Методика по расчету сводного индекса цен производителей промышленной продукции
- Содержание
- Глава 1. Общие положения
- Глава 2. Исходная информация для расчета сводного индекса цен производителей
- Глава 3. Расчет индивидуального индекса цен производителей
- Глава 4. Формирование системы весов
- Глава 5. Расчет сводного индекса цен производителей
- Глава 6. Расчет сводных индексов цен производителей к различным периодам
- Приложение 1
- Приложение 2
- Приложение 3
- Приложение 4
- Приложение 5
- Приложение 6
Глава 1. Общие положения
1. Настоящая Методика устанавливает порядок расчета сводного индекса цен производителей промышленной продукции (услуг).
2. В настоящей Методике используются следующие основные термины и их определения:
агрегатный индекс цен – относительный статистический показатель, характеризующий изменение цен по отдельной подгруппе, группе продукции или изучаемому явлению в целом и формируется на основе индивидуальных индексов цен;
базисный год – год, в котором объем отгруженной промышленной продукции (оказанной услуги промышленного характера) в стоимостном выражении используется для отбора базовых организаций и товаров (услуг)-представителей для выборочного государственного статистического наблюдения за ценами производителей промышленной продукции (далее – наблюдение за ценами производителей);
базисный период индекса – период, для которого значение индекса устанавливается равным 100%, или 1,0;
базовая организация – репрезентативно отобранная организация для наблюдения за ценами производителей;
вес товара (услуги)-представителя – объем отгруженной промышленной продукции (оказанной услуги) по товару (услуге)-представителю в стоимостном выражении за базисный год;
вес индекса цен производителей промышленной продукции (услуг) (далее – вес индекса цен производителей) – объем отгруженной промышленной продукции (услуг) на внутренний рынок республики и на экспорт в стоимостном выражении по видам экономической деятельности за базисный год;
выборочная совокупность – часть генеральной совокупности, отобранная для наблюдения за ценами производителей, которая должна быть представительной (репрезентативной), полно и адекватно отражать свойства и пропорции генеральной совокупности;
инвестиционные товары – товары, сохраняющие неизменную натуральную форму в течение длительного (более одного года) периода времени и используемые для производства товаров, оказания рыночных и нерыночных услуг;
индекс цен производителей промышленной продукции (услуг) (далее – индекс цен производителей) – относительный статистический показатель, характеризующий изменение цен производителей на промышленную продукцию (услугу) во времени (индекс динамики) или соотношение цен в пространстве (территориальный индекс);
индивидуальный индекс цен производителей – отношение цены (тарифа) конкретного товара (услуги) в отчетном периоде времени к цене (тарифу) того же товара (услуги) в базисном периоде;
потребительские товары – товары, используемые населением, как правило, для личного и общесемейного потребления;
продукция производственно-технического назначения – продукция, предназначенная для производственного потребления, для оказания услуг в сфере материального производства и сфере нематериальных услуг (включает инвестиционные и промежуточные товары);
промежуточные товары – товары, предназначенные для использования в процессе производства товаров и оказания услуг и полностью переносящие свою стоимость на готовую продукцию в течение одного производственного цикла;
сводный индекс цен производителей – соотношение уровней цен по совокупности различной продукции (услуг), исчисляемый по формуле агрегатного индекса цен;
товар-представитель – конкретный товар, представитель товарной группы или товарная группа, отобранные для наблюдения за ценами производителей;
товарная группа – совокупность однородных товаров-представителей;
услуга-представитель – конкретная услуга промышленного характера, отобранная для наблюдения за ценами производителей;
цена (тариф) производителя промышленной продукции (услуги) (далее – цена производителя) – цена, по которой организация реализует свою продукцию (оказывает услугу) другим организациям. Цена производителя не включает налог на добавленную стоимость, акцизы, другие налоги, платежи из выручки и расходы по транспортировке, погрузке и разгрузке продукции. Цена производителя на промышленную продукцию, отгруженную на экспорт, также не должна включать в себя таможенную пошлину и другие сборы, не входящие в себестоимость.
3. Сводный индекс цен производителей рассчитывается в целом по промышленной продукции (услугам), а также отдельно на продукцию (услуги), отгруженную (оказанные) на внутренний рынок, и продукцию, отгруженную на экспорт по видам экономической деятельности, по продукции производственно-технического назначения, инвестиционным, промежуточным, потребительским товарам, отдельным товарам и товарным группам. Расчет сводного индекса цен производителей осуществляется Национальным статистическим комитетом Республики Беларусь (далее – Белстат) ежемесячно в разрезе областей (города Минска) и по республике в целом, а также к различным периодам.
4. Сводный индекс цен производителей отражает динамику цен (тарифов) на товары (услуги), отгруженные (оказанные) организациями республики, без учета налога на добавленную стоимость, акцизов и других налогов и платежей из выручки.
5. Сводный индекс цен производителей используется для осуществления экономического мониторинга, прогнозирования, сопоставлений, проводимых государственными органами и международными организациями; в качестве дефляторов при определении объемов производства в условиях инфляции; для формирования статистических показателей (коэффициентов переоценки основных фондов, индексов цен на оборудование в составе элементов технологической структуры строительного производства и других).
Глава 2. Исходная информация для расчета сводного индекса цен производителей
6. Для расчета сводного индекса цен производителей используются:
- индивидуальные индексы цен производителей по каждому товару (услуге)-представителю;
- веса товаров (услуг)-представителей и индексов цен производителей.
7. Исходной информационной базой для расчета индивидуальных индексов цен производителей являются первичные статистические данные о ценах производителей по форме государственной статистической отчетности 12-цены (производителей) «Отчет о ценах производителей промышленной продукции (услуг)» (далее – форма 12-цены (производителей)).
8. В качестве веса на всех уровнях агрегирования сводного индекса цен производителей используется стоимость отгруженной промышленной продукции, оказанной услуги.
Информационной базой для формирования системы весов индексов цен производителей является официальная статистическая информация в стоимостном выражении об:
- объеме отгруженной промышленной продукции (работ, услуг) по форме государственной статистической отчетности 4-у «Отчет о видах экономической деятельности организации»;
- объеме производства продукции (работ, услуг) по форме государственной статистической отчетности 1-мп «Отчет о финансово-хозяйственной деятельности малой организации».
Построение системы весов осуществляется Белстатом в целом по республике и областям (городу Минску).
Глава 3. Расчет индивидуального индекса цен производителей
9. Основными принципами расчета сводного индекса цен производителей является неизменное качество и количество товаров (услуг)-представителей выборочной совокупности. В целях соблюдения этих принципов расчет индивидуального индекса цен производителей осуществляется поэтапно.
На первом этапе расчета индивидуального индекса цен производителей анализируются все причины изменения цен по каждому товару (услуге)-представителю.
10. В случае, когда вместо отобранного товара-представителя стал выпускаться товар другого вида и месячные индексы цен по этим товарам практически не отличаются, происходит замена одного вида товара-представителя на другой. При несущественном изменении качества «нового» товара у него остается вес того товара, который он заменил. Вес товара-представителя остается неизменным.
