Методика по расчету сводного индекса цен и средних цен производителей сельскохозяйственной продукции
- Содержание
- Глава 1. Общие положения
- Глава 2. Исходная информация для расчета сводного индекса цен производителей сельскохозяйственной продукции
- Глава 3. Расчет индивидуальных индексов цен производителей сельскохозяйственной продукции
- Глава 4. Формирование системы весов
- Глава 5. Расчет сводного индекса цен производителей сельскохозяйственной продукции
- Глава 6. Расчет средних цен реализации сельскохозяйственной продукции
- Глава 7. Расчет сводных индексов цен производителей сельскохозяйственной продукции к различным периодам
- Приложение 1
- Приложение 2
- Приложение 3
- Приложение 4
Глава 1. Общие положения
1. Настоящая Методика используется органами государственной статистики для расчета индексов цен и средних цен производителей сельскохозяйственной продукции.
2. В настоящей Методике используются следующие термины и их определения:
агрегатный индекс цен – относительный статистический показатель, характеризующий изменение цен по отдельной подгруппе, группе продукции или изучаемому явлению в целом и формируется на основе индивидуальных индексов цен;
базисный период – период, в котором объем реализованной сельскохозяйственной продукции в стоимостном выражении используется для отбора базовых организаций и товаров-представителей для выборочного государственного статистического наблюдения за ценами производителей сельскохозяйственной продукции;
базовая организация – репрезентативно отобранная организация для выборочного государственного статистического наблюдения за ценами производителей сельскохозяйственной продукции;
вес товара-представителя – объем реализованной сельскохозяйственной продукции в стоимостном выражении по товару-представителю за базисный период;
веса индексов цен производителей сельскохозяйственной продукции – объем реализованной сельскохозяйственной продукции в стоимостном выражении по товарам-представителям и видам экономической деятельности за базисный период;
индекс цен производителей сельскохозяйственной продукции – относительный показатель, характеризующий изменение цен производителей сельскохозяйственной продукции во времени (индекс динамики) или соотношение цен в пространстве (территориальный индекс);
индивидуальный индекс цен – отношение цены конкретного товара-представителя в отчетном периоде к цене того же товара-представителя в базисном периоде;
сводный индекс цен производителей сельскохозяйственной продукции – соотношение уровней цен по совокупности различных товаров, исчисляемый по формуле агрегатного индекса цен;
товар-представитель – конкретный вид (подвид) сельскохозяйственной продукции, представитель вида сельскохозяйственной продукции, отобранный для выборочного государственного статистического наблюдения за ценами производителей сельскохозяйственной продукции;
цена производителя сельскохозяйственной продукции – цена, по которой организации реализуют произведенную ими сельскохозяйственную продукцию через различные каналы реализации. Цена производителя сельскохозяйственной продукции не включает налог на добавленную стоимость, расходы по транспортировке, погрузке и разгрузке продукции, но учитывает надбавки и скидки за качество.
3. Сводный индекс цен производителей сельскохозяйственной продукции отражает динамику цен на сельскохозяйственную продукцию, реализованную на внутреннем рынке, которую выпускают организации республики.
Сводный индекс цен производителей сельскохозяйственной продукции рассчитывается на реализованную сельскохозяйственную продукцию, на продукцию растениеводства и животноводства и их группы, категории, подкатегории, а также отдельно по видам, подвидам сельскохозяйственной продукции. Расчет сводного индекса цен производителей сельскохозяйственной продукции осуществляется в разрезе областей и по республике в целом.
4. Сводные индексы цен производителей сельскохозяйственной продукции используются для выявления роли цен в изменении доходов производителей, для сравнительного анализа изменения цен на реализованную сельскохозяйственную продукцию и на приобретаемые сельскохозяйственными организациями промышленную продукцию, работы и услуги, для выполнения экономических расчетов и прогнозирования балансовых показателей социально-экономического развития на макроуровне, в качестве дефляторов при пересчете объемов производства продукции сельского хозяйства из фактических цен в сопоставимые.
