принадлежащих i-страте и обладающих определенным признаком;V'ij – индивидуальный месячный вес j-лица, принадлежащего i-страте (i = 1, 2, 3, ... , l).
Оценка доли единиц с определенным признаком:

(2)где:
Pi – доля единиц, обладающих определенным признаком в i-страте;
M' – численность постоянного населения в возрасте 15 лет и старше по территории, по которой производится оценивание статистических характеристик.
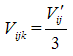
Для получения усредненных оценок статистических характеристик за квартал суммирование по i-й страте осуществляется с учетом данных объединенного выборочного массива трех последовательных месячных опросов и используются формулы, описанные для расчета месячных оценок, с применением индивидуального квартального веса для каждого лица, попавшего в выборку:
(3)V'iyk – индивидуальный квартальный вес j-лица, принадлежащего i-страте.
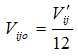
Для получения усредненных оценок статистических характеристик за год суммирование по i-й страте осуществляется с учетом данных объединенного выборочного массива двенадцати месячных опросов и используются формулы, описанные для расчета месячных оценок с применением индивидуального годового веса для каждого лица, попавшего в выборку:
(4)Viyo – индивидуальный годовой вес j-лица, принадлежащего i-страте.
В качестве показателей точности оценивания статистических характеристик (показателей) по результатам обследований, т.е. количественной меры отклонения оценки от действительного значения параметра, используются показатели, в основе которых лежит стандартная ошибка выборки (стандартное отклонение):
- стандартная ошибка выборки –
, которая показывает величину среднего значения отклонения оценки от параметра; - относительная стандартная ошибка выборки (коэффициент вариации) –
, которая показывает в процентах величину возможного отклонения оценки от параметра; - доверительный интервал – диапазон, в котором находится истинное значение параметра при заданном уровне доверительной вероятности.
Показатели точности оценивания статистических характеристик приводятся при публикации итогов выборочного обследования.
2.6. Первичные статистические данные, собираемые от респондентов
Анкета выборочного обследования рабочей силы содержит следующие первичные статистические данные, по которым собирается информация:
- сведения о респондентах: пол; возраст; семейное положение; гражданство; уровень образования; год и месяц окончания обучения в образовательной организации высшего образования или профессиональной образовательной организации; профессия или специальность согласно выданному диплому; прохождение обучения в настоящее время; форма обучения, работа в качестве стажёра или ученика на производстве и наличие вознаграждения за эту работу; наличие группы инвалидности;
- сведения о домохозяйствах: общее число членов домохозяйства; тип домашнего хозяйства; статус лица в семье; тип семьи; количество детей, проживающих вместе с родителями;
- наличие оплачиваемой работы или доходного занятия: занятость в обследуемую неделю, включая наличие работы, которая временно не выполнялась;
- признаки, характеризующие основную работу респондента: стаж работы; вид основной работы; классификация по статусу занятых; наличие регистрации предпринимательской деятельности; вид договора; количество привлекаемых наемных работников работодателями; нормальная и фактическая продолжительность рабочей недели; причины работы меньше нормальной продолжительности рабочей недели или временного отсутствия; вид экономической деятельности; занятие (профессия, должность); связь работы с полученным образованием; прохождение повышения квалификации и (или) профессиональной подготовки; наличие документа по итогам прохождения повышения квалификации и (или) профессиональной подготовки; место основной работы (на дому, в доме заказчика, работодателя и др.); региональное месторасположение основной работы;
- сведения о второй работе: наличие дополнительной работы; вид дополнительной работы; количество фактически отработанного времени на дополнительных работах; классификация по статусу занятых; наличие регистрации предпринимательской деятельности; наличие наемных работников; вид договора; вид экономической деятельности; занятие (профессия, должность); поиск и (или) готовность к дополнительной занятости; причины поиска другой работы; способы поиска дополнительной работы;
- поиск работы: поиск работы лицами, не занятыми в обследуемую неделю; готовность приступить к работе; способы поиска работы; продолжительность поиска работы; характер работы, к которой незанятый готов приступить; регистрация в службе занятости в качестве безработного; получение пособия по безработице;
- прошлая деятельность лиц, не занятых в обследуемую неделю: наличие когда-либо ранее работы у незанятых; продолжительность периода незанятости; причины, по которым незанятые оставили последнее место работы; стаж работы на последнем месте работы; вид работы по последнему месту работы; вид деятельности и занятие (профессия, должность) по последнему месту работы;
- сведения о лицах, не входящих в состав рабочей силы: социальный статус; причины отказа от поиска работы; причины неготовности приступить к работе;
- производство товаров в домашнем хозяйстве и оказание частных услуг: производство продукции сельского хозяйства; рыболовство, собирательство, охота; заготовка дров или других видов топлива; производство товаров в домашнем хозяйстве; строительство и ремонт собственного жилья, построек;
- оказание услуг для других лиц за плату;
- волонтёрская деятельность: наличие добровольной неоплачиваемой деятельности; вид добровольной неоплачиваемой деятельности; время, затраченное на ее выполнение; наличие работы посредством или в интересах организаций; тип организации, в интересах которой выполнялся добровольный труд; вид экономической деятельности организации, в интересах которой выполнялся добровольный труд.
2.7. Понятия и определения, используемые при опубликовании итогов обследования
При опубликовании итогов обследования используются определения, разработанные Федеральной службой государственной статистики с учетом рабочих концепций, определений, рекомендаций 19-ой Международной конференции статистиков труда (октябрь 2013 г., г. Женева), приведенных в Резолюции I «Резолюция о статистике трудовой деятельности, занятости и недоиспользования рабочей силы».
2.7.1. В зависимости от статуса участия в составе рабочей силы, исходя из короткого учетного периода (обследуемой недели), лица классифицируются как:
- занятые;
- безработные;
- лица, не входящие в состав рабочей силы, в том числе лица, относящиеся к потенциальной рабочей силе.
Занятые и безработные в сумме составляют рабочую силу*.
Все три категории статуса рабочей силы являются взаимоисключающими и исчерпывающими: занятость имеет приоритет по отношению к двум другим категориям, а безработица имеет приоритет по отношению к лицам, не входящим в состав рабочей силы.
Занятые* – лица в возрасте 15 лет и старше, которые в обследуемую неделю выполняли любую деятельность, связанную с производством товаров или оказанием услуг за оплату или прибыль. В численность занятых включаются также лица, временно отсутствовавшие на рабочем месте в течение короткого промежутка времени и сохранившие связь с рабочим местом во время отсутствия.
В категорию занятые лица включаются:
- занятые лица, находящиеся на работе, т.е. те, кто проработал не менее одного часа в течение недели на рабочем месте;
- занятые лица, находящиеся «не на работе» по причине временного отсутствия на рабочем месте или организации рабочего времени (например, из-за сменной работы, гибкого рабочего графика и отгулов за сверхурочную работу).
Понятие «за оплату или прибыль»* относится к трудовой деятельности, выполняемой в обмен на вознаграждение, выплачиваемое в форме заработной платы за отработанное время или выполненную работу или в форме прибыли, полученной от товаров и услуг, произведённых в рамках рыночных операций. Указанное вознаграждение может выплачиваться непосредственно лицу, выполняющему работу, или опосредованно члену домашнего хозяйства или семьи.
Занятые лица, временно отсутствующие в течение короткого учетного периода*, – это лица, которые уже работали на своей текущей работе, однако находились «не на работе» в течение короткого промежутка времени, при этом сохраняя связь с рабочим местом во время отсутствия.