11. В случае, когда качество «нового» и «старого» товаров-представителей отличается, необходимо исключить влияние на индекс цен производителей изменения качества.
Поправки на качество предполагают применение:
- метода условных исчислений по аналогичным товарам-представителям;
- метода совмещения;
- метода прямого сопоставления.
Метод условных исчислений по аналогичным товарам-представителям предполагает, что цены на все присутствующие аналогичные товары-представители изменяются таким же образом, как и цена отсутствующего товара-представителя.
Метод совмещения применяется, когда «новый» товар-представитель и отсутствующий товар-представитель производились (отгружались) в тот же период. Разница в цене между новым и отсутствующим товаром-представителем в период замещения используется в качестве показателя различия качества.
Метод прямого сопоставления применяется, когда «новый» товар-представитель является непосредственно сопоставимым, то есть имеющим похожие характеристики. В этом случае цена «нового» товара-представителя заменяет цену отсутствующего товара-представителя. При этом разница в цене между «новым» и отсутствующим товаром-представителем обусловлена изменением цены, а не различиями в качестве.
12. При анализе причин изменения цен на услуги-представители в случаях оказания услуги другого вида для сопоставимости цен используются аналогичные методы, изложенные в пунктах 10 и 11 настоящей Методики.
13. Для соблюдения принципа неизменного количества товаров (услуг)-представителей выборочной совокупности на втором этапе расчета индивидуального индекса цен производителей осуществляется анализ причин отсутствия цен на товары (услуги)-представители. При отсутствии товара (услуги)-представителя в течение определенного периода времени необходимо различать постоянно и временно отсутствующие товары (услуги). Временно отсутствующими товарами (услугами)-представителями являются товары (услуги), которые не отгружались (не оказывались) в отчетном месяце, но будут отгружаться (оказываться) в последующие месяцы. К временно отсутствующим товарам (услугам)-представителям относятся также сезонные товары (услуги).
Для временно отсутствующих товаров (услуг)-представителей рассчитываются условные цены. Расчет условных цен осуществляется до тех пор, пока не будут получены первичные статистические данные о фактических ценах.
14. Наиболее простой метод определения условного значения цены временно отсутствующего товара (услуги)-представителя состоит в сохранении цены этого товара (услуги)-представителя за предыдущий период без изменения. Данный метод не применяется в течение продолжительного (более шести месяцев) периода времени.
15. Другим методом расчета условных цен для временно отсутствующего товара-представителя, позволяющим обеспечить непрерывность индексных рядов, является применение индекса цен на группу аналогичных товаров-представителей. Расчет условной цены производится путем умножения цены отсутствующего товара-представителя за предыдущий период на индекс цен производителей, рассчитанный на группу аналогичных товаров-представителей за отчетный период по сравнению с предыдущим. Для расчета условных цен по временно отсутствующей услуге-представителю может использоваться индекс цен на аналогичные виды фактически оказанных услуг другими организациями.
Если отсутствующий товар (услуга)-представитель является единичным товаром (услугой), то есть аналогов в перечне товаров (услуг)-представителей не имеет, для расчета условных цен могут использоваться индексы цен более высокого уровня агрегации, то есть по подклассу, классу, группе, разделу общегосударственного классификатора Республики Беларусь ОКРБ 005-2011 «Виды экономической деятельности», утвержденного постановлением Государственного комитета по стандартизации Республики Беларусь от 5 декабря 2011 г. № 85 «Об утверждении, введении в действие общегосударственного классификатора Республики Беларусь» (Национальный реестр правовых актов, 2012 г., № 43, 8/24941) (далее – ОКРБ 005-2011), к которому относится производство (оказание) данного товара (услуги)-представителя.
16. Постоянно отсутствующими товарами (услугами)-представителями являются товары (услуги), производство (оказание) которых прекращено.
В этом случае необходимо произвести замену товара (услуги)-представителя. При невозможности произвести замену постоянно отсутствующего товара (услуги)-представителя, он исключается из наблюдения за ценами производителей, и соответственно, пересчитываются сводные индексы цен производителей за предшествующие месяцы, включая базисный год.
17. Если «новый» товар (услуга)-представитель включается в выборочную совокупность товаров (услуг)-представителей в качестве заменяющего «старый» товар (услугу)-представитель, то пересмотр весов товаров (услуг)-представителей не производится.
18. На основании первичных статистических данных о ценах производителей по форме 12-цены (производителей) рассчитывается индивидуальный индекс цен производителей по конкретному товару (услуге)-представителю по формуле:
(1)где:
– индивидуальный индекс цен производителей по конкретному товару (услуге)-представителю за отчетный месяц t по сравнению с предыдущим месяцем t-1;
– цена j-ого товара (услуги)-представителя за отчетный месяц t, рублей;
– цена j-ого товара (услуги)-представителя за предыдущий месяц t-1, рублей.19. Для расчета средней цены по товарам (услугам), группам товаров используется формула средней геометрической:
(2)где:
– средняя цена по виду продукции j в период n;p1, p2, …, pk – цены товаров (услуг)-представителей продукции j в период n;
k – количество товаров (услуг)-представителей.
В обязательном порядке принимается во внимание равенство количества котировок цен в сравниваемых периодах. То есть, в зависимости от периода сравнения kn = kn-1, либо kn = k0.
Глава 4. Формирование системы весов
20. Использование в качестве весов на всех уровнях агрегирования индекса цен производителей стоимости отгруженной промышленной продукции позволяет одновременно учитывать долю продукции (услуг) в областной специализации и общереспубликанском объеме промышленного производства. Стоимость отгруженной продукции определяется в фактических отпускных ценах на продукцию без налога на добавленную стоимость, акцизов и других налогов и платежей из выручки за базисный год.
Первоначально на базе официальной статистической информации об объемах отгруженной продукции (оказанных услугах) формируется система весов по республике и областям (городу Минску) в целом по промышленной продукции (услугам), а так же отдельно на продукцию (услуги), отгруженную (оказанные) на внутренний рынок, и продукцию, отгруженную на экспорт по видам экономической деятельности, по инвестиционным, промежуточным и потребительским товарам.
21. Для точности расчетов индексов цен производителей необходимо, чтобы базисный год весов и базисный период индекса цен относились к одному и тому же временному отрезку. Стоимость отгруженной продукции для весов индекса цен производителей исчисляется в ценах, сложившихся в среднем за период с начала года, а сравнение цен производится с ценой за декабрь предыдущего года. Их увязка (согласованность) и переход от среднегодовой структуры объема отгруженной продукции в стоимостном выражении к аналогичной структуре в ценах декабря осуществляется путем применения поправочного коэффициента.