Глава 2. Исходная информация для расчета сводного индекса цен производителей сельскохозяйственной продукции
5. Исходной информационной базой для расчета сводного индекса цен производителей сельскохозяйственной продукции являются первичные статистические данные выборочного государственного статистического наблюдения за ценами производителей сельскохозяйственной продукции по форме государственной статистической отчетности 12-цены (сх) «Отчет о ценах производителей сельскохозяйственной продукции».
6. Для расчета сводного индекса цен производителей сельскохозяйственной продукции используется следующая официальная статистическая информация:
- индивидуальные индексы цен по товарам-представителям;
- объем реализованной сельскохозяйственной продукции в стоимостном выражении по товарам-представителям и видам экономической деятельности за базисный период.
В качестве весов на всех уровнях агрегирования сводного индекса цен производителей сельскохозяйственной продукции используется стоимость реализованной сельскохозяйственной продукции.
Построение системы весов осуществляется на республиканском уровне в целом по республике и областям. Информационной базой для формирования системы весов является официальная статистическая информация о стоимости реализованной сельскохозяйственной продукции по форме государственной статистической отчетности 1-сх (реализация) «Отчет о реализации сельскохозяйственной продукции».
Актуализация системы весов осуществляется при наличии значительных структурных диcпропорций доходов от реализации сельскохозяйственной продукции в отчетном периоде и периоде, взятом за базисный.
Глава 3. Расчет индивидуальных индексов цен производителей сельскохозяйственной продукции
7. Расчет индивидуальных индексов цен производителей сельскохозяйственной продукции производится поэтапно.
На первом этапе расчета анализируются изменения цен производителей сельскохозяйственной продукции по товарам-представителям. В случаях значительного повышения или понижения текущей цены по сравнению с ценой предыдущего месяца, главные статистические управления областей должны выяснить у базовых организаций конкретную причину изменения.
В случае, когда временно прекращается реализация базовыми организациями наблюдаемых товаров-представителей, для обеспечения непрерывности расчетов индексов цен применяются условные цены. Расчет условных значений текущей цены производится до тех пор, пока не будут получены данные о фактических ценах производителей сельскохозяйственной продукции.
Расчет условных цен может осуществляться несколькими способами:
- способ использования цены производителей сельскохозяйственной продукции за предыдущий период без изменения; этот способ применяется при кратковременном (межсезонном) исчезновении продукции, когда есть основания предполагать, что цена отсутствующего товара-представителя останется неизменной или изменится незначительно;
- способ применения «расчетной» цены; условная цена рассчитывается путем умножения цены отсутствующего товара-представителя за предыдущий период на индекс цен, рассчитанный на группу аналогичных товаров-представителей за отчетный период по сравнению с предыдущим.
Если отсутствующий товар-представитель является единичным товаром, рассчитывается и применяется индекс цен по виду сельскохозяйственной продукции, к которому относится данный товар-представитель.
8. При полном прекращении производства и реализации наблюдаемых товаров-представителей или ликвидации базовой организации необходимо произвести замену базовой организации и наблюдаемого товара-представителя.
Если ликвидация организации или прекращение производства и реализации какого-либо товара-представителя произошло в конце года, то расчет условных цен по отсутствующему товару-представителю осуществляется до конца отчетного года одним из способов, указанных в пункте 7 настоящей Методики.
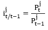
9. На следующем этапе на основе первичных статистических данных о ценах производителей сельскохозяйственной продукции рассчитываются индивидуальные индексы цен производителей по конкретному товару-представителю как отношение фактической цены отчетного месяца к цене предыдущего месяца:
(1)где:
– индивидуальный индекс цен производителей сельскохозяйственной продукции j-го товара-представителя за отчетный месяц t по сравнению с предыдущим месяцем t-1;
– цена j-го товара-представителя за отчетный месяц t, рублей;
– цена j-го товара-представителя за предыдущий месяц t-1, рублей.Глава 4. Формирование системы весов
10. Одним из этапов, предшествующих расчету сводного индекса цен производителей сельскохозяйственной продукции, является построение системы весов.
С использованием системы весов рассчитываются средние цены по товарам-представителям, видам продукции и агрегированные индексы цен производителей сельскохозяйственной продукции по областям и республике.