К занятым, в частности, относятся:
- лица, работающие за оплату или прибыль при прохождении ими курсов профессионально-технической подготовки или повышения квалификации, требуемых на данном рабочем месте или на другом рабочем месте в той же экономической единице;
- ученики на производстве, стажеры или участники программ профессионально-технической подготовки, работающие за оплату в денежной или натуральной форме;
- участники программ содействия трудоустройству посредством служб занятости, работающие за оплату или прибыль;
- лица, работающие в собственных экономических единицах (домохозяйствах) по производству товаров, предназначенных преимущественно для продажи или обмена по бартеру, даже если часть продукции потребляется домашним хозяйством или семьей;
- лица, занятые сезонными работами в период межсезонья, если они продолжают выполнять часть задач и обязанностей по своей работе, однако исключая выполнение юридических или административных обязательств (например, уплату налогов) независимо от получения вознаграждения;
- кадровые военнослужащие и лица, проходящие военную или альтернативную гражданскую службу, которые выполняют эту работу за оплату в денежной или натуральной форме;
- лица, отсутствующие на работе в связи с отпуском по уходу за ребенком до 1,5 лет.
В число занятых не включаются:
- ученики на производстве, стажеры и участники программ профессионально-технической подготовки, работающие без оплаты в денежной или натуральной форме;
- участники программ профессионально-технической подготовки и переподготовки в рамках программ содействия занятости в то время, когда они не участвуют в производственном процессе в экономической единице;
- лица, занятые на сезонных работах в период межсезонья, если они прекращают выполнять задачи и обязанности по своей работе;
- помогающие члены семьи, участвующие в деятельности семейного предприятия, но в рассматриваемый период не выполнявшие на предприятии никакой работы;
- лица, отсутствующие на работе в связи с отпуском по уходу за ребенком от 1,5 до 3-х лет;
- лица, длительно отсутствующие на работе в связи с отпуском без сохранения заработной платы, если период отсутствия на работе составлял 6 месяцев и более;
- лица, уволенные на неопределенный срок без гарантии возвращения на работу в той же экономической единице.
Не считается оплачиваемой работой или доходным занятием:
- учеба в военной академии, аспирантуре, докторантуре очной формы обучения;
- работа по производству (переработке) в домашнем хозяйстве продукции сельского, лесного хозяйства, охоты, рыболовства, предназначенной для собственного конечного использования;
- работа в собственном домашнем хозяйстве по уборке дома, приготовлению пищи для членов домашнего хозяйства, воспитанию детей, уходу за пожилыми или больными членами домашнего хозяйства, оказанию других услуг;
- волонтёрская деятельность (услуги, оказываемые добровольно без оплаты для различных лиц или благотворительных организаций, родительских комитетов, комитетов ветеранов, больниц, детских домов или домов престарелых и др.);
- получение не связанных с трудовой деятельностью социальных выплат в денежной или натуральной форме;
- владение акциями какого-либо предприятия или общества без непосредственного участия данного лица в экономической деятельности этой организации;
- попрошайничество (даже если оно приносит доход).
Статус в занятости
Объектом при классификации статуса в занятости является работа, выполняемая лицами в рассматриваемый период времени. Работы классифицируются с учетом явного или подразумеваемого трудового договора лица с другими лицами или организациями.
Основными критериями при определении групп служат характер экономического риска, элементом которого является прочность связей лица с его работой, характер власти над предприятием и другими работниками, которую лица имеют или будут иметь.
Предусматривается следующая группировка занятых по статусу:
- работающие по найму;
- работающие не по найму;
из них:
- работодатели;
- самостоятельно занятые;
- члены производственных кооперативов;
- помогающие члены семьи.
Группы определены исходя из различия между «работой по найму» и «работой на собственном предприятии» с учетом одного или нескольких аспектов экономического риска или характера власти, которую явный или подразумеваемый трудовой договор дает лицам, или которой договор обязывает подчиняться.
Работающие по найму или наемные работники* – это лица, которые выполняют работу, определенную как «работа по найму». Работа по найму – это работа, при которой лицо заключает явный (письменный или устный) или подразумеваемый трудовой договор, гарантирующий ему базовое вознаграждение (деньгами или натурой), которое прямо не зависит от дохода единицы, где лицо работает. Основные фонды, некоторые или все инструменты, помещение, которые использует лицо в процессе труда, могут принадлежать другим лицам. Деятельность работника может осуществляться под непосредственным контролем владельца или лиц, определенных владельцем и работающих у него по найму.
Избранные, назначенные или утвержденные на оплачиваемую должность лица, включая руководителей, управляющих деятельностью организации от лица владельца, служителей религиозных культов, считаются наемными работниками.
К наемным работникам также относятся лица, проходящие службу в Вооруженных Силах, внутренних и железнодорожных войсках, органах государственной безопасности и внутренних дел, проходящих заменяющую военную службу альтернативную гражданскую службу.
Работающие не по найму* – это лица, которые выполняют работу, определенную как «работа на собственном предприятии, в собственном деле». Это работа, при которой вознаграждение непосредственно зависит от дохода, получаемого от производства товаров и оказания услуг. Лицо принимает производственные решения, относящиеся к деятельности предприятия (собственному делу), или делегирует эти полномочия, оставляя за собой ответственность за благополучие предприятия (собственного дела). Эта группа объединяет работодателей, самостоятельно занятых лиц, членов производственных кооперативов, помогающих на семейном предприятии.
Работодатели* – это лица, которые работают самостоятельно или с одним или несколькими деловыми партнерами на собственном предприятии (в собственном деле) и в этом качестве нанимают на постоянной основе для работы на своем предприятии наемных работников. Все деловые партнеры в этом случае являются работодателями. Партнеры могут быть или не быть членами одной семьи или одного домашнего хозяйства.
К работодателям также относятся лица, занятые коммерческой деятельностью без образования юридического лица, профессиональной деятельностью или ремеслом на индивидуальной основе и постоянно использующие труд наемных работников.
К работодателям могут быть отнесены лица, работающие в акционерном обществе, где они самостоятельно или совместно с другими членами семьи, либо с одним или несколькими работающими в этом акционерном обществе партнерами располагают решающей долей собственности, и имеющие право от имени организации заключать договоры с другими организациями, нанимать или увольнять лиц, работающих по найму в этой организации.
Самостоятельно занятые* - это лица, самостоятельно или с одним или несколькими деловыми партнерами осуществляющие деятельность, приносящую доход, и не нанимающие наемных работников на постоянной основе. Все деловые партнеры в этом случае являются лицами, самостоятельно занятыми. Партнеры могут быть или не быть членами одной семьи или одного домашнего хозяйства.
Члены производственных кооперативов* - лица, работающие на собственном предприятии – кооперативе, производящем товары или услуги, где каждый имеет равные с другими членами права при решении вопросов организации производства, инвестирования и распределения дохода между членами предприятия.
К помогающим членам семей* относятся лица, которые работают в качестве помогающих на предприятии, принадлежащем члену домашнего хозяйства или родственнику (как проживающему, так и не проживающему в одном с ними домашнем хозяйстве), и не могут рассматриваться в качестве партнеров, так как степень их участия в работе предприятия несопоставима с участием главы предприятия.
Лица, выполняющие работы по договорам гражданско-правового характера, которые они заключили с юридическим или физическим лицом, могут быть отнесены к наемным работникам, если выполняемая ими работа может быть классифицирована как «работа по найму», или к самостоятельно занятым или работодателям – если, исходя из характера и условий выполнения, работа в большей степени соответствует «работе на собственном предприятии».
Классификацию статуса в занятости можно условно применять к безработным. В данном случае критерием для классификации является характер прежней выполняемой работы, если она имелась, или характер работы, которую безработный ищет.
Основная и дополнительная работа
Для занятых лиц, имеющих в рассматриваемом периоде более одной работы (доходного занятия), определяется основная работа и дополнительная работа.
Основная работа (основное доходное занятие) или первая работа* – это работа с наибольшей продолжительностью обычно отрабатываемых часов. Другая работа, которую данное лицо имело в рассматриваемом периоде, считается дополнительной работой.
