Методика по расчету статистических показателей уровня жизни населения (домашних хозяйств)
- Содержание
- ГЛАВА 1. ОБЩИЕ ПОЛОЖЕНИЯ
- ГЛАВА 2. РАСЧЕТ СРЕДНЕДУШЕВЫХ РАСПОЛАГАЕМЫХ РЕСУРСОВ
- ГЛАВА 3. РАСЧЕТ СРЕДНЕДУШЕВЫХ РАСПОЛАГАЕМЫХ РЕСУРСОВ С УЧЕТОМ ШКАЛЫ ЭКВИВАЛЕНТНОСТИ
- ГЛАВА 4. РАСЧЕТ ПОКАЗАТЕЛЕЙ МАЛООБЕСПЕЧЕННОСТИ
- ГЛАВА 5. РАСЧЕТ УРОВНЯ МАТЕРИАЛЬНОЙ ДЕПРИВАЦИИ НАСЕЛЕНИЯ (ДОМАШНИХ ХОЗЯЙСТВ)
- ГЛАВА 6. РАСЧЕТ ИНДЕКСОВ СОЦИАЛЬНОЙ ИСКЛЮЧЕННОСТИ
- Приложение 1 к Методике по расчету cтатистических показателей уровня жизни населения (домашних хозяйств)
- Приложение 2 к Методике по расчету статистических показателей уровня жизни населения (домашних хозяйств) (в редакции постановления Национального статистического комитета Республики Беларусь 27.01.2023 № 3)
ГЛАВА 1. ОБЩИЕ ПОЛОЖЕНИЯ
1. Настоящая Методика предназначена для расчета Национальным статистическим комитетом статистических показателей уровня жизни населения домашних хозяйств) (далее – показатели уровня жизни).
Основными показателями уровня жизни являются уровень малообеспеченности населения (домашних хозяйств), уровень относительной малообеспеченности населения (домашних хозяйств) (далее – показатели малообеспеченности), уровень материальной депривации населения (домашних хозяйств), индекс риска социальной исключенности населения, индекс глубины социальной исключенности населения (далее – индексы социальной исключенности).
2. Расчет уровня малообеспеченности населения (домашних хозяйств) осуществляется за квартал, а также нарастающим итогом за периоды с начала года и за год в следующих разрезах:
- республика, области (г. Минск);
- города и поселки городского типа, сельские населенные пункты;
- группы населения (по полу, возрасту);
- типы (домашних хозяйств) (по размеру, составу).
Расчет уровня малообеспеченности населения (домашних хозяйств) за квартал осуществляется на основании квартальной официальной статистической информации выборочного обследования (домашних хозяйств) по уровню жизни (далее – выборочное обследование).
Расчет уровня малообеспеченности населения (домашних хозяйств) нарастающим итогом за периоды с начала года и за год осуществляется на основании агрегированной квартальной официальной статистической информации выборочного обследования.
3. Расчет уровня относительной малообеспеченности населения (домашних хозяйств) осуществляется за год на основании официальной статистической информации выборочного обследования в разрезе республики и областей (г. Минска).
4. Расчет уровня материальной депривации населения (домашних хозяйств) осуществляется за год на основании официальной статистической информации выборочного обследования в следующих разрезах:
- республика, области (г. Минск);
- города и поселки городского типа, сельские населенные пункты;
- группы населения (по полу, возрасту);
- типы (домашних хозяйств) (по размеру, составу).
41. Расчет индексов социальной исключенности осуществляется за год на основании официальной статистической информации выборочного обследования в следующих разрезах:
- республика, области (г. Минск);
- города и поселки городского типа, сельские населенные пункты;
- группы населения (по полу, возрасту).