Использование в качестве веса на всех уровнях агрегирования индекса цен производителей сельскохозяйственной продукции объема реализованной сельскохозяйственной продукции в стоимостном выражении позволяет одновременно учитывать долю реализации в областном и общереспубликанском объеме реализации сельскохозяйственной продукции.
В стоимость реализованной сельскохозяйственной продукции включаются надбавки (скидки) к ценам с учетом качества продукции и не включаются субсидии (включая надбавки), выделенные из бюджета, расходы, связанные с транспортировкой, погрузкой и разгрузкой продукции, налог на добавленную стоимость. Она определяется как по закупочным, так и по рыночным, договорным ценам.
11. Для формирования системы весов используются стоимостные данные за три предшествующие отчетному года, с целью исключения колебаний в структуре производства и реализации продукции по причинам неурожайности, связанной с природно-климатическими условиями, банкротства, смены специализации сельскохозяйственных организаций, изменения спроса на сельскохозяйственную продукцию.
12. Система весов остается постоянной на определенный период времени (в течение года и более) с тем, чтобы индекс цен производителей сельскохозяйственной продукции отражал только изменение цен.
13. Ежегодно, перед переходом на новый отчетный год, средняя стоимость реализованной сельскохозяйственной продукции обновляется (пересчитывается) путем исключения из расчета стоимостей самого позднего года и включения стоимостей последнего года, предшествующего отчетному.
Глава 5. Расчет сводного индекса цен производителей сельскохозяйственной продукции
14. На основании индивидуальных индексов цен по конкретному товару-представителю рассчитываются сводные индексы цен производителей сельскохозяйственной продукции по:
- видам экономической деятельности (подклассам, классам и группам 011, 012, 013, 014 раздела 01 секции А «Сельское, лесное и рыбное хозяйство») в соответствии с общегосударственным классификатором Республики Беларусь ОКРБ 005-2011 «Виды экономической деятельности», утвержденным постановлением Государственного комитета по стандартизации Республики Беларусь от 5 декабря 2011 г. № 85 «Об утверждении, введении в действие общегосударственного классификатора Республики Беларусь» (Национальный реестр правовых актов Республики Беларусь, 2012 г., № 43, 8/24941) (далее – ОКРБ 005-2011);
- группам, категориям, подкатегориям, видам, подвидам сельскохозяйственной продукции;
- собирательной группировке «Растениеводство», установленной постановлением Министерства экономики Республики Беларусь, Национального статистического комитета Республики Беларусь, Государственного комитета по стандартизации Республики Беларусь от 27 декабря 2013 г. № 97/262/73 «Об утверждении собирательных группировок по видам экономической деятельности в соответствии с Общегосударственным классификатором Республики Беларусь ОКРБ 005-2011 «Виды экономической деятельности».
15. Для расчета сводных индексов цен производителей сельскохозяйственной продукции используются агрегатные индексы. Числитель и знаменатель этого индекса представляют собой сумму произведений двух величин, одна из которых индексируемая, т.е. переменная, вторая – неизменная, и в числителе, и в знаменателе выступающая в качестве весового коэффициента.
Сводный индекс цен производителей сельскохозяйственной продукции рассчитывается по модифицированному варианту формулы Ласпейреса:
(2)где:
– сводный индекс цен производителей сельскохозяйственной продукции за отчетный месяц t по сравнению с предыдущим месяцем t-1;
– индивидуальный индекс цен производителей сельскохозяйственной продукции товара-представителя за отчетный месяц t по сравнению с предыдущим месяцем t-1;
– стоимость реализованной продукции в ценах базисного периода;
– стоимость реализованной продукции в предыдущем месяце t-1, где
где
– индивидуальные индексы цен производителей сельскохозяйственной продукции товаров-представителей за месяц по сравнению с предыдущим месяцем.Агрегатный индекс цен по подклассу определяется как средневзвешенная величина из индексов цен по товарам-представителям, по классам – как средневзвешенная величина индексов цен по подклассам, по группе – как средневзвешенная величина индексов цен по классам, по разделу 01 – как средневзвешенная величина индексов цен по группам.