Если респондент работал по основному месту работы больше часов, чем установленная нормальная продолжительность для данного вида работ, т.е. полторы или две ставки, то в этом случае основной считается работа в пределах нормальной продолжительности для данного вида работ. Работа, выполняемая сверх нормальной продолжительности рабочего времени, т.е. дополнительная ставка, рассматривается, как вторая работа.
Если респондент наряду с основной выполнял дополнительную работу в пределах рабочего времени основной работы, и эта дополнительная работа не была связана с трудовыми функциями основного занятия, то респондент считается имеющим более одной работы, и эта дополнительная работа рассматривается как вторая работа.
К имеющим дополнительную работу* относятся те, кто на обследуемой неделе выполнял другую работу или имел другое доходное занятие (или временно отсутствовал на другой работе), кроме той, которая является основной. Под дополнительной работой следует понимать совместительство любого рода, как внутреннее, так и внешнее, случайные, разовые работы, работу на индивидуальной основе, предпринимательскую деятельность без образования юридического лица, работу по найму у физических лиц, индивидуальных предпринимателей, оказание различных услуг частным лицам, производство в домашнем хозяйстве продукции сельского, лесного хозяйства, охоты, рыболовства, предназначенной для продажи или обмена.
Занятые в неформальном секторе* – лица, которые в течение обследуемого периода были заняты, по меньшей мере, в одной из производственных единиц неформального сектора независимо от их статуса занятости и от того, являлась ли данная работа для них основной или дополнительной. В качестве критерия определения единиц неформального сектора принят критерий отсутствия государственной регистрации в качестве юридического лица.
К занятым в неформальном секторе относятся:
- индивидуальные предприниматели;
- лица, работающие по найму у индивидуальных предпринимателей и физических лиц;
- помогающие члены семьи в собственном деле, принадлежащем кому-либо из родственников;
- работающие на индивидуальной основе, без регистрации в качестве индивидуального предпринимателя;
- занятые в собственном домашнем хозяйстве по производству продукции сельского, лесного хозяйства, охоты и рыболовства, предназначенной преимущественно для продажи или обмена;
- занятые в собственном домашнем хозяйстве по производству товаров для быта и дома, предназначенных преимущественно для продажи или обмена.
При проведении обследования изучается нормальная и фактическая продолжительность рабочей недели.
Нормальной продолжительностью рабочей недели являются часы работы, установленные законодательством, правилами, коллективными договорами для данного вида работ и категорий работников. Если респондент выполнял работу на условиях внутреннего совместительства, нормальная продолжительность рабочей недели определяется только по основной должности (работе). Дополнительная ставка рассматривается как вторая работа.
Там, где не установлена нормальная продолжительность рабочей недели законами или правилами, коллективными договорами, используется понятие обычной продолжительности рабочей недели, которое характеризует, количество часов, которые респондент отрабатывает по данному виду деятельности в течение типичной недели.
Фактически отработанное время* включает: время работы в течение нормального рабочего времени; время, отработанное сверх нормальной продолжительности рабочего времени; время, проведенное на рабочем месте для его обслуживания и подготовки к работе; время простоя на рабочем месте не по вине работника; время, отведенное для коротких перерывов в работе для отдыха. В фактически отработанное время не включается оплаченное, но не отработанное время, например, ежегодный отпуск или время болезни.
В зависимости от количества отработанного времени занятые граждане распределяются на следующие группы:
- лица, работавшие больше часов по сравнению с нормальной или обычной продолжительностью рабочей недели;
- лица, работавшие меньше часов по сравнению с нормальной или обычной продолжительностью рабочей недели;
- лица, работавшие такое же часов, как и нормальная или обычная продолжительность рабочей недели;
- лица, не работавшие на обследуемой неделе.
Безработные* в соответствии с определениями МОТ – лица в возрасте 15 лет и старше, которые в рассматриваемый период удовлетворяли одновременно следующим критериям:
- не имели работы (доходного занятия);
- занимались поиском работы в течение четырех недель, предшествующих обследуемой неделе, используя при этом любые способы;
- были готовы приступить к работе в течение обследуемой недели.
При проведении обследования и измерении безработицы критерий отсутствия работы и критерий готовности приступить к работе относятся к обследуемой неделе, критерий поиска работы распространяется на четыре недели, предшествующие обследуемой неделе. Несмотря на то, что указанные критерии имеют разные временные пределы, показатель безработицы относится к обследуемой неделе.
К безработным относятся также лица, которые в рассматриваемый период не имели работы, но договорились о сроке начала работы (в течение 2 недель после обследуемой недели) и не продолжали дальнейшего ее поиска; не имели работы, были готовы приступить, но не искали работу, так как ожидали ответа от администрации или работодателя на сделанное ранее обращение. При этом период ожидания ответа не должен превышать один месяц.
Обучающиеся, пенсионеры и инвалиды учитываются в качестве безработных, если они не имели работы, занимались поиском работы и были готовы приступить к ней.
Лица, не входящие в состав рабочей силы* – это лица в возрасте 15 лет и старше, которые в течение короткого учетного периода не являлись ни занятыми, ни безработными.
Классификация занятых и безработных по последнему месту работы осуществляется в соответствии с Общероссийским классификатором видов экономической деятельности ОК 029-2014 (ОКВЭД2) и с Общероссийским классификатором занятий (ОКЗ) ОК 010-2014.
Общероссийский классификатор видов экономической деятельности ОК 029-2014 (ОКВЭД2) на уровне групп ОКВЭД2 сопоставим со Статистической классификацией видов экономической деятельности в Европейском экономическом сообществе (редакция 2) – NACE Rev.2.
Общероссийский классификатор занятий (ОКЗ) ОК 010-2014 сопоставим с Международной Стандартной Классификацией Занятий 2008 (МСКЗ-08).
Продолжительность поиска работы или продолжительность безработицы* – промежуток времени, в течение которого лицо, будучи незанятым, ищет работу, используя при этом любые способы. По данным выборочного обследования рабочей силы приводится продолжительность незавершенной безработицы – время с момента начала поиска работы до момента фиксации безработицы в обследуемую неделю.
Среднее время поиска работы* рассчитывается как средневзвешенная величина для рассматриваемого состава безработных.
Уровень безработицы* – отношение численности безработных определенной возрастной группы к численности рабочей силы (занятых и безработных) соответствующей возрастной группы, рассчитанное в процентах.
Уровень занятости населения*– отношение численности занятого населения определенной возрастной группы к общей численности населения соответствующей возрастной группы, рассчитанное в процентах.
Уровень участия в рабочей силе* – отношение численности рабочей силы (занятых и безработных) определенной возрастной группы к общей численности населения соответствующей возрастной группы, рассчитанное в процентах.
2.7.2. Наряду с классификаций населения в зависимости от статуса участия в составе рабочей силы лица классифицируются по формам трудовой деятельности.
Трудовая деятельность* означает любую деятельность, осуществляемую лицами любого пола и возраста в целях производства товаров или оказания услуг для использования другими лицами или для собственного использования. Понятие «трудовая деятельность» соответствует общей границе производственной деятельности, сформулированной в Системе национальных счетов 2008 года (СНС 2008) и её концепции экономических единиц, среди которых различаются:
- рыночные единицы (т.е. корпорации, квазикорпорации и некорпорированные рыночные предприятия домашних хозяйств);
- нерыночные единицы (т.е. государственный сектор и некоммерческие организации, обслуживающие домашние хозяйства);
- домашние хозяйства, производящие товары или услуги для собственного конечного использования.
Трудовая деятельность может осуществляться в экономических единицах любого типа.
Выделяются пять взаимоисключающих форм трудовой деятельности для самостоятельного измерения каждой из них:
- трудовая деятельность по для собственного использования означает производство товаров и услуг для собственного конечного использования;
- занятость означает трудовую деятельность, выполняемую в обмен на оплату или прибыль;
- неоплачиваемый труд стажеров или лиц, проходящих профессионально-техническую подготовку означает трудовую деятельность, выполняемую безвозмездно в интересах других лиц в целях приобретения трудового опыта или профессиональных навыков;
- трудовая деятельность волонтёров означает необязательную трудовую деятельность, выполняемую безвозмездно в интересах других лиц;
- другие виды трудовой деятельности (обследованием рабочей силы не охватываются).