5. В настоящей Методике используются следующие термины и их определения:
- бюджет прожиточного минимума – стоимостная величина прожиточного минимума, а также обязательные платежи и взносы. Бюджет прожиточного минимума рассчитывается по основным социально-демографическим группам и в среднем на душу населения и ежеквартально устанавливается Министерством труда и социальной защиты в ценах последнего месяца каждого квартала;
- домашнее хозяйство – группа лиц, которые совместно проживают в жилом помещении, обеспечивают себя всем необходимым для жизни, ведут общее хозяйство, полностью или частично объединяя и расходуя свои средства, либо одно лицо, живущее самостоятельно и обеспечивающее себя всем необходимым для жизни;
- лишения – ограничения населения (домашних хозяйств) в удовлетворении потребностей;
- малообеспеченное население (домашние хозяйства) – население (домашние хозяйства), имеющее среднедушевые располагаемые ресурсы ниже черты малообеспеченности;
- материальные депривации – вызванные недостатком денежных средств лишения, наличие которых приводит население (домашние хозяйства) к исключению из общепринятого образа жизни в стране;
- медиана среднедушевых располагаемых ресурсов – значение показателя, которое делит ранжированный ряд распределения населения (домашних хозяйств) по уровню среднедушевых располагаемых ресурсов на две равные части: со значениями показателя меньше медианы и больше медианы;
- распределение населения (домашних хозяйств) по уровню среднедушевых располагаемых ресурсов – ряд с заданными интервалами, ранжированный в порядке возрастания среднедушевых располагаемых ресурсов, который позволяет сгруппировать население (домашние хозяйства) по уровню среднедушевых располагаемых ресурсов в эти интервалы и рассчитать численность или удельный вес населения (домашних хозяйств) в каждом интервале;
- среднедушевые располагаемые ресурсы – объем средств, которыми располагало домашнее хозяйство для обеспечения всех своих расходов и сбережений за отчетный период, в расчете на члена домашнего хозяйства;
- черта малообеспеченности – величина среднедушевых располагаемых ресурсов, используемая в качестве критерия отнесения населения (домашних хозяйств) к категории малообеспеченного;
- шкала эквивалентности – совокупность весовых коэффициентов для пересчета общего числа членов домашнего хозяйства в число эквивалентных потребителей с учетом эффекта совместного проживания.
6. Показатели малообеспеченности определяются путем сопоставления среднедушевых располагаемых ресурсов и черты малообеспеченности.
ГЛАВА 2. РАСЧЕТ СРЕДНЕДУШЕВЫХ РАСПОЛАГАЕМЫХ РЕСУРСОВ
7. Расчет среднедушевых располагаемых ресурсов осуществляется путем деления общего объема располагаемых ресурсов домашнего хозяйства на число членов домашнего хозяйства.
8. В состав располагаемых ресурсов домашнего хозяйства включаются:
8.1. денежные средства домашнего хозяйства;
8.2. потребленные в домашнем хозяйстве продукты питания, произведенные в личном подсобном хозяйстве, за вычетом материальных затрат на их производство и (или) поступившие из других источников без оплаты (далее – потребленные в домашнем хозяйстве продукты питания, произведенные в личном подсобном хозяйстве) – в размере их денежного эквивалента;
8.3. льготы и выплаты в натуральной форме, предоставленные членам (домашних хозяйств) в связи с их особым социально-правовым статусом или особенностями их профессиональной деятельности (далее – льготы и выплаты в натуральной форме), – в размере их денежного эквивалента, в том числе:
- стоимость питания, товаров (работ, услуг), предоставленных членам (домашних хозяйств) организациями бесплатно или с частичной оплатой;
- оплата организациями жилья, путевок на лечение и отдых, экскурсий и путешествий, занятий в секциях, кружках, клубах, посещений культурно-зрелищных и физкультурных (спортивных) мероприятий, подписки на периодические издания, товаров (работ, услуг) для личного потребления членами (домашних хозяйств) и другие аналогичные льготы и выплаты.