16. Расчет сводного индекса цен производителей сельскохозяйственной продукции по собирательной группировке «Растениеводство», куда входят группы 011, 012 и 013 ОКРБ 005-2011, осуществляется по формуле:
(3)где:
– сводный индекс цен производителей сельскохозяйственной продукции по собирательной группировке «Растениеводство» за отчетный месяц t по сравнению с предыдущим месяцем t-1;
– сводные индексы цен производителей сельскохозяйственной продукции по группам 011, 012 и 013 ОКРБ 005-2011 за отчетный месяц t по сравнению с предыдущим месяцем t-1;
– стоимость реализованной продукции в ценах базисного периода по группам 011, 012 и 013 ОКРБ 005-2011;
– стоимость реализованной продукции в предыдущем месяце t-1 по группам 011, 012 и 013 ОКРБ 005-2011.18. Расчет сводного индекса цен производителей сельскохозяйственной продукции по разделу 01 ОКРБ 005-2011 производится по формуле:
(4)где:
– сводный индекс цен производителей сельскохозяйственной продукции по разделу 01 ОКРБ 005-2011 за отчетный месяц t по сравнению с предыдущим месяцем t-1;
– сводные индексы цен производителей сельскохозяйственной продукции по собирательной группировке «Растениеводство» и группе 014 ОКРБ 005-2011 за отчетный месяц t по сравнению с предыдущим месяцем t-1;
– стоимость реализованной продукции в ценах базисного периода по собирательной группировке «Растениеводство» и группе 014 ОКРБ 005-2011;
– стоимость реализованной продукции в ценах предыдущего месяца t-1 по собирательной группировке «Растениеводство» и группе 014 ОКРБ 005-2011.18. Расчет сводных индексов цен производителей сельскохозяйственной продукции по группам, категориям, подкатегориям, видам, подвидам сельскохозяйственной продукции осуществляется с применением формулы, указанной в пункте 17 настоящей Методики.
Глава 6. Расчет средних цен реализации сельскохозяйственной продукции
19. Средняя цена реализации сельскохозяйственной продукции за отчетный месяц по республике и областям рассчитывается как средневзвешенная величина по формуле:

(5)
где:
– средняя цена реализации j-ой продукции за отчетный месяц t по республике или области;
– средняя цена j-ой продукции за отчетный месяц t;
– количество реализованной продукции j за отчетный месяц t.20. Средняя цена реализации по группе, категории, подкатегории, виду и подвиду сельскохозяйственной продукции по республике и областям за отчетный месяц определяется с применением формулы, указанной в пункте 19 настоящей Методики.
21. Средняя цена реализации за период нарастающим итогом с начала года по группе, категории, подкатегории, виду и подвиду сельскохозяйственной продукции по республике и областям определяется, исходя из средних цен, рассчитанных за каждый месяц года и объема реализованной продукции за соответствующий период по группе, категории, подкатегории, виду и подвиду сельскохозяйственной продукции по формуле, указанной в пункте 19 настоящей Методики.
Глава 7. Расчет сводных индексов цен производителей сельскохозяйственной продукции к различным периодам
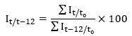
22. На основе месячных сводных индексов цен производителей сельскохозяйственной продукции осуществляется расчет сводных индексов цен производителей сельскохозяйственной продукции к различным периодам.
Расчет сводных индексов цен производителей сельскохозяйственной продукции к различным периодам осуществляется по республике в целом и областям по:
- видам экономической деятельности (подклассам, классам и группам 011, 012, 013, 014 ОКРБ 005-2011);
- группам, категориям, подкатегориям, видам, подвидам сельскохозяйственной продукции;
- собирательной группировке «Растениеводство».
23. Сводный индекс цен производителей сельскохозяйственной продукции к декабрю предыдущего года рассчитывается цепным методом, то есть перемножением месячных индексов цен.