22. Для расчета поправочного коэффициента используется ряд месячных индексов цен производителей за базисный год к декабрю предыдущего года. Поправочный коэффициент представляет собой частное от деления значения индекса цен за декабрь и среднего арифметического значения индексов цен за весь базисный год:
(3)где:
– индекс цен за декабрь базисного года;
– индексы цен по месяцам базисного года.Поправочный коэффициент рассчитывается по разделам ОКРБ 005-2011 (двухзначный уровень) и применяется для каждой нижестоящей ступени агрегации – подкласс, класс, группа.
Скорректированная стоимость по видам экономической деятельности рассчитывается умножением объема отгруженной продукции в стоимостном выражении за базисный год на поправочный коэффициент, которая затем суммируется по нарастанию уровней агрегации.
23. Сумма весов по определяемому разделу будет уже не равна сумме входящих в нее первоначальных стоимостей по видам экономической деятельности, поэтому полученную скорректированную стоимость требуется нормализовать (преобразовать).
Для этого, исходя из полученных скорректированных стоимостей, находятся удельные веса по каждому виду экономической деятельности в общей стоимости в целом по разделу, и пропорционально им распределяется данная стоимость. Полученные таким образом стоимости являются окончательными и используются в качестве весов при расчете сводного индекса цен производителей.
24. Система весов остается постоянной на определенный период времени (в течение года и более) с тем, чтобы сводный индекс цен производителей отражал только изменение цен.
Глава 5. Расчет сводного индекса цен производителей
25. Сводные индексы цен производителей рассчитываются на основании индивидуальных индексов цен производителей по конкретным товарам (услугам)-представителям.
Сводный индекс цен производителей рассчитывается в целом по промышленной продукции (услугам), а также отдельно на продукцию (услуги), отгруженную (оказанные) на внутренний рынок, и продукцию, отгруженную на экспорт по:
- подклассам, классам, группам, разделам, подсекциям ОКРБ 005-2011;
- секциям В «Горнодобывающая промышленность», С «Обрабатывающая промышленность», D «Снабжение электроэнергией, газом, паром, горячей водой и кондиционированным воздухом», Е «Водоснабжение; сбор, обработка и удаление отходов, деятельность по ликвидации загрязнений» ОКРБ 005-2011;
- инвестиционным, промежуточным и потребительским товарам;
- продукции производственно-технического назначения;
- отдельным товарам.
26. Индивидуальные индексы цен по конкретным товарам (услугам)-представителям, в соответствии с иерархической структурой классификации и с использованием соответствующих весов, объединяются в индексы цен более высокого уровня – агрегатные индексы цен.
Для расчетов агрегатных индексов цен используется модифицированный вариант формулы Ласпейреса, позволяющий исчислять изменение цен на основе последовательных наблюдений цен.
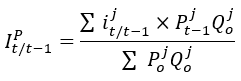
Первоначально рассчитывается сводный индекс цен производителей по самому низкому уровню классификации видов экономической деятельности – подклассу ОКРБ 005-2011 по формуле агрегатного индекса цен:
(4)где:
– сводный индекс цен производителей по подклассу вида экономической деятельности P за отчетный месяц t по сравнению с предыдущим периодом t-1;
– индивидуальный индекс цен производителей j-ого товара (услуги)-представителя за отчетный месяц t по сравнению с предыдущим периодом t-1;
– стоимость отгруженной продукции в ценах базисного периода по товарам-представителям подкласса вида экономической деятельности P;
– стоимость отгруженной продукции в предыдущем месяце по товарам-представителям подкласса вида экономической деятельности P.27. Расчет сводных индексов цен производителей по классам, группам, разделам, подсекциям, секциям ОКРБ 005-2011 производится по формуле, указанной в пункте 26 настоящей Методики.
В качестве весов индексов цен производителей применяются соответствующие объемы отгруженной продукции (работ, услуг) в стоимостном выражении по классам, группам, разделам, подсекциям, секциям ОКРБ 005-2011 за базисный год.
28. Сводный индекс цен производителей по промышленной продукции в целом рассчитывается как средневзвешенный индекс цен производителей по секциям В «Горнодобывающая промышленность», С «Обрабатывающая промышленность», D «Снабжение электроэнергией, газом, паром, горячей водой и кондиционированным воздухом», Е «Водоснабжение; сбор, обработка и удаление отходов, деятельность по ликвидации загрязнений» ОКРБ 005-2011 по формуле, указанной в пункте 26 настоящей Методики.
29. Расчет сводных индексов цен производителей по промышленной продукции, отгруженной на внутренний рынок и на экспорт, производится по формуле, указанной в пункте 26 настоящей Методики.
30. Основным принципом распределения товаров на инвестиционные, промежуточные и потребительские товары является фактическое их использование.
К инвестиционным товарам отнесены машины и оборудование, измерительные и регулирующие приборы и устройства, вычислительная техника, оргтехника, информационные системы, транспортные средства, инструмент, производственный и хозяйственный инвентарь. Перечень видов экономической деятельности, производство продукции по которым отнесено к группе инвестиционных товаров, приведен согласно Приложению 1 к настоящей Методике.
31. К промежуточным товарам отнесены товары, предназначенные для получения какого-либо вида энергии, использования в качестве топлива, специфических процессов переработки или химических превращений с целью производства энергоносителей (например, нефть), а также собственно электроэнергия; товары, приобретаемые для первичной обработки или использования в процессе производства для изготовления из них конечной продукции (сырье, материалы и полуфабрикаты) и оказания услуг, а также некоторые готовые товары, в том числе отдельные предметы в составе оборотных средств, используемые для организации процесса производства продукции или оказания услуг. Перечень видов экономической деятельности, производство продукции по которым отнесено к группе промежуточных товаров, приведен согласно Приложению 2 к настоящей Методике.
32. К потребительским товарам отнесены готовые продукты питания и товары, которые могут непосредственно употребляться в пищу (мясо, рыба, мука, овощи, фрукты и так далее) или использоваться для производства других продуктов питания (консервирования, изготовления колбасных, кондитерских изделий, соков и так далее), а также одежда и обувь, предметы домашнего обихода, бытовая техника. Перечень видов экономической деятельности, производство продукции по которым отнесено к группе потребительских товаров, приведен согласно Приложению 3 к настоящей Методике.
33. Расчет индексов цен производителей по инвестиционным товарам, промежуточным товарам и потребительским товарам производится по формуле, указанной в пункте 26 настоящей Методики.
34. Расчет сводного индекса цен производителей по продукции производственно-технического назначения производится по формуле:

(5)
где:
– сводный индекс цен производителей по продукции производственно-технического назначения за отчетный период t по сравнению с предыдущим периодом t-1;
– сводный индекс цен производителей по инвестиционным товарам за отчетный период t по сравнению с предыдущим периодом t-1;
– сводный индекс цен производителей по промежуточным товарам за отчетный период t по сравнению с предыдущим периодом t-1;
– удельный вес стоимости инвестиционных товаров в стоимости продукции производственно-технического назначения за базисный год;
– удельный вес стоимости промежуточных товаров в стоимости продукции производственно-технического назначения за базисный год.35. Расчет сводных индексов цен производителей по отдельным товарам производится по формуле, указанной в пункте 26 настоящей Методики.