Лица, занятые трудовой деятельностью по производству товаров для собственного использования*, определяются как все лица в обследуемом возрасте, которые в течение месяца, предшествующего дате обследования, осуществляли любую деятельность, связанную с производством товаров для собственного конечного использования.
При этом производство «для собственного конечного использования» трактуется как производство, при котором предполагаемое назначение продукции в основном связано с ее конечным использованием производителем в форме накопления капитала, либо с ее конечным потреблением членами домашнего хозяйства или членами семьи, проживающими в других домашних хозяйствах. Что касается продуктов сельского хозяйства, рыболовства, охоты и собирательства, предназначенных преимущественно для собственного потребления, то их излишек может продаваться или обмениваться по бартеру.
Производство товаров включает изготовление и/или переработку для хранения продуктов сельского хозяйства, рыболовства, охоты и собирательства; заготовку и/или обработку для хранения полезных ископаемых и лесной продукции, в том числе дров и других видов топлива; производство бытовых товаров (таких как мебель, ткани, одежда, обувь, гончарные изделия или другие товары длительного пользования, в том числе лодки и челноки); строительство или крупный ремонт собственного жилья, сельскохозяйственных построек и т.д.
Лица, занимающиеся натуральным производством продуктов питания*, образуют значимую подгруппу выполняющих трудовую деятельность по производству товаров для собственного использования и определяются как все лица, занимавшиеся любым из видов деятельности, связанных с изготовлением и/или переработкой для хранения продуктов сельского хозяйства, рыболовства, охоты и собирательства, с целью производства продуктов питания на основе продукции сельского хозяйства, рыболовства, охоты или собирательства, которые дополняют источники средств к существованию домашнего хозяйства или семьи. При этом важным признаком, доказывающим натуральный характер данной деятельности, является то, что она осуществляется без найма работников за плату или прибыль. Исключаются лица, которые занимались таким производством как видом отдыха или досуга.
Занятые лица (определение см. в п. 2.7.1).
Лица, выполняющие неоплачиваемую работу при прохождении профессионально-технической подготовки*, определяются как все лица обследуемого возраста, которые в течение обследуемой недели участвовали в любой безвозмездной деятельности по производству товаров или оказанию услуг в интересах других лиц с тем, чтобы приобрести трудовой опыт или навыки в той или иной профессии.
Волонтёры* – лица обследуемого возраста, которые в течение месяца, предшествующего дате обследования, осуществляли любую неоплачиваемую, необязательную деятельность, связанную с производством товаров или оказанием услуг в интересах других лиц.
Из числа волонтёров исключаются лица, занятые:
- общественными работами или работами в местах лишения свободы по решению суда или аналогичного органа, обязательными работами на военной или альтернативной гражданской службе;
- неоплачиваемой работой, требуемой в рамках образовательных программ или программ профессионально-технической подготовки (т.е. не получающие плату участники программ профессионально-технической подготовки);
- работой, выполняемой в интересах других лиц в течение рабочего времени, связанного с работой по найму, или во время оплачиваемого отпуска наемного работника, предоставленного работодателем.
2.7.3. Недоиспользование рабочей силы* – это несоответствие между предложением рабочей силы и спросом на неё, которое приводит к возникновению неудовлетворенной потребности в рабочих местах.
Недоиспользование рабочей силы характеризуется следующими составляющими:
- неполная занятость с точки зрения продолжительности рабочего времени;
- безработица (определение в п. 2.7.1);
- потенциальная рабочая сила.
Лица, находящиеся в условиях неполной занятости с точки зрения продолжительности рабочего времени*, определяются как все занятые лица, у которых в течение короткого учетного периода (недели) фактически отработанные часы на всех работах были меньше, чем установленный предел продолжительности рабочего времени, которые хотели работать дополнительное время и которые были готовы работать дополнительное время, если бы представилась возможность получить дополнительную работу.
Потенциальная рабочая сила* – незанятые лица, которые выражают заинтересованность в получении работы за оплату или прибыль, однако сложившиеся условия ограничивают их активные поиски работы или их готовность приступить к работе.
Потенциальная рабочая сила определяется как все лица обследуемого возраста, которые в течение короткого учетного периода (неделя) не были ни занятыми, ни безработными, и при этом:
- предпринимали действия «в поисках работы», были «не готовы приступить к работе в настоящий момент», однако будут готовы приступить к работе в течение двух недель после обследуемой недели (т.е. соискатели, не готовые приступить к работе);
- не предпринимали действий «в поисках работы», однако хотели работать и были «готовы приступить к работе в настоящий момент» (т.е. не находящиеся в поисках работы лица, потенциально готовые приступить к работе).
Лица, отчаявшиеся найти работу* – незанятые лица, которые готовы приступить к работе в настоящий момент, но не искали работу по причинам: прошлый неудачный опыт найти подходящую работу, отсутствие опыта, квалификации или работы, соответствующей профессиональным навыкам лица, отсутствие работы в данной местности, потенциальные работодатели находят лицо слишком молодым или слишком пожилым.
Совокупный показатель безработицы и потенциальной рабочей силы* – отношение суммы численности безработных и потенциальной рабочей силы к расширенной концепции рабочей силы, рассчитанное в процентах. Расширенная концепция рабочей силы включает в себя занятых, безработных и потенциальную рабочую силу.
Суммарный показатель недоиспользования рабочей силы* – отношение суммарной численности лиц в состоянии неполной занятости, безработных и потенциальной рабочей силы к численности рабочей силы в расширенной концепции (т.е. суммарное значение занятых, безработных и потенциальной рабочей силы), в процентах.
Уровень длительной безработицы* – отношение численности безработных, находящихся в состоянии длительной безработицы (12 месяцев и более), к численности рабочей силы, в процентах.
Доля лиц в состоянии неполной занятости с точки зрения продолжительности рабочего времени* – отношение численности лиц в состоянии неполной занятости с точки зрения продолжительности рабочего времени к численности занятых, в процентах.
III. ОСНОВНЫЕ ОРГАНИЗАЦИОННЫЕ ПОЛОЖЕНИЯ ПРОВЕДЕНИЯ ОБСЛЕДОВАНИЯ
3.1. Распределение функций по уровням управления и организации работ
3.1.1. На федеральном уровне при подготовке, проведении и формировании итогов обследования Росстатом выполняются следующие функции:
1) разработка официальной статистической методологии, в том числе методологии формирования выборки и руководство работами по подготовке, проведению обследования и обработке полученной от территориальных органов Росстата первичной информации, подведению итогов и их официальному опубликованию, хранению материалов обследования;
2) координация, планирование работ по проведению обследования и контроль подготовки, проведения и подведения итогов;
3) разработка технологии и организация автоматизированной обработки полученной информации обследования и подведения ее итогов;
4) тематическое и организационное обеспечение проведения информационно-разъяснительной работы по вопросам обследования;
5) организация обучения специалистов Федеральной службы государственной статистики, руководителей и специалистов территориальных органов Федеральной службы государственной статистики, ответственных за подготовку и проведение обследования;
6) обеспечение взаимодействия с федеральными органами исполнительной власти, в том числе по вопросам безопасности проведения обследования;
7) организация финансового и материально-технического обеспечения обследования;
8) формирование официальной статистической информации по итогам обследования по Российской Федерации и субъектам Российской Федерации; ее опубликование на официальном сайте Росстата в информационно-телекоммуникационной сети «Интернет», хранение материалов.В центральном аппарате Федеральной службы государственной статистики ответственность за выполнение указанных работ и функций определяется руководителем Федеральной службы государственной статистики.