Пример. Сводный индекс цен производителей сельскохозяйственной продукции за февраль текущего года по отношению к декабрю предыдущего года будет рассчитываться по формуле:
(6)где:
– сводный индекс цен производителей сельскохозяйственной продукции за февраль текущего года по отношению к декабрю предыдущего года;
– сводный индекс цен производителей сельскохозяйственной продукции за январь текущего года по отношению к декабрю предыдущего года;
– сводный индекс цен производителей сельскохозяйственной продукции за февраль текущего года по отношению к январю текущего года.Сводный индекс цен производителей сельскохозяйственной продукции за март текущего года по отношению к декабрю предыдущего года будет рассчитываться по формуле:
(7)где:
– сводный индекс цен производителей сельскохозяйственной продукции за март текущего года по отношению к декабрю предыдущего года;
– сводный индекс цен производителей сельскохозяйственной продукции за февраль текущего года по отношению к декабрю предыдущего года;
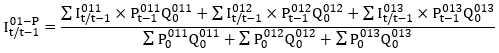
– сводный индекс цен производителей сельскохозяйственной продукции за март текущего года по отношению к февралю текущего года.24. Для расчета сводных индексов цен производителей сельскохозяйственной продукции за отчетный месяц к соответствующему месяцу предыдущего года необходимы месячные сводные индексы цен производителей сельскохозяйственной продукции к одной постоянной базе за два года, которые получают путем последовательного перемножения месячных сводных индексов цен производителей сельскохозяйственной продукции. В качестве постоянной базы принимается декабрь года, предшествующего предыдущему. Расчет сводных индексов цен производителей сельскохозяйственной продукции за отчетный месяц к соответствующему месяцу предыдущего года производится по формуле:
(8)где:
– сводный индекс цен производителей сельскохозяйственной продукции за отчетный месяц t текущего года к соответствующему месяцу предыдущего года t-12;
– сводный индекс цен производителей сельскохозяйственной продукции за отчетный месяц t текущего года к декабрю года, предшествующего предыдущему t0;
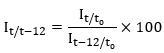
– сводный индекс цен производителей сельскохозяйственной продукции за соответствующий месяц t-12 предыдущего года к декабрю года, предшествующего предыдущему t0.25. Для расчета сводных индексов цен производителей сельскохозяйственной продукции за отчетный период к соответствующему периоду предыдущего года необходимы месячные сводные индексы цен к одной постоянной базе за два смежных года, то есть к декабрю года, предшествующего предыдущему году. Расчет сводных индексов цен производителей сельскохозяйственной продукции за отчетный период к соответствующему периоду предыдущего года производится по формуле:
(9)где:
– сводный индекс цен производителей сельскохозяйственной продукции за отчетный период t текущего года к соответствующему периоду прошлого года t-12;
– суммарное значение месячных сводных индексов цен производителей сельскохозяйственной продукции текущего периода t к декабрю года, предшествующего предыдущему t0;
– суммарное значение месячных сводных индексов цен производителей сельскохозяйственной продукции за соответствующий период t-12 предыдущего года к декабрю года, предшествующего предыдущему t0.Условные примеры расчетов индексов цен производителей сельскохозяйственной продукции к различным периодам и средних цен приведены согласно приложениям 1-4 к настоящей Методике.
Примечание. Терминология, применяемая в настоящей Методике, используется только органами государственной статистики при расчете сводного индекса цен и средних цен производителей сельскохозяйственной продукции.
Приложение 1
к Методике по расчету сводного индекса цен и средних цен производителей сельскохозяйственной продукции
Условный пример расчета сводного индекса цен производителей сельскохозяйственной продукции к декабрю предыдущего года
Сводные индексы цен производителей сельскохозяйственной продукции за два смежных года, исчисленные по отношению к предыдущему месяцу:
в процентах
Месяц года Индексы цен производителей сельскохозяйственной продукции за отчетный год предыдущий год Январь 100,5 111,6 Февраль 100,9 101,8 Март 100,1 101,3 Апрель 102,0 102,6 Май 102,2 101,7 Июнь 101,6 100,4 Июль 103,2 101,8 Август 99,6 101,4 Сентябрь 101,5 101,1 Октябрь 109,7 101,6 Ноябрь 101,4 100,9 Декабрь 100,6 101,6 Расчет сводного индекса цен производителей сельскохозяйственной продукции к декабрю предыдущего года осуществляется согласно пункту 23 настоящей Методики.