9. Сумма денежных средств домашнего хозяйства определяется на основании совершенных в отчетном периоде членами домашнего хозяйства расходов на:
- потребительские цели (потребительские расходы): расходы на питание (включая расходы на общественное питание), покупку алкогольных напитков, табачных изделий, покупку непродовольственных товаров и оплату услуг. Расходы на покупку продовольственных и непродовольственных товаров, оплату услуг учитываются по полной стоимости независимо от того, полностью или частично они были оплачены на момент приобретения, за счет каких средств (собственных или заемных) они приобретались и для каких целей предназначались (для личного потребления или для последующей передачи другому домашнему хозяйству);
- цели, не связанные с потреблением: уплата налогов, страховых и иных взносов; погашение кредитов, уплата процентов за пользование кредитами; погашение и выдача займов; другие расходы, не связанные с потреблением. Сумма денежных средств, отданных домашним хозяйством в заем другому домашнему хозяйству, учитывается в размере положительного сальдо между суммой средств, отданных в заем и возвращенных в погашение займа;
- создание сбережений. Денежные средства, направленные домашним хозяйством на создание сбережений, учитываются в размере положительного сальдо между суммой сделанных и суммой израсходованных в отчетном периоде сбережений.
10. Размер денежного эквивалента потребленных в домашнем хозяйстве продуктов питания, произведенных в личном подсобном хозяйстве, рассчитывается по средним ценам покупки домашними хозяйствами аналогичных продуктов питания.
Размер денежного эквивалента потребленных в домашнем хозяйстве продуктов питания, произведенных в личном подсобном хозяйстве, уменьшается на величину материальных затрат, связанных с их производством (далее – материальные затраты).
В материальные затраты включаются расходы домашнего хозяйства на покупку кормов, сельскохозяйственной техники, семян, рассады, минеральных удобрений, средств защиты растений, медикаментов для скота, расходы на оплату ветеринарных и других сельскохозяйственных услуг, а также расходы на покупку продовольственных товаров, приобретаемых для кормления скота и домашних животных.
ГЛАВА 3. РАСЧЕТ СРЕДНЕДУШЕВЫХ РАСПОЛАГАЕМЫХ РЕСУРСОВ С УЧЕТОМ ШКАЛЫ ЭКВИВАЛЕНТНОСТИ
11. Расчет среднедушевых располагаемых ресурсов с учетом шкалы эквивалентности осуществляется путем деления общего объема располагаемых ресурсов домашнего хозяйства на число эквивалентных потребителей в домашнем хозяйстве.
12. В качестве эквивалентного потребителя принимается один из членов домашнего хозяйства в возрасте старше 18 лет.
13. Шкала эквивалентности содержит следующие весовые коэффициенты:
- 1,0 – для одного из членов домашнего хозяйства в возрасте старше 18 лет;
- 0,8 – для всех остальных членов домашнего хозяйства в возрасте старше 18 лет;
- 0,9 – для детей в возрасте от 6 до 18 лет;
- 0,7 – для детей в возрасте от 3 до 6 лет;
- 0,5 – для детей в возрасте до 3 лет.
14. Число эквивалентных потребителей по каждому домашнему хозяйству определяется по формуле:

где Nэ – число эквивалентных потребителей в домашнем хозяйстве;
n – число членов домашнего хозяйства в возрасте старше 18 лет, человек;
n1 – число детей в возрасте от 6 до 18 лет, человек;
n2 – число детей в возрасте от 3 до 6 лет, человек;
n3 – число детей в возрасте до 3 лет, человек.
Пример расчета числа эквивалентных потребителей в домашних хозяйствах с различным размером и составом приводится согласно приложению 1.
15. Расчет среднедушевых располагаемых ресурсов с учетом шкалы эквивалентности осуществляется по формуле:
,где Sэ– среднедушевые располагаемые ресурсы с учетом шкалы эквивалентности, рублей;
S – общий объем располагаемых ресурсов домашнего хозяйства, рублей;
Nэ – число эквивалентных потребителей в домашнем хозяйстве.
16. Шкала эквивалентности используется также для расчета уровня потребления продуктов питания в расчете на эквивалентного потребителя в домашних хозяйствах различного размера и состава.
ГЛАВА 4. РАСЧЕТ ПОКАЗАТЕЛЕЙ МАЛООБЕСПЕЧЕННОСТИ
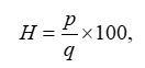
17. Уровень малообеспеченности населения (домашних хозяйств) определяется путем деления численности малообеспеченного населения (домашних хозяйств) на общую численность населения (домашних хозяйств), рассчитанную на основании официальной статистической информации выборочного обследования.