3.1.2. На территориальном уровне территориальными органами Росстата выполняются следующие функции:
1) подготовка и проведение в субъекте Российской Федерации обследования в соответствии с утвержденной официальной статистической методологией;
2) координация и организация работ по подготовке и проведению обследования в субъекте Российской Федерации, муниципальных образованиях, контроль подготовки и проведения обследования;
3) организация на полевом уровне участков проведения обследования, подбор лиц, привлекаемых на выполнение работ, связанных со сбором и с обработкой первичных статистических данных при проведении обследования в соответствии с законодательством Российской Федерации (далее – привлекаемые лица), контроль за их работой;
4) взаимодействие с территориальными органами федеральных органов исполнительной власти по вопросам проведения обследования, в том числе по вопросам безопасности проведения обследования (по мере необходимости);
5) взаимодействие с органами исполнительной власти субъектов Российской Федерации и органами местного самоуправления в части привлечения физических лиц, проживающих на территориях соответствующих муниципальных образований, к сбору первичных статистических данных (по мере необходимости);
6) обучение специалистов территориальных органов Росстата и привлекаемых лиц к выполнению работ, связанных со сбором и с обработкой первичных статистических данных;
7) подготовка полученных первичных статистических данных к автоматизированной обработке (приемка заполненных на бумажных носителях анкет от привлекаемых на полевом уровне лиц, их контроль либо загрузка информации с планшетных компьютеров или карт памяти на рабочую станцию);
8) автоматизированная обработка первичных статистических данных обследования на основе утвержденной технологии (в том числе кодирование, ввод и формально-логический контроль информации);
9) формирование официальной статистической информации по итогам обследования по субъекту Российской Федерации; ее опубликование на официальном сайте территориального органа Росстата в информационно-телекоммуникационной сети «Интернет»; хранение материалов (заполненных анкет на бумажных носителях, карт памяти с первичными статистическими данными).В территориальных органах Федеральной службы государственной статистики выполнение указанных работ и функций возлагается на структурные подразделения, определяемые руководителем территориального органа (или лицом, его замещающим).
3.1.3. На полевом уровне выполняются следующие функции:
- подготовка и проведение обследования в муниципальных образованиях субъектов Российской Федерации;
- организация работ по сбору первичных статистических данных обследования путем опроса респондентов с использованием планшетных компьютеров, либо заполнения анкет на бумажных носителях, контроль полученной информации;
- сдача-приемка материалов обследования (заполненных анкет на бумажных носителях, карт памяти с первичными статистическими данными) и материально-технических средств (планшетных компьютеров с первичными статистическими данными в случае, если опрос проводился с использованием планшетных компьютеров) в установленном порядке на территориальный уровень, а также контроль полноты и правильности заполнения электронных и/или бумажных анкет.
Для работ на территориальном и полевом уровне предусмотрены подбор и привлечение физических лиц на контрактной основе в соответствии с законодательством Российской Федерации к выполнению работ, связанных со сбором и с обработкой первичных статистических данных по следующим категориям:
- Инструктор территориального уровня;
- Интервьюер;
- Счетчик;
- Кодировщик статистической информации;
- Оператор ввода статистической информации.
3.2. Основные этапы подготовки и проведения обследования
3.2.1. Подготовительный этап
На подготовительном этапе выполняются следующие работы:
- Разработка планов организации и проведения обследования на федеральном и территориальном уровнях и контроль выполнения работ;
- Разработка официальной статистической методологии, формы статистического наблюдения и статистического инструментария;
- Разработка технологии автоматизированной обработки полученной информации обследования и подведения его итогов с учетом концепции развития информационно-вычислительной сети Федеральной службы государственной статистики на соответствующий период;
- Разработка программного обеспечения по формированию выборочной совокупности, по сбору и автоматизированной обработке первичной информации, формированию официальной статистической информации по итогам обследования и его тестирование;
- Разработка нормы нагрузки (количество обследуемых единиц) на одно привлекаемое лицо за весь период работы и определение сроков работы привлекаемых лиц;
- Составление списков домохозяйств, входящих в выборочную совокупность;
- Организация проведения обследования на федеральном, территориальном и полевом уровнях, контроль выполнения работ;
- Взаимодействие с федеральными органами исполнительной власти и их территориальными органами, с органами исполнительной власти субъектов Российской Федерации и органами местного самоуправления по вопросам проведения обследования, в том числе по вопросам безопасности проведения обследования;
- Финансовое и материально-техническое обеспечение обследования;
- Организация обучения для руководителей и специалистов территориальных органов Федеральной службы государственной статистики и привлекаемых лиц.
3.2.2. Этап проведения обследования, осуществления контрольных мероприятий и сдачи-приемки работ
Статистический инструментарий
При проведении обследования используется следующий инструментарий:
- Обращение к населению (листовка);
- Удостоверение интервьюера;
- Анкета выборочного обследования рабочей силы;
- Карточка на помещение, в котором проживает население, участвующее в обследовании рабочей силы;
- Карточка 1 «Примеры видов работ для заполнения ответа на вопрос о занятости по оказанию различного рода услуг с целью получения дохода или обмена»;
- Методическое пособие для интервьюеров по проведению обследования рабочей силы;
- Пособие по кодированию материалов выборочного обследования рабочей силы;
- Алфавитный словарь занятий.
Анкета выборочного обследования рабочей силы содержит вопросы по учетным признакам, в соответствии с которыми от респондентов собираются первичные статистические данные (см. п. 2.4).
Карточка на помещение ведется в территориальных органах Росстата и представляет собой список домохозяйств в пределах помещения с указанием членов домохозяйств (независимо от возраста), постоянно (обычно) проживающих в помещении, отобранном для проведения обследования.
Карточка 1 содержит примеры видов работ (услуг), которые следует относить к оказанию услуг с целью получения дохода или обмена. Карточка 1 показывается респондентам при заполнении ответа на один из вопросов Анкеты.
Опрос респондентов
К работе по сбору сведений о населении привлекаются граждане Российской Федерации, прошедшие обучение или специальный инструктаж – интервьюеры, а также, для руководства работой интервьюеров – инструкторы территориального уровня.
На время работы интервьюеру выдается удостоверение интервьюера с подписью руководителя Росстата и печатью Федеральной службы государственной статистики. Удостоверение интервьюера действительно при предъявлении паспорта.
Опрос населения начинается в первый понедельник после критической (обследуемой) недели и проводится интервьюерами в течение последующей недели путем непосредственного посещения домашних хозяйств.
При обследовании населения применяется метод ведения опроса по утвержденному бланку Анкеты с готовым текстом вопросов. Это гарантирует, что всем респондентам задаются одни и те же вопросы в одной и той же последовательности и ответы на один и тот же вопрос от разных респондентов записываются сопоставимым методом.
Ответы на вопросы Анкеты могут быть получены как от самого респондента, так и со слов совместно проживающих членов домашнего хозяйства в случае отсутствия респондента в момент опроса.
Участие населения в обследовании является добровольным.
При проведении опроса интервьюеры, в соответствии с приведенными в Анкете подсказами, последовательно зачитывают сформулированные вопросы. Изменение формулировки вопросов Анкеты не допускается.
В своей работе интервьюеры руководствуются Методическим пособием для интервьюеров по проведению обследования рабочей силы, которое разрабатывается Росстатом.
Интервьюерам не разрешается опрашивать население по адресам, не представленным в Карточках на помещение.
Перед проведением обследования территориальными органами Росстата организуется оповещение населения, включенного в выборку, о предстоящем обследовании с использованием листовок «Обращение к населению».
Для успешного проведения обследования большое значение имеет разъяснительная работа среди населения. Разъяснительная работа проводится в целях информирования жителей региона об этом мероприятии общегосударственного значения, формирования у них позитивного отношения к обследованию. Интервьюеры во время проведения опроса и инструкторы территориального уровня во время контрольных мероприятий приводят разъяснения респондентам о важности участия каждого человека, попавшего в выборку, в обследовании рабочей силы. Респондентам разъясняют, что обследование – единственный объективный источник информации о структуре занятости и безработицы населения региона, необходимой для принятия важнейших государственных решений по созданию рабочих мест и снижению безработицы.
При проведении опроса интервьюеры, при необходимости, дают пояснения респондентам к вопросам Анкеты, руководствуясь утвержденной методологией и Методическим пособием для интервьюеров по проведению обследования рабочей силы.
Контрольные мероприятия, выполняемые на полевом уровне
Для обеспечения полноты и правильности получаемой от населения информации проводятся мероприятия по проверке полноты и правильности заполнения анкет по обследованию рабочей силы.
Проверки осуществляются инструктором территориального уровня или специалистами территориального органа Росстата в период и (или) после проведения опросов домохозяйств интервьюерами. Проведение контрольных проверок осуществляется в форме непосредственного выезда на участки обследования для сверки адресов фактически посещенных интервьюером домохозяйств и адресов домохозяйств, участвующих в обследовании; наблюдения за ходом проведения опроса (выборочно в домохозяйствах, в которых проводится опрос); проведения контрольных опросов (выборочно в домохозяйствах, в которых завершен опрос, по ограниченному кругу информации); выяснения по телефону факта участия в обследовании (выборочно, в домохозяйствах, в которых завершен опрос).
Расходы на проведение контрольных мероприятий осуществляются в пределах лимитов бюджетных ассигнований, выделенных на эти цели.
Приемка-сдача результатов работ, выполненных на полевом уровне
Приемка-сдача результатов работ, выполненных на полевом уровне, производится в соответствии с графиком приемки работ, утверждаемым территориальным органом Росстата.
Сдача результатов работ производится интервьюерами с выездом в территориальные органы Росстата, путем передачи работникам территориального органа Росстата в районе, по почте России или другим видом сообщения.
После завершения опроса граждан по всем отобранным для обследования адресам интервьюеры составляют Акт сдачи-приемки, в котором содержатся следующие сводные данные:
- количество первоначально установленных для обследования адресов;
- число первоначально установленных для опроса респондентов;
- количество фактически обследованных помещений;
- число фактически опрошенных респондентов;
- количество необследованных помещений с указанием причин;
- количество неопрошенных респондентов с указанием причин.
Интервьюеры передают инструктору территориального уровня или курирующему работнику территориального органа Росстата заполненный Акт сдачи-приемки, заполненные бланки Анкет, планшетные компьютеры (в случае, если опрос проводился с использованием планшетных компьютеров), Карточки на помещение, возвращают удостоверение интервьюера и другие инструктивные материалы.
При приемке каждой Анкеты, заполненной на бумажном носителе или на планшетном компьютере, на территориальном уровне производится сплошная проверка полноты и правильности ее заполнения на основе правил логического контроля, приведенных в Анкете.
По завершении приемки-сдачи на территориальном уровне анкеты комплектуются (в пачки на бумажных носителях или пакеты данных в электронном виде) и подготавливаются к автоматизированной обработке (контроль, дополнительное кодирование информации и т.п.).
3.2.3 Этап обработки полученной информации. Подведение итогов, их официальное опубликование
Автоматизированная обработка данных обследования, подведение итогов и их официальное опубликование
Автоматизированная обработка данных проводится в соответствии с экономическим описанием и эксплуатационной документацией, подготовленными и утвержденными в рамках разработки программного обеспечения на выполнение работ по автоматизированной обработке данных обследования.
Функции автоматизированной обработки данных обследования распределены на территориальном и федеральном уровнях.
На территориальном уровне осуществляется:
- ввод первичных данных из анкет или карт памяти планшетных компьютеров;
- кодирование первичных данных из анкет;
- формальный и логический контроль первичных данных;
- формирование информационного массива по первичным признакам анкеты;
- расчет индивидуальных весов, автоматическая корректировка ответов на вопросы анкеты для отдельных категорий опрошенных и формирование производных показателей;
- формирование информационного массива микроданных, содержащего учетные признаки обследования, производные показатели и весовые коэффициенты;
- передача информационного массива первичных данных на федеральный уровень;
- внесение, при необходимости, уточнений в первичные данные;
- формирование регламентных и публикационных таблиц с итогами;
- подготовка публикационных таблиц с итогами и размещение их на официальном сайте территориального органа;
- создание и ведение базы микроданных регионального уровня.
На федеральном уровне осуществляется:
- контроль поступившей от территориальных органов Росстата информации и создание объединенного информационного массива первичных данных;
- внесение, при необходимости, уточнений в информационный массив первичных данных, представленный территориальными органами Росстата;
- создание по итогам текущего обследования информационного массива микроданных, содержащего учетные признаки обследования, производные показатели и весовые коэффициенты;
- загрузка информационного массива микроданных выборочного обследования рабочей силы в программный комплекс IBM SPSS Statistics;
- формирование итоговых (регламентных) и публикационных таблиц, расчет ошибок выборки по Российской Федерации и по субъектам Российской Федерации;
- подготовка статистического бюллетеня по итогам выборочного обследования рабочей силы для публикации на официальном сайте Росстата в информационно-телекоммуникационной сети «Интернет».
- создание и ведение базы микроданных федерального уровня.
Программой автоматизированной обработки данных обследования предусмотрена автоматическая корректировка первичных ответов на вопросы Анкеты, которая производится для следующих категорий опрошенного населения:
- лиц, указавших при проведении опроса, что они вообще не имели оплачиваемой работы, или не имели дополнительной оплачиваемой работы или доходного занятия, но сообщивших о занятости в домашнем хозяйстве производством продукции сельского, лесного хозяйства, охоты и рыболовства, предназначенной преимущественно для продажи или обмена или производством товаров для быта и дома, предназначенных преимущественно для продажи или обмена или о занятости оказанием услуг для других лиц за плату;
- лиц, указавших при проведении опроса, что они отсутствовали на основной работе в связи с отпуском по уходу за ребенком в возрасте от 1,5 до 3-х лет, или в связи с неоплачиваемым отпуском по собственному желанию, или в связи с отпуском без сохранения заработной платы 6 месяцев и более.
Корректировка первичных ответов на вопросы Анкеты производится с учетом следующих методологических положений:
- занятость в домашнем хозяйстве производством продукции сельского, лесного хозяйства, охоты и рыболовства, предназначенной преимущественно для продажи или обмена или производством товаров для быта и дома, предназначенных преимущественно для продажи или обмена, или занятость оказанием услуг для других лиц за плату считается доходным занятием;
- не считаются «имеющими работу и временно отсутствующими» и не учитываются в числе занятого населения:
- лица, отсутствующие на работе в связи с отпуском по уходу за ребенком в возрасте от 1,5 лет до 3-х лет;
- лица длительно отсутствующие на работе в связи с неоплачиваемым отпуском по собственному желанию, с отпуском без сохранения заработной платы, если период отсутствия на работе составлял 6 месяцев и более.
По итогам автоматизированной обработки обследования создается база микроданных обследований рабочей силы. Единицей хранения в базе микроданных являются данные по каждому респонденту.
Система показателей базы микроданных включает:
- а) первичные показатели, полученные в ходе опроса как ответы на вопросы Анкеты;
- б) производные показатели (интегрированные показатели), полученные при обработке результатов обследования на основе:
- сочетания нескольких последовательных ответов на вопросы Анкеты;
- агрегирования значений первичного показателя в группировки более высокого уровня (группировки видов деятельности и занятий, группировки по возрасту, отработанному времени и т.д.);
- в) весовые коэффициенты, исчисленные при обработке результатов обследования, для обеспечения получения оценок статистических характеристик на основе микроданных.
Обеспечение конфиденциальности данных, полученных в ходе обследования, хранение материалов
Гарантии конфиденциальности первичных статистических данных, содержащихся в форме федерального статистического наблюдения (Анкета выборочного обследования рабочей силы), определены статьей 9 «Гарантии защиты первичных статистических данных, содержащихся в формах федерального статистического наблюдения» Федерального закона от 29 ноября 2007 г. № 282-ФЗ «Об официальном статистическом учете и системе государственной статистики в Российской Федерации».
Первичные статистические данные, содержащиеся в Анкете выборочного обследования рабочей силы, признаются информацией ограниченного доступа, не подлежат разглашению (распространению и (или) предоставлению) и используются только в целях формирования официальной статистической информации.
Обязанность не разглашать конфиденциальные сведения, полученные в ходе проведения обследования, предусматривается договорами, заключаемыми с физическими лицами, привлекаемыми на договорной основе в соответствии с законодательством Российской Федерации к выполнению работ, связанных со сбором и обработкой первичных данных.
В соответствии с п. 9 ст. 6 Федерального закона от 27 июля 2006 г. № 152-ФЗ «О персональных данных» обработка персональных данных осуществляется для статистических целей при условии их обязательного обезличивания.
При автоматизированной обработке материалов обследования все технические и программно-технологические средства используются с соблюдением мер по защите информации от несанкционированного доступа.
Срок хранения заполненных Анкет на бумажных носителях и в электронном виде – 1 год с даты подведения итогов выборочного обследования рабочей силы (ст. 478 Перечня документов, образующихся в процессе деятельности Федеральной службы государственной статистики ее территориальных органов и подведомственных организаций, с указанием сроков хранения, утвержденного приказом Росстата от 05.09.2016 № 484 «Об утверждении Перечня документов, образующихся в процессе деятельности Федеральной службы государственной статистики, ее территориальных органов и подведомственных организаций, с указанием сроков хранения»).
IV. ВЫПОЛНЯЕМЫЕ ФУНКЦИИ ПРИВЛЕКАЕМЫХ ЛИЦ И РАСЧЕТ СУММЫ ИХ ВОЗНАГРАЖДЕНИЯ
На территориальном уровне предусмотрено привлечение физических лиц для выполнения работ, связанных со сбором и с обработкой первичных статистических данных при проведении обследования в соответствии с законодательством Российской Федерации.
4.1. Категории привлекаемых лиц и выполняемые функции
Инструктор территориального уровня:
- прохождение обучения по проведению обследования;
- организация работы по сбору, обработке первичных статистических данных обследования;
- участие в инструктировании или обучении интервьюеров;
- участие в проведение разъяснительной работы среди населения о важности участия каждого человека, попавшего в выборку, в обследовании;
- организация работы по проведению интервьюерами опроса респондентов по форме № 1-З «Анкета выборочного обследования рабочей силы»;
- контроль за своевременностью и правильностью заполнения интервьюерами анкет на бумажных носителях или планшетных компьютерах;
- прием от интервьюеров заполненных анкет на бумажных носителях или планшетных компьютерах с первичными статистическими данными респондентов;
- проверка полноты и правильности заполнения первичных статистических данных по респондентам в анкетах на бумажных носителях или планшетных компьютерах;
- проведение контрольных мероприятий по сбору первичных данных обследования в соответствии с указаниями Росстата;
- представление акта сдачи-приемки по выполненной работе курирующему работнику территориального органа Росстата в установленные сроки;
- обеспечение сохранности полученной информации и неразглашение конфиденциальной информации, полученной в ходе обследования.
Обучение инструктора территориального уровня осуществляется специалистами территориальных органов Росстата.
Интервьюер:
- прохождение обучения или инструктажа по проведению обследования (в любой день недели, предшествующей неделе опроса);
- предварительный обход домашних хозяйств по включенным в выборку адресам и распространение «Обращения к населению (листовка)»;
- разъяснение респондентам о важности участия каждого человека, попавшего в выборку, в обследовании рабочей силы;
- заполнение в Карточках на помещение информации по каждому члену домохозяйства, фактически постоянно (обычно) проживающему по включенному в выборку адресу;
- проведение опроса респондентов по форме № 1-З «Анкета выборочного обследования рабочей силы» путем последовательного зачитывания сформулированных вопросов и занесения ответов в бланк формы либо с использованием планшетных компьютеров со слов опрашиваемого;
- контроль достоверности представляемых респондентами сведений, уточнение ответов;
- представление заполненных Анкет на бумажном носителе либо передача планшетных компьютеров, Карточек на помещение, удостоверения интервьюера и других инструктивных материалов в конце каждого этапа обследования и акта сдачи-приемки по выполненной работе инструктору территориального уровня или курирующему работнику территориального органа Росстата в установленные сроки;
- обеспечение сохранности полученной информации и неразглашение конфиденциальной информации, полученной в ходе выборочного обследования рабочей силы.
Обучение интервьюера осуществляется специалистами территориальных органов Росстата, инструктором территориального уровня. Обучение интервьюера может проводиться как в очной форме, так и дистанционно.
Оператор ввода статистической информации:
- прохождение обучения или инструктажа по работе с программными средствами компьютерной обработки первичных статистических данных выборочного обследования рабочей силы и соблюдению защиты персональных данных и обеспечению их конфиденциальности во время и после окончания работы;
- осуществление ввода первичных статистических данных по каждому респонденту из бланков Анкет или с карт памяти планшетных компьютеров с использованием программных средств;
- осуществление контроля первичных данных по каждому респонденту с использованием программных средств;
- составление протоколов ошибок по введенным первичным данным;
- согласование протоколов ошибок с курирующим работником территориального органа Росстата;
- проведение корректировки введенных первичных данных в соответствии с протоколом ошибок;
- осуществление повторного контроля первичных данных с бланков Анкет с использованием программных средств до момента, когда программа не будет выдавать сообщения об ошибках;
- представление протокола ошибок и акта сдачи-приемки по выполненной работе курирующему работнику территориального органа Росстата в установленные сроки;
- обеспечение сохранности полученной информации и неразглашение конфиденциальной информации, полученной в ходе обследования.
Обучение операторов ввода статистической информации осуществляется специалистами территориальных органов Росстата.
Кодировщик статистической информации:
- прохождение инструктажа по работе с Пособием по кодированию материалов выборочного обследования рабочей силы, Алфавитным словарем занятий и соблюдению защиты персональных данных и обеспечению их конфиденциальности во время и после окончания работы;
- осуществление кодирования первичных данных по каждому респонденту в бланках Анкет или на планшетных компьютерах с использованием статистического инструментария по кодированию материалов обследования;
- согласование вопросов, возникающих в ходе кодирования первичных данных, с инструктором территориального уровня или курирующим работником территориального органа Росстата;
- проведение корректировки закодированных первичных данных при необходимости;
- представление акта сдачи-приемки о выполненной работе курирующему работнику территориального органа Росстата в установленные сроки;
- обеспечение сохранности полученной информации и неразглашение конфиденциальной информации, полученной в ходе обследования.
Обучение кодировщиков статистической информации осуществляется специалистами территориальных органов Росстата.
Счетчик:
- прохождение инструктажа по составлению списков адресов домохозяйств, отобранных для обследования;
- составление списков адресов домохозяйств, отобранных для обследования, на основании сформированной на федеральном уровне выборки;
- заполнение адресной части Карточек на помещение по включенному в выборку адресу домохозяйства;
- обеспечение конфиденциальности сведений об опрошенных лицах, которые были получены при составлении адресов домохозяйств, во время и после окончания работы.
Инструктирование счетчиков осуществляется специалистами территориальных органов Росстата.