В результате получаем следующий ряд сводных индексов цен производителей сельскохозяйственной продукции:
в процентах
Месяц года Индексы цен производителей сельскохозяйственной продукции к декабрю предыдущего года за отчетный год предыдущий год Январь 100,5 111,6 Февраль (100,5 × 100,9) / 100 = 101,4 (111,6 × 101,8) / 100 = 113,6 Март (101,4 × 100,1) / 100 = 101,5 (113,6 × 101,3) / 100 = 115,1 Апрель (101,5 × 102,0) / 100 = 103,5 (115,1 × 102,6) / 100 = 118,1 Май (103,5 × 102,2) / 100 = 105,8 (118,1 × 101,7) / 100 = 120,1 Июнь (105,8 × 101,6) / 100 = 107,5 (120,1 × 100,4) / 100 = 120,6 Июль (107,5 × 103,2) / 100 = 110,9 (120,6 × 101,8) / 100 = 122,8 Август (110,9 × 99,6) / 100 = 110,5 (122,8 × 101,4) / 100 = 124,5 Сентябрь (110,5 × 101,5) / 100 = 112,2 (124,5 × 101,1) / 100 = 125,9 Октябрь (112,2 × 109,7) / 100 = 123,1 (125,9 × 101,6) / 100 = 127,9 Ноябрь (123,1 × 101,4) / 100 = 124,8 (127,9 × 100,9) / 100 = 129,1 Декабрь (124,8 × 100,6) / 100 = 125,5 (129,1 × 101,6) / 100 = 131,2 Приложение 2
к Методике по расчету сводного индекса цен и средних цен производителей сельскохозяйственной продукции
Условный пример расчета сводного индекса цен производителей сельскохозяйственной продукции к соответствующему месяцу предыдущего года
Для расчета сводного индекса цен производителей сельскохозяйственной продукции за отчетный месяц к соответствующему месяцу предыдущего года необходимо иметь сводные индексы цен производителей сельскохозяйственной продукции за отчетный и предыдущий годы, рассчитанные к одному базисному периоду.
В качестве базисного периода принимаем декабрь года, предшествующего предыдущему. Путем последовательного перемножения месячных сводных индексов цен производителей сельскохозяйственной продукции получаем сводные индексы цен производителей сельскохозяйственной продукции за отчетный и предыдущий годы, рассчитанные к декабрю года, предшествующего предыдущему. В результате получаем следующий ряд индексов цен производителей сельскохозяйственной продукции:
в процентах
Месяц года Индексы цен производителей сельскохозяйственной продукции к декабрю года, предшествующего предыдущему за отчетный год предыдущий год Январь (131,2 × 100,5) / 100 = 131,9 111,6 Февраль (131,9 × 100,9) / 100 = 133,1 113,6 Март (133,1 × 100,1) / 100 = 133,2 115,1 Апрель (133,2 × 102,0) / 100 = 135,9 118,1 Май (135,9 × 102,2) / 100 = 138,9 120,1 Июнь (138,9 × 101,6) / 100 = 141,1 120,6 Июль (141,1 × 103,2) / 100 = 145,6 122,8 Август (145,6 × 99,6) / 100 = 145,0 124,5 Сентябрь (145,0 × 101,5) / 100 = 147,2 125,9 Октябрь (147,2 × 109,7) / 100 = 161,5 127,9 Ноябрь (161,5 × 101,4) / 100 = 163,8 129,1 Декабрь (163,8 × 100,6) / 100 = 164,8 131,2 Расчет сводного индекса цен производителей сельскохозяйственной продукции за отчетный месяц к соответствующему месяцу предыдущего года осуществляется по формуле, указанной в пункте 24 настоящей Методики.