36. По разделу 33 «Ремонт, монтаж машин и оборудования» ОКРБ 005-2011 сводный индекс цен производителей рассчитывается как средневзвешенный индекс цен производителей по разделам 25 «Производство готовых металлических изделий, кроме машин и оборудования», 26 «Производство вычислительной, электронной и оптической аппаратуры», 27 «Производство электрооборудования», 28 «Производство машин и оборудования, не включенных в другие группировки» и 30 «Производство прочих транспортных средств и оборудования» ОКРБ 005-2011.
Глава 6. Расчет сводных индексов цен производителей к различным периодам
37. На основе месячных сводных индексов цен производителей осуществляется расчет сводных индексов цен производителей к различным периодам.
Расчет сводных индексов цен производителей к различным периодам осуществляется по республике и областям (городу Минску) в целом по промышленной продукции (услугам), а также отдельно на продукцию, отгруженную на внутренний рынок и на экспорт по:
- видам экономической деятельности;
- инвестиционным, промежуточным и потребительским товарам;
- продукции производственно-технического назначения;
- отдельным товарам.
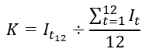
38. Сводный индекс цен производителей к декабрю предыдущего года рассчитывается цепным методом, то есть перемножением месячных сводных индексов цен производителей.
39. Для расчета сводных индексов цен производителей за отчетный месяц к соответствующему месяцу предыдущего года необходимы месячные сводные индексы цен производителей к одной постоянной базе за два года, которые получают путем последовательного перемножения месячных сводных индексов цен производителей. В качестве постоянной базы принимается декабрь года, предшествующего предыдущему. Расчет сводных индексов цен производителей за отчетный месяц к соответствующему месяцу предыдущего года производится по формуле:
(6)где:
– сводный индекс цен производителей за отчетный месяц t текущего года к соответствующему месяцу предыдущего года t-12;
– сводный индекс цен производителей за отчетный месяц t текущего года к декабрю года, предшествующего предыдущему t0;
– сводный индекс цен производителей за соответствующий месяц t-12 предыдущего года к декабрю года, предшествующего предыдущему t0.40. Для расчета сводных индексов цен производителей за отчетный период к соответствующему периоду предыдущего года необходимы месячные сводные индексы цен к одной постоянной базе за два смежных года, то есть к декабрю предшествующего предыдущему года. Расчет сводных индексов цен производителей за отчетный период к соответствующему периоду предыдущего года производится по формуле:
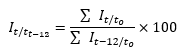
(7)где:
– сводный индекс цен производителей за отчетный период t текущего года к соответствующему периоду прошлого года t-12;
– суммарное значение месячных сводных индексов цен производителей текущего периода t к декабрю года, предшествующего предыдущему t0;∑
– суммарное значение месячных сводных индексов цен производителей за соответствующий период t-12 предыдущего года к декабрю года, предшествующего предыдущему t0.Условные примеры расчетов индексов цен производителей к различным периодам приведены в приложениях 4 – 6 к настоящей Методике.
Примечание. Терминология, применяемая в настоящей Методике, используется только органами государственной статистики для расчета сводного индекса цен производителей промышленной продукции.
Приложение 1
к Методике по расчету сводного индекса цен производителей промышленной продукции
Перечень видов экономической деятельности, производство продукции по которым отнесено к группе инвестиционных товаров
Код вида экономической деятельности Наименование вида экономической деятельности 25210 Производство радиаторов и котлов центрального отопления (кроме частей радиаторов и котлов центрального отопления) 25290 Производство металлических цистерн, резервуаров и контейнеров 25300 Производство паровых и водогрейных котлов, кроме котлов центрального отопления (кроме частей и вспомогательного оборудования для котлов) 25731 Производство ручных инструментов для использования в сельском и лесном хозяйстве 25739 Производство прочих инструментов 25910 Производство металлических бочек и аналогичных емкостей 25991 Производство металлического санитарно-технического оборудования 25999 Производство прочих готовых металлических изделий, не включенных в другие группировки (в части производства сейфов, бронированных дверей, несгораемых шкафов, винтов, лопастей, якорей для судов, колоколов, металлических лестниц, металлических знаков, включая дорожные знаки) 26200 Производство компьютеров и периферийного оборудования 26300 Производство коммуникационного оборудования 26510 Производство инструментов и приборов для измерения, тестирования и навигации 26600 Производство облучающего, электромедицинского и электротерапевтического оборудования 26701 Производство оптических приборов 26702 Производство фото- и кинооборудования 27110 Производство электродвигателей, генераторов и трансформаторов 27903 Производство электросигнального оборудования 27909 Производство прочего электрооборудования, не включенного в другие группировки 28110 Производство двигателей и турбин, кроме авиационных, автомобильных и мотоциклетных двигателей (кроме частей двигателей внутреннего сгорания: поршней, поршневых колец, карбюраторов, впускных и выпускных клапанов и тому подобное; частей турбин) 28120 Производство гидравлического и пневматического оборудования (кроме производства гидравлических и пневматических узлов и агрегатов, включая гидравлические помпы, насосы, гидравлические и пневматические двигатели, гидравлические и пневматических цилиндры, клапаны, шланги и соединительные детали) 28130 Производство прочих насосов и компрессоров (кроме насосов для двигателей внутреннего сгорания: масляных, водяных и топливных насосов для автомобилей) 28210 Производство печей, горелок, устройств для них (кроме частей печей и горелок) 28221 Производство лифтов 28222 Производство оборудования непрерывного транспорта (кроме частей оборудования непрерывного транспорта) 28229 Производство прочего подъемного и такелажного оборудования транспорта (кроме частей подъемного и такелажного оборудования) 28230 Производство офисной техники и оборудования (за исключением компьютеров и периферийного оборудования) (кроме частей и принадлежностей для офисной техники и оборудования, включая картриджи с тонером для копировальных машин) 28240 Производство ручных электрических инструментов 28251 Производство промышленного холодильного оборудования (кроме производства составляющих частей, узлов и агрегатов) 28252 Производство промышленного вентиляционного оборудования 28253 Производство газоочистительного и пылеулавливающего оборудования 28291 Производство весоизмерительного оборудования (кроме производства бытовых весов) 28292 Производство газогенераторов, аппаратов для дистилляции, фильтрования, очистки 28293 Производство машин и оборудования для распыления, разбрызгивания жидкостей, порошков 28294 Производство упаковочных, оберточных машин и оборудования 28299 Производство прочих машин и оборудования общего назначения, не включенных в другие группировки (кроме частей прочих машин и оборудования общего назначения, не включенных в другие группировки) 28301 Производство сельскохозяйственных и лесохозяйственных тракторов (кроме частей сельскохозяйственных и лесохозяйственных тракторов) 28302 Производство машин и оборудования для животноводства, птицеводства, кормопроизводства 28309 Производство прочих машин и оборудования для сельского и лесного хозяйства (кроме частей машин и оборудования для сельского и лесного хозяйства) 28411 Производство станков для обработки металлов, кроме кузнечно-прессового оборудования (кроме частей и принадлежностей для станков обработки металлов) 28412
28491
Производство кузнечно-прессового оборудования (кроме частей и принадлежностей для кузнечно-прессового оборудования)
Производство деревообрабатывающего оборудования