4.2. Расчет суммы вознаграждения привлекаемых лиц
Расчет суммы вознаграждения лицам, привлекаемым на договорной основе в соответствии с законодательством Российской Федерации к выполнению работ связанных со сбором и с обработкой первичных статистических данных при проведении выборочного обследования рабочей силы производится на основании условий выплаты вознаграждения, определенным приказом Росстата от 4 мая 2016 г. № 222 «Об определении условий выплаты вознаграждения лицам, привлекаемым на договорной основе в соответствии с законодательством Российской Федерации к выполнению работ, связанных с проведением выборочного обследования рабочей силы» (зарегистрирован Минюстом России от 26 мая 2016 г. № 42281) и нормативов, используемых при заключении контрактов на выполнение работ, связанных со сбором и с обработкой первичных статистических данных при проведении выборочного обследования рабочей силы, приведенных в приложении 1 к Основным методологическим и организационным положениям по проведению выборочного обследования рабочей силы.
Расчет вознаграждения инструкторов территориального уровня, интервьюеров, счетчиков, кодировщиков статистической информации и операторов ввода статистической информации производится в соответствии с объемом выполненных работ.
Вознаграждение интервьюеров и инструкторов территориального уровня рассчитывается следующим образом:

где:
Bop – сумма вознаграждения за выполненный объем работ;
Bмес – сумма вознаграждения за месяц;
30 – число дней в месяце (величина постоянная для всех месяцев);
Д – срок привлечения, дней;
НН – норма нагрузки на период работы;
ОР – объем выполненных работ.Вознаграждение счетчиков, кодировщиков статистической информации и операторов ввода статистической информации рассчитывается следующим образом:

где:
Bop – сумма вознаграждения за выполненный объем работ;
Bмес – сумма вознаграждения за месяц;
30 – число дней в месяце (величина постоянная для всех месяцев);
НН – норма нагрузки на один день работы;
ОР – объем выполненных работ.Объем выполненных работ измеряется:
- для интервьюеров – количеством опрошенных респондентов;
- для инструкторов территориального уровня – количеством респондентов, по которым проверена полнота и правильность заполнения анкет;
- для операторов ввода статистической информации – количеством респондентов, по которым введены данные;
- для кодировщиков статистической информации – количеством респондентов, по которым закодирована информация;
- для счетчиков – количеством заполненных карточек на домохозяйства.
При проведении расчетов суммы вознаграждения за один день сумма вознаграждения за месяц делится на 30 (величина постоянная для всех месяцев).
Норма нагрузки для инструкторов территориального уровня и интервьюеров устанавливается на весь срок привлечения, для счетчиков, кодировщиков статистической информации и операторов ввода статистической информации – на один день работы.
V. МАТЕРИАЛЬНО-ТЕХНИЧЕСКОЕ И ФИНАНСОВОЕ ОБЕСПЕЧЕНИЕ ОБСЛЕДОВАНИЯ
Материально-техническое обеспечение выборочного обследования рабочей силы осуществляется в период его подготовки и проведения в соответствии с нормативами для обеспечения привлекаемых лиц в пределах выделенных лимитов бюджетного финансирования, утвержденными приказом Росстата.
Финансирование выборочного обследования рабочей силы осуществляется в рамках лимитов бюджетных обязательств, выделенных на эти работы. Территориальным органам государственной статистики, принимающими участие в подготовке, проведении и автоматизированной обработке полученной информации, лимиты бюджетных обязательств доводятся в установленном порядке.
В рамках лимитов бюджетных обязательств может предусматриваться погашение расходов, связанных с:
- проездом до места нахождения обследуемых домохозяйств (и обратно) – для интервьюеров, работающих в городских и сельских населенных пунктах и имеющих место проживания вне шаговой доступности от места расположения участка обследования;
- проездом до места получения и сдачи материалов обследования (и обратно) для интервьюеров, работающих в городских и сельских населенных пунктах и имеющих место проживания вне шаговой доступности от места получения и сдачи материалов;
- почтовыми расходами для отправки материалов обследования интервьюерами в территориальные органы Росстата;
- проездом до места проведения контрольных мероприятий (и обратно) для инструкторов территориального уровня, работающих в городских и сельских населенных пунктах и имеющих место проживания вне шаговой доступности от места проведения контрольных мероприятий;
- проживанием по месту проведения контрольных мероприятий для инструкторов территориального уровня, работающих в городских и сельских населенных пунктах, находящихся за пределами места проживания (время в пути превышает 3 часа в одну сторону);
- проведением обучающих семинаров для интервьюеров.
Приложение № 1
к Основным методологическим и организационным положениям по проведению выборочного обследования рабочей силы
Нормативы, используемые при заключении контрактов на выполнение работ, связанных со сбором и с обработкой первичных статистических данных при проведении выборочного обследования рабочей силы
(справочно)Категория привлекаемых лиц
Период выполнения работы Норма нагрузки на период работы3 Инструктор территориального уровня Ежемесячно на любые 12 дней Проверка данных по респондентам за срок привлечения:
1 группа – 360 респондентов
2 группа – 300 респондентов
3 группа – 240 респондентовИнтервьюер Ежемесячно на 9 дней: 1 день – обучение или инструктаж в любой день недели, предшествующей неделе опроса, 7 дней – опрос с первого понедельника после обследуемой недели, 1 день – сдача анкет Опрос респондентов за срок привлечения:
1 группа – 36 респондентов
2 группа – 30 респондентов
3 группа – 24 респондентовОператор ввода статистической информации Ежемесячно, начиная с 10 дня после обследуемой недели не более 6 рабочих дней Ввод информации по 40 респондентам в расчете на один день Кодировщик статистической информации Ежемесячно, начиная с 8 дня после обследуемой недели не более 5 рабочих дней Кодирование данных по 25 респондентам в расчете на один день Счетчик Ежемесячно на любые 3 дня Заполнение 40 карточек на домохозяйства в расчете на один день - ^ До 2017 г. – в возрасте 15-72 года.
- ^ Многофазная выборка – вид выборки, при которой конечная выборочная совокупность формируется в несколько фаз, на каждой из которых используется одна и та же единица отбора (например, счетный участок, который при построении ТВМН является первичной выборочной единицей). При построении выборочного массива для проведения ОРС в качестве единицы отбора также используется счетный участок. Использование многофазной выборки при эксплуатации ТВМН для проведения системы выборочных наблюдений по социально-демографическим и социально-экономическим проблемам нацелено на построение в рамках базового массива ТВМН множества выборочных подмассивов с непересекающимися элементами.
- ^ 1группа - Республика Адыгея, Республика Дагестан, Республика Ингушетия, Кабардино–Балкарская Республика, Республика Калмыкия, Карачаево-Черкесская Республика, Республика Крым, Республика Марий Эл, Республика Мордовия, Республика Северная Осетия-Алания, Республика Татарстан, Чеченская Республика, Чувашская Республика, Краснодарский край, Ставропольский край, Астраханская область, Белгородская область, Брянская область, Владимирская область, Волгоградская область, Воронежская область, Ивановская область, Калининградская область, Калужская область, Костромская область, Курская область, Липецкая область, Нижегородская область, Новгородская область, Орловская область, Пензенская область, Псковская область, Ростовская область, Рязанская область, Самарская область, Саратовская область, Смоленская область, Тамбовская область, Тверская область, Тульская область, Ульяновская область, Ярославская область, г. Севастополь
2 группа – Республика Башкортостан, Удмуртская Республика, Алтайский край, Пермский край, Вологодская область, Кемеровская область, Кировская область, Курганская область, Новосибирская область, Омская область, Оренбургская область, Томская область, Свердловская область, Тюменская, область (без авт. округов), Челябинская область.
3 группа – Республика Алтай, Республика Бурятия, Республика Карелия, Республика Коми, Республика Саха (Якутия), Республика Тыва, Республика Хакасия, Забайкальский край, Камчатский край, Красноярский край, Приморский край, Хабаровский край, Амурская область, Архангельская область (без авт. округа), Иркутская область, Магаданская область, Московская область, Мурманская область, Ленинградская область, Сахалинская область, г. Москва, г. Санкт-Петербург, Еврейская автономная область, Ненецкий автономный округ, Ханты-Мансийский автономный округ, Ямало-Ненецкий автономный округ, Чукотский автономный округ.