В результате получаем следующий ряд индексов цен производителей сельскохозяйственной продукции:
в процентах
Отчетный период К соответствующему месяцу предыдущего года Январь (131,9 / 111,6) × 100 = 118,2 Февраль (133,1 / 113,6) × 100 = 117,2 Март (133,2 / 115,1) × 100 = 115,7 Апрель (135,9 / 118,1) × 100 = 115,1 Май (138,9 / 120,1) × 100 = 115,7 Июнь (141,1 / 120,6) × 100 = 117,0 Июль (145,6 / 122,8) × 100 = 118,6 Август (145,0 / 124,5) × 100 = 116,5 Сентябрь (147,2 / 125,9) × 100 = 116,9 Октябрь (161,5 / 127,9) × 100 = 126,3 Ноябрь (163,8 / 129,1) × 100 = 126,9 Декабрь (164,8 / 131,2) × 100 = 125,6 Приложение 3
к Методике по расчету сводного индекса цен и средних цен производителей сельскохозяйственной продукции
Условный пример расчета сводного индекса цен производителей сельскохозяйственной продукции к соответствующему периоду предыдущего года
Сводный индекс цен производителей сельскохозяйственной продукции за отчетный период по отношению к соответствующему периоду предыдущего года рассчитывается по формуле, указанной в пункте 25 настоящей Методики.
в процентах
Отчетный период К соответствующему периоду предыдущего года Январь (131,9 / 111,6) × 100 = 118,2 Январь-февраль (131,9 + 133,1) / (111,6 + 113,6) × 100 = 117,7 Январь-март (131,9 + 133,1 + 133,2) / (111,6 + 113,6 + 115,1) × 100 = 117,0 и т.д. Январь-апрель 116,5 Январь-май 116,3 Январь-июнь 116,4 Январь-июль 116,8 Январь-август 116,7 Январь-сентябрь 116,7 Январь-октябрь 117,8 Январь-ноябрь 118,6 Январь-декабрь 119,3 Приложение 4
к Методике по расчету сводного индекса цен и средних цен производителей сельскохозяйственной продукции
Условный пример расчета средних цен производителей сельскохозяйственной продукции
Средняя цена реализации товара-представителя за отчетный месяц рассчитывается как средневзвешенная величина по формуле, указанной в пункте 19 настоящей Методики.
Пример расчета средних цен по товару «овес» за месяц.
в рублях
Наименование товара-представителя Реализовано продукции, тонн Средняя цена за единицу, рублей Цена за реализованную продукцию, рублей Средняя цена, рублей 1 2 3 4=2×3 5=4/2 семена овса: суперэлита 1,050 286,50 300,83 семена овса: элита 1,800 273,74 492,73 семена овса: 1 репродукции 0,360 290,93 104,73 семена овса (1,050 + 1,800 + 0,360) = 3,210 (300,83 + 492,73 + 104,73) = 898,29 279,84 зерно овса: 1 класса 0,000 0,00 0,00 зерно овса: 2 класса 0,000 0,00 0,00 зерно овса: 3 класса 298,596 198,57 59292,21 зерно овса: фуражное 66,235 187,00 12385,95 зерно овса (298,596 + 66,235) = 364,831 (59292,21 + 12385,95) = 71678,16 196,47 овес (3,210 + 364,831) = 368,041 (898,29 + 71678,16) = 72576,45 197,20 Пример расчета средних цен по товару «овес» за период с начала года.
в рублях
Месяц Наименование товара-представителя Реализовано продукции, тонн Средняя цена за единицу, рублей Цена за реализованную продукцию, рублей Средняя цена, рублей 1 2 3 4 5=3х4 6=5/3 Январь семена овса 3,210 279,84 898,29 Январь зерно овса 364,831 196,47 71678,16 Январь овес (3,210 + 364,831) = 368,041 (898,29 + 71678,16) = 72576,45 197,20 Январь семена овса 12,708 1241,17 15772,79 Февраль семена овса 3,100 1460,98 4529,04 Январь-февраль семена овса (12,708 + 3,100) = 15,808 (15772,79 + 4529,04) = 20301,83 1284,28 Январь зерно овса 675,404 2630,68 1776771,79 Февраль зерно овса 1251,584 2403,89 3008670,26 Январь-февраль зерно овса (675,404 + 1251,584) = 1926,988 (1776771,79 + 3008670,26) = 4785442,05 2483,38 Январь-февраль овес (15,808 + 1926,988) = 1942,796 (20301,83 + 4785442,05) = 4805743,88 2473,62