28499 Производство прочих станков и оборудования для обработки твердых материалов, кроме металлов (кроме частей и принадлежностей для станков для обработки твердых материалов, кроме металлов) 28910 Производство машин и оборудования для металлургии 28921
28922
28930
28940
Производство машин и оборудования для добычи полезных ископаемых
Производство машин для строительных, общественных и аналогичных работ
Производство машин и оборудования для производства и переработки продуктов питания, напитков и табачных изделий
Производство машин и оборудования для изготовления текстильных, швейных, меховых и кожаных изделий
28950 Производство машин и оборудования для изготовления бумаги и картона 28960 Производство машин и оборудования для обработки пластмасс и резины 28991 Производство машин и оборудования для производства стекла и изделий из него 28992 Производство машин и оборудования для полиграфических производств 28999
29101
Производство прочих машин и оборудования специального назначения, не включенных в другие группировки
Производство автомобилей, кроме двигателей для автомобилей
29102 Производство двигателей для автомобилей 29201 Производство кузовов для автомобилей 29202 Производство прицепов и полуприцепов 30110 Строительство судов (кроме прогулочных и спортивных) и плавучих сооружений 30120 Строительство прогулочных и спортивных лодок 30200 Производство железнодорожных локомотивов и подвижного состава (кроме специализированных частей и принадлежностей железнодорожных и трамвайных локомотивов и вагонов) 30300 Производство летательных аппаратов, оборудования для них (кроме частей и принадлежностей летательных аппаратов данного подкласса) 30400
30990
Производство военных боевых автомобилей
Производство прочих транспортных средств и оборудования,
не включенных в другие группировки (в части производства гужевых транспортных средств)31010 Производство мебели для офисов и предприятий торговли (кроме частей мебели для офисов и предприятий торговли) 32501 Производство ортопедических приспособлений 32503 Производство медицинской, хирургической, стоматологической и ветеринарной мебели 32509 Производство медицинского и стоматологического оборудования, инструментов и принадлежностей, не включенных в другие группировки Приложение 2
к Методике по расчету сводного индекса цен производителей промышленной продукции
Перечень видов экономической деятельности, производство продукции по которым отнесено к группе промежуточных товаров
Код вида экономической деятельности Наименование вида экономической деятельности 06100 Добыча нефти 06200 Добыча природного газа 07100 Добыча железных руд 07210 Добыча урановой и ториевой руд 07290 Добыча прочих металлических руд 08111 Добыча камня для строительства 08112 Добыча известняка, гипса и мела 08113 Добыча сланцев 08121 Добыча песка и гравия 08122 Добыча глины и каолина 08910 Добыча минерального сырья для химических производств и производства удобрений 08920 Добыча торфа 08930 Добыча соли 08990 Добыча прочих полезных ископаемых, не включенных в другие группировки 10110 Переработка и консервирование мяса (в части производственного потребления) 10120 Переработка и консервирование мяса сельскохозяйственной птицы (в части производственного потребления) 10411 Производство неочищенных масел и жиров 10511 Переработка молока, кроме консервирования, и производство сыров (в части производственного потребления) 10611 Производство муки (в части производственного потребления) 10620 Производство крахмала и продуктов из крахмала 10810 Производство сахара (в части производственного потребления) 10910 Производство готовых кормов и кормовых добавок для сельскохозяйственных животных 11010 Дистилляция, ректификация и смешивание спиртных напитков (в части производства этилового спирта неденатурированного с объемной долей спирта менее 80 %) 11060 Производство солода 13101 Подготовка и прядение хлопчатобумажного волокна 13102 Подготовка и кардное прядение шерстяных волокон 13103 Подготовка и гребенное прядение шерстяных волокон 13104 Подготовка и прядение льняного волокна 13105 Производство швейных ниток 13109 Подготовка и прядение шелковых и прочих текстильных волокон 13201 Производство хлопчатобумажных тканей 13202 Производство шерстяных тканей из волокон кардного прядения 13203 Производство шерстяных тканей из волокон гребенного прядения 13204 Производство льняных тканей 13205 Производство шелковых тканей 13209 Производство прочих тканей 13910 Производство вязаных и трикотажных полотен 13941 Производство веревок, канатов, бечевок, шпагата 13942 Производство сетей и изделий из веревок 13950 Производство нетканых текстильных материалов и изделий, кроме одежды 13960 Производство различных текстильных изделий, в том числе технического и промышленного назначения 13991 Производство войлока и фетра 13999 Производство прочих текстильных изделий, не включенных в другие группировки, кроме войлока и фетра 15111 Дубление и выделка кожи 16100 Распиловка, строгание и пропитка древесины 16210 Производство шпона, фанеры, плит и панелей из дерева 16220 Производство сборных паркетных покрытий 16231 Производство деревянных строительных конструкций и столярных изделий, кроме сборных зданий 16232 Производство сборных деревянных зданий 16240 Производство деревянной тары 17110 Производство целлюлозы и древесной массы 17120 Производство бумаги и картона 17210 Производство гофрированной бумаги и картона, бумажной и картонной тары 17240 Производство обоев (в части производственного потребления) 18110 Печатание газет 18121 Печатание бланков ценных бумаг и документов с определенной степенью защиты, документов с определенной степенью защиты 18129 Печатание прочей полиграфической продукции, не включенной в другие группировки 18130 Деятельность по подготовке материалов к печати и распространению 18200 Тиражирование записанных носителей информации 19100 Производство продукции коксовых печей 19201 Производство продуктов нефтепереработки 19202 Производство торфяных брикетов 19203 Производство брикетов из лигнита, каменного и бурого угля 20110 Производство промышленных газов 20120 Производство красителей и пигментов 20130 Производство прочих основных неорганических химических веществ 20141 Производство этилового спирта 20149 Производство прочих основных органических химических веществ, не включенных в другие группировки 20151 Производство удобрений 20152 Производство азотных соединений 20160 Производство пластмасс в первичных формах 20170 Производство синтетического каучука в первичных формах 20200 Производство пестицидов и прочих агрохимических продуктов 20301 Производство красок, лаков, эмалей, минеральных пигментов для них 20302 Производство готовых растворителей и разбавителей красок и лаков 20511 Производство готовых взрывчатых веществ, порошкообразных взрывателей, капсюлей, запалов и прочих пиротехнических изделий 20520 Производство клея 20530 Производство эфирных масел 20591 Производство фотоматериалов 20592 Производство желатина 20593 Производство материалов, используемых для окончательной обработки текстильных изделий, кожи, бумаги и картона 20599 Производство прочих химических продуктов 20600 Производство искусственных и синтетических волокон 21100 Производство основных фармацевтических продуктов 21203 Производство медицинских материалов 22111 Производство резиновых шин, покрышек и камер 22199 Производство прочих резиновых изделий, не включенных в другие группировки 22210 Производство пластмассовых плит, полос, труб и профилей 22220 Производство пластмассовых изделий для упаковки товаров 22230 Производство пластмассовых изделий, используемых в строительстве 22290 Производство прочих пластмассовых изделий (в части производства изоляционного оснащения, частей осветительной арматуры; приводных ремней и конвейерных лент; фурнитуры для мебели и транспортных средств; клейкой ленты) 23110 Производство листового стекла 23120 Формование и обработка листового стекла 23131 Производство стеклянной тары 23140 Производство стекловолокна 23191 Производство электротехнического и электровакуумного стекла 23192 Производство лабораторных, гигиенических или фармацевтических изделий из стекла 23199 Производство прочих стеклянных изделий, не включенных в другие группировки 23200 Производство огнеупоров 23310 Производство керамических покрытий и плит 23320 Производство кирпича, черепицы и прочих строительных изделий из обожженной глины 23420 Производство керамических санитарно-технических изделий 23430 Производство керамических электроизоляторов и изолирующей арматуры 23440 Производство прочих технических керамических изделий 23510 Производство цемента 23521 Производство извести 23522 Производство строительного гипса 23611 Производство сборных железобетонных и бетонных конструкций и изделий 23612 Производство стеновых блоков 23613 Производство силикатного кирпича 23620 Производство гипсовых изделий для строительных целей 23630 Производство готового бетона 23640 Производство строительных растворов 23650 Производство изделий из асбестоцемента и волокнистого цемента 23700 Резка, обработка и отделка камня 23910 Производство абразивных изделий 23991 Производство асбестотехнических изделий 23992 Производство мягких кровельных и гидроизоляционных материалов 23993 Производство изделий из битума и аналогичных материалов 23999 Производство прочих неметаллических минеральных продуктов, не включенных в другие группировки 24100 Производство чугуна, стали и ферросплавов 24200 Производство труб, трубопроводов, профилей, фитингов из стали 24310 Холодное волочение 24320 Холодная прокатка лент и узких полос 24330 Холодная штамповка или гибка 24340 Производство проволоки 24410 Производство благородных (драгоценных) металлов 24420 Производство алюминия 24430 Производство свинца, цинка и олова 24440 Производство меди 24450 Производство прочих цветных металлов 24460 Переработка ядерного топлива 24510 Литье чугуна 24520 Литье стали 24530 Литье легких металлов 24540 Литье прочих цветных металлов 25111 Производство строительных металлических конструкций и их частей 25112 Производство строительных металлических конструкций сборных строений 25120 Производство металлических дверей, оконных блоков, рам 25210 Производство радиаторов и котлов центрального отопления (в части производства частей радиаторов и котлов центрального отопления) 25300 Производство паровых и водогрейных котлов, кроме котлов центрального отопления (в части производства частей и вспомогательного оборудования для котлов) 25400 Производство оружия и боеприпасов 25501 Ковка, прессование, штамповка, профилирование металла 25502 Производство изделий методом порошковой металлургии 25610 Обработка металлов и нанесение покрытий на металлы 25620 Обработка металлических изделий с использованием основных технологических процессов машиностроения 25720 Производство замков, петель и шарниров 25920 Производство упаковки из легких металлов 25931 Производство изделий из проволоки 25932 Производство цепей и пружин 25940 Производство крепежных изделий 25999 Производство прочих готовых металлических изделий, не включенных в другие группировки (в части производства металлических водосточных желобов, покрытий для крыш; упаковочных изделий из фольги, таких как пакеты, мешки и тому подобное; застежек, пряжек, крючков) 26110 Производство электронных элементов 26120 Производство электронных плат 26520 Производство часов (кроме наручных часов) 26701 Производство оптических приборов (в части производства призм и линз (за исключением офтальмологических), оптических зеркал) 27120 Производство электрораспределительной и регулирующей аппаратуры 27200 Производство электрических аккумуляторов и аккумуляторных батарей 27310 Производство волоконно-оптического кабеля 27320 Производство прочих изолированных проводов и кабелей 27330 Производство электромонтажных устройств 27401 Производство электрических ламп 27402 Производство осветительного оборудования (в части производства уличных осветительных приборов (за исключением светофоров); осветительного оборудования для транспортных средств) 27901 Производство электродной продукции 27902 Производство электроизоляционных изделий 27909 Производство прочего электрооборудования, не включенного в другие группировки (в части производства комплектов изолированных проводов с разъемами и прочими соединительными элементами (кроме комплектов для компьютеров, принтеров, USB-портов, а также транспортных средств); электрических конденсаторов, резисторов и подобных изделий) 28110 Производство двигателей и турбин, кроме авиационных, автомобильных и мотоциклетных двигателей (в части производства частей двигателей внутреннего сгорания: поршней, поршневых колец, карбюраторов, впускных и выпускных клапанов и тому подобное; частей турбин) 28120 Производство гидравлического и пневматического оборудования (в части производства гидравлических и пневматических узлов и агрегатов, включая гидравлические помпы, насосы, гидравлические и пневматические двигатели, гидравлические и пневматических цилиндры, клапаны, шланги и соединительные детали) 28130 Производство прочих насосов и компрессоров (в части производства насосов для двигателей внутреннего сгорания: масляных, водяных и топливных насосов для автомобилей) 28140 Производство прочих кранов, клапанов, вентилей 28151 Производство подшипников 28152 Производство шестеренок, элементов зубчатых передач и приводов 28210 Производство печей, горелок, устройств для них (в части производства частей печей и горелок) 28221 Производство лифтов (в части производства частей лифтов и скиповых подъемников) 28222 Производство оборудования непрерывного транспорта (в части производства частей оборудования непрерывного транспорта) 28229 Производство прочего подъемного и такелажного оборудования (в части производства частей подъемного и такелажного оборудования) 28230 Производство офисной техники и оборудования (за исключением компьютеров и периферийного оборудования) (в части производства частей и принадлежностей для офисной техники и оборудования, включая картриджи с тонером для копировальных машин) 28251 Производство промышленного холодильного оборудования (в части производства составляющих частей, узлов и агрегатов) 28299 Производство прочих машин и оборудования общего назначения, не включенных в другие группировки (в части производства частей прочих машин и оборудования общего назначения, не включенных в другие группировки) 28301 Производство сельскохозяйственных и лесохозяйственных тракторов (в части производства частей сельскохозяйственных и лесохозяйственных тракторов) 28309 Производство прочих машин и оборудования для сельского и лесного хозяйства (в части производства частей машин и оборудования для сельского и лесного хозяйства) 28411 Производство станков для обработки металлов, кроме кузнечно-прессового оборудования (в части производства частей и принадлежностей для станков для обработки металлов) 28412 Производство кузнечно-прессового оборудования (в части производства частей и принадлежностей для кузнечно-прессового оборудования) 28499 Производство прочих станков и оборудования для обработки твердых материалов, кроме металлов (в части производства частей и принадлежностей для станков для обработки твердых материалов, кроме металлов) 29310 Производство электрического и электронного оборудования для автомобилей 29320 Производство прочих частей и принадлежностей автомобилей 30200 Производство железнодорожных локомотивов и подвижного состава (в части производства специализированных частей и принадлежностей железнодорожных и трамвайных локомотивов и вагонов) 30300 Производство летательных аппаратов, оборудования для них (в части производства частей и принадлежностей летательных аппаратов данного подкласса) 31010 Производство мебели для офисов и предприятий торговли (в части производства частей мебели для офисов и предприятий торговли) 31030 Производство матрасов (в части производства матрасных каркасов и кроватных сеток) 32200 Производство музыкальных инструментов (в части производства частей и принадлежностей для музыкальных инструментов) 32509 Производство медицинского и стоматологического оборудования, инструментов и принадлежностей, не включенных в другие группировки (в части производства хирургических накидок; медицинских резиновых перчаток; шприцев, игл, катетеров, канюль и тому подобное) Приложение 3
к Методике по расчету сводного индекса цен производителей промышленной продукции
Перечень видов экономической деятельности, производство продукции по которым отнесено к группе потребительских товаров
Код вида экономической деятельности Наименование вида экономической деятельности 10110 Переработка и консервирование мяса 10120 Переработка и консервирование мяса сельскохозяйственной птицы 10130 Производство продуктов из мяса и мяса сельскохозяйственной птицы 10200 Переработка и консервирование рыбы, ракообразных и моллюсков 10310 Переработка и консервирование картофеля 10320 Производство фруктовых и овощных соков 10390 Прочие виды переработки и консервирования фруктов и овощей 10412 Производство рафинированных масел и жиров 10420 Производство маргарина и аналогичных пищевых жиров 10511 Переработка молока, кроме консервирования, и производство сыров 10512 Производство молочных консервов 10520 Производство мороженого 10611 Производство муки 10612 Производство круп 10613 Производство пищевых продуктов для завтрака из зерна и зернобобовых культур и прочих пищевых продуктов из зерна и зернобобовых культур 10710 Производство хлебобулочных изделий и мучных кондитерских изделий недлительного хранения 10720 Производство сухарных, бараночных и мучных кондитерских изделий, предназначенных для длительного хранения 10730 Производство макаронных изделий 10810 Производство сахара 10820 Производство какао, шоколада и сахаристых кондитерских изделий 10830 Производство чая и кофе 10840 Производство пряностей и приправ 10850 Производство готовых пищевых продуктов 10860 Производство детского питания и диетических пищевых продуктов 10891 Производство супов, бульонов и яйцепродуктов 10892 Производство дрожжей 10899 Производство прочих продуктов питания, не включенных в другие группировки 10920 Производство готовых кормов для домашних животных 11010 Дистилляция, ректификация и смешивание спиртных напитков 11020 Производство виноградного вина 11030 Производство сидра и прочих плодовых вин 11040 Производство прочих недистиллированных напитков из сброженных материалов 11050 Производство пива 11070 Производство безалкогольных напитков, минеральных вод и других вод в бутылках 12000 Производство табачных изделий 13920 Производство готовых текстильных изделий, кроме одежды 13930 Производство ковров и ковровых изделий 14110 Производство одежды из кожи 14120 Производство спецодежды 14130 Производство прочей верхней одежды 14140 Производство нательного белья 14191 Производство головных уборов 14199 Производство прочих видов одежды и аксессуаров, не включенных в другие группировки 14200 Производство меховых изделий 14310 Производство чулочно-носочных изделий 14390 Производство прочей вязаной и трикотажной одежды 15121 Производство дорожных принадлежностей и аналогичных изделий 15122 Производство шорно-седельных изделий 15200 Производство обуви 16291 Производство декоративных изделий из дерева 16292 Производство изделий из пробки, соломки и материалов для плетения 16299 Производство прочих деревянных изделий 17220 Производство бумажных изделий хозяйственно-бытового и санитарно-гигиенического назначения 17230 Производство бумажных канцелярских принадлежностей 17240 Производство обоев 17290 Производство прочих изделий из бумаги и картона 20410 Производство мыла и моющих, чистящих и полирующих средств 20420 Производство парфюмерных и косметических средств 20512 Производство спичек 21201 Производство фармацевтических препаратов 21202 Производство лекарственных препаратов для ветеринарии 22191 Производство резиновых санитарно-гигиенических и медицинских изделий 22290 Производство прочих пластмассовых изделий 23132 Производство хозяйственно-бытовых изделий из стекла 23199 Производство прочих стеклянных изделий, не включенных в другие группировки (в части производства статуэток из стекла) 23411 Производство хозяйственных керамических изделий 23412 Производство декоративных керамических изделий 23490 Производство прочих керамических изделий, не включенных в другие группировки 23690 Производство прочих изделий из бетона, строительного гипса и цемента 23700 Резка, обработка и отделка камня (в части производства предметов мебели из природного камня) 25710 Производство ножевых изделий 25992 Производство хозяйственной посуды и кухонного инвентаря из металла 25999 Производство прочих готовых металлических изделий, не включенных в другие группировки (в части производства металлических бигуди, расчесок, а также металлических ручек и спиц для зонтов; статуэток, рамок для фотографий и тому подобное) 26400 Производство электронной бытовой техники 26520 Производство часов (в части производства наручных часов) 26800 Производство магнитных и оптических носителей информации 27402 Производство осветительного оборудования (кроме производства уличных осветительных приборов и осветительного оборудования для транспортных средств) 27511 Производство электрической бытовой техники, кроме холодильников и морозильников 27512 Производство бытовых холодильников и морозильников 27520 Производство неэлектрической бытовой техники 27909 Производство прочего электрооборудования, не включенного в другие группировки (в части производства удлинителей; сетевых фильтров (за исключением распределительных) 28230 Производство офисной техники и оборудования (за исключением компьютеров и периферийного оборудования) (в части производства калькуляторов, электронных или неэлектронных; машинок для заточки карандашей; офисных машин и механизмов для сшивания скобами и для разгибания (удаления) скоб; держателей для клейкой ленты; компостеров и дыроколов (включается только оборудование, имеющее основание для закрепления или установки его на столе); школьных досок, досок для маркеров) 28291 Производство весоизмерительного оборудования (в части производства бытовых весов) 30910 Производство мотоциклов (кроме частей и принадлежностей для мотоциклов) 30921 Производство велосипедов (кроме частей и принадлежностей для велосипедов) 30922 Производство детских колясок 30923 Производство инвалидных колясок и кресел (кроме частей и принадлежностей инвалидных колясок и кресел) 30990 Производство прочих транспортных средств и оборудования, не включенных в другие группировки (кроме производства гужевых транспортных средств) 31020 Производство кухонной мебели 31030 Производство матрасов (кроме производства матрасных каркасов и кроватных сеток) 31090 Производство прочей мебели 32110 Чеканка монет 32120 Производство ювелирных и аналогичных изделий 32130 Производство бижутерии и аналогичных изделий 32200 Производство музыкальных инструментов (кроме частей и принадлежностей для музыкальных инструментов) 32300 Производство спортивных товаров 32400 Производство игр и игрушек 32502 Производство офтальмологических изделий 32910 Производство метел и щеток 32991 Производство канцелярских изделий 32999 Производство прочих готовых изделий, не включенных в другие группировки Приложение 4
к Методике по расчету сводного индекса цен производителей промышленной продукции
Условный пример расчета сводного индекса цен производителей к декабрю предыдущего года
Индексы цен производителей за два смежных года, исчисленные по отношению к предыдущему месяцу:
в процентах
Месяц года Индексы цен производителей за отчетный год предыдущий год Январь 103,9 100,8 Февраль 102,2 100,9 Март 100,6 100,7 Апрель 100,2 102,0 Май 99,7 102,2 Июнь 100,5 101,4 Июль 100,1 103,2 Август 100,7 101,6 Сентябрь 100,6 101,5 Октябрь 100,6 100,7 Ноябрь 100,3 100,7 Декабрь 101,2 99,7 Расчет сводного индекса цен производителей к декабрю предыдущего года осуществляется согласно пункту 38 настоящей Методики.
Например, сводный индекс цен производителей за февраль текущего года по отношению к декабрю предыдущего года рассчитывается по формуле:
(8)где:
– сводный индекс цен производителей за февраль текущего года по отношению к декабрю предыдущего года;
– сводный индекс цен производителей за январь текущего года по отношению к декабрю предыдущего года;
– сводный индекс цен производителей за февраль текущего года по отношению к январю текущего года.Сводный индекс цен производителей за март текущего года по отношению к декабрю предыдущего года рассчитывается по формуле:
(9)где:
– сводный индекс цен производителей за март текущего года по отношению к декабрю предыдущего года;
– сводный индекс цен производителей за март текущего года по отношению к февралю текущего года.В результате получаем следующий ряд индексов цен производителей:
в процентах
Месяц года Индексы цен производителей к декабрю предыдущего года за отчетный год предыдущий год Январь 103,9 100,8 Февраль (103,9 х 102,2) : 100 = 106,2 (100,8 х 100,9) : 100 = 101,7 Март (106,2 х 100,6) : 100 = 106,8 (101,7 х 100,7) : 100 = 102,4 Апрель (106,8 х 100,2) : 100 = 107,0 (102,4 х 102,0) : 100 = 104,4 Май (107,0 х 99,7) : 100 = 106,7 (104,4 х 102,2) : 100 = 106,7 Июнь (106,7 х 100,5) : 100 = 107,2 (106,7 х 101,4) : 100 = 108,2 Июль (107,2 х 100,1) : 100 = 107,3 (108,2 х 103,2) : 100 = 111,7 Август (107,3 х 100,7) : 100 = 108,1 (111,7 х 101,6) : 100 = 113,5 Сентябрь (108,1 х 100,6) : 100 = 108,7 (113,5 х 101,5) : 100 = 115,2 Октябрь (108,7 х 100,6) : 100 = 109,4 (115,2 х 100,7) : 100 = 116,0 Ноябрь (109,4 х 100,3) : 100 = 109,7 (116,0 х 100,7) : 100 = 116,8 Декабрь (109,7 х 101,2) : 100 = 111,0 (116,8 х 99,7) : 100 = 116,4 Приложение 5
к Методике по расчету сводного индекса цен производителей промышленной продукции
Условный пример расчета сводного индекса цен производителей к соответствующему месяцу предыдущего года
Для расчета сводного индекса цен производителей за отчетный месяц к соответствующему месяцу предыдущего года, необходимо иметь сводные индексы цен производителей за отчетный и предыдущий годы, рассчитанные к одному базисному периоду.
В качестве базисного периода принимаем декабрь года, предшествующего предыдущему. Путем последовательного перемножения месячных сводных индексов цен производителей получаем сводные индексы цен производителей за отчетный и предыдущий годы, рассчитанные к декабрю года, предшествующего предыдущему.
В результате получаем следующий ряд индексов цен производителей:
в процентах
Месяц года Индексы цен производителей к декабрю предыдущего года за отчетный год предыдущий год Январь (116,4 x 103,9) : 100 = 120,9 100,8 Февраль (120,9 x 102,2) : 100 = 123,6 101,7 Март (123,6 x 100,6) : 100 = 124,3 и т.д. 102,4 Апрель 124,5 104,4 Май 124,1 106,7 Июнь 124,7 108,2 Июль 124,8 111,7 Август 125,7 113,5 Сентябрь 126,5 115,2 Октябрь 127,3 116,0 Ноябрь 127,7 116,8 Декабрь 129,2 116,4 Расчет сводного индекса цен производителей за отчетный месяц к соответствующему месяцу предыдущего года осуществляется по формуле, указанной в пункте 39 настоящей Методики.
В результате получаем следующий ряд индексов цен производителей:
в процентах
Отчетный период К соответствующему месяцу предыдущего года Январь (120,9 : 100,8) x 100 = 119,9 Февраль (123,6 : 101,7) x 100 = 121,5 Март (124,3 : 102,4) x 100 = 121,4 Апрель (124,5 : 104,4) x 100 = 119,3 Май (124,1 : 106,7) x 100 = 116,3 Июнь (124,7 : 108,2) x 100 = 115,2 Июль (124,8 : 111,7) x 100 = 111,7 Август (125,7 : 113,5) x 100 = 110,7 Сентябрь (126,5 : 115,2) x 100 = 109,8 Октябрь (127,3 : 116,0) x 100 = 109,7 Ноябрь (127,7 : 116,8) x 100 = 109,3 Декабрь (129,2 : 116,4) x 100 = 111,0 Приложение 6
к Методике по расчету сводного индекса цен производителей промышленной продукции
Условный пример расчета сводного индекса цен производителей к соответствующему периоду предыдущего года
Сводный индекс цен производителей за отчетный период по отношению к соответствующему периоду предыдущего года рассчитывается по формуле, указанной в пункте 40 настоящей Методики:
в процентах
Отчетный период К соответствующему периоду предыдущего года Январь (120,9 : 100,8) x 100 = 119,9 Январь-февраль (120,9+123,6) : (100,8+101,7) x 100 = 120,7 Январь-март (120,9+123,6+124,3) : (100,8+101,7+102,4) x 100 = 121,0 и т.д. Январь-апрель 119,7 Январь-май 119,0 Январь-июнь 117,9 Январь-июль 117,0 Январь-август 116,1 Январь-сентябрь 115,5 Январь-октябрь 116,4 Январь-ноябрь 114,9 Январь-декабрь 114,5