Расчет уровня малообеспеченности населения (домашних хозяйств) осуществляется по формуле:

где Н – уровень малообеспеченности населения (домашних хозяйств), процентов;
p – численность малообеспеченного населения (домашних хозяйств), человек (единиц);
q – общая численность населения (домашних хозяйств), человек (единиц).
18. Численность малообеспеченного населения (домашних хозяйств) рассчитывается на основании ранжированных рядов распределения населения (домашних хозяйств) по уровню среднедушевых располагаемых ресурсов путем суммирования экстраполированной официальной статистической информации о численности населения (домашних хозяйств), имеющего среднедушевые располагаемые ресурсы ниже черты абсолютной малообеспеченности. В качестве черты абсолютной малообеспеченности принимается величина, рассчитанная как среднее арифметическое суммы бюджетов прожиточного минимума в среднем на душу населения, установленных в ценах последнего месяца квартала, а в период между их установлениями – скорректированных на индекс потребительских цен.
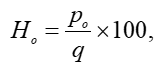
19. Уровень относительной малообеспеченности населения (домашних хозяйств) определяется путем деления численности населения (домашних хозяйств) с уровнем среднедушевых располагаемых ресурсов, рассчитанных с учетом шкалы эквивалентности, ниже черты относительной малообеспеченности на общую численность населения (домашних хозяйств), рассчитанную на основании официальной статистической информации выборочного обследования. Черта относительной малообеспеченности определяется как 60% от медианы среднедушевых располагаемых ресурсов в среднем по республике, рассчитанных с учетом шкалы эквивалентности.
Расчет уровня относительной малообеспеченности населения (домашних хозяйств) осуществляется по формуле:

где Но – уровень относительной малообеспеченности населения (домашних хозяйств), процентов;
pо – численность населения (домашних хозяйств) с уровнем среднедушевых располагаемых ресурсов, рассчитанных с учетом шкалы эквивалентности, ниже черты относительной малообеспеченности, человек (единиц);
q – общая численность населения (домашних хозяйств), человек (единиц).
ГЛАВА 5. РАСЧЕТ УРОВНЯ МАТЕРИАЛЬНОЙ ДЕПРИВАЦИИ НАСЕЛЕНИЯ (ДОМАШНИХ ХОЗЯЙСТВ)
20. Для расчета уровня материальной депривации населения (домашних хозяйств) формируется перечень материальных деприваций, который пересматривается не реже одного раза в пять лет.
21. При формировании перечня материальных деприваций экспертным путем определяется базовый список лишений, относящихся к различным аспектам жизни.
Отбор лишений для включения в перечень материальных деприваций осуществляется по результатам опроса членов (домашних хозяйств), принимающих участие в выборочном обследовании, о лишениях, являющихся признаками малообеспеченности в республике. В перечень материальных деприваций включаются лишения, которые признаются признаком малообеспеченности в республике большинством (не менее 85%) респондентов и вместе с тем характерны для меньшинства респондентов. Перечень материальных деприваций приведен согласно приложению 2.
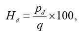
22. Уровень материальной депривации населения (домашних хозяйств) определяется путем деления численности населения (домашних хозяйств) с четырьмя и более материальными депривациями, на общую численность населения (домашних хозяйств), рассчитанную на основании официальной статистической информации выборочного обследования.
Расчет уровня материальной депривации населения (домашних хозяйств) осуществляется по формуле:

где Нd – уровень материальной депривации населения (домашних хозяйств), процентов;
pd – численность населения (домашних хозяйств) с четырьмя и более материальными депривациями, человек (единиц);
q – общая численность населения (домашних хозяйств), человек (единиц).
ГЛАВА 6. РАСЧЕТ ИНДЕКСОВ СОЦИАЛЬНОЙ ИСКЛЮЧЕННОСТИ
23. Для расчета индексов социальной исключенности используется три статистических показателя:
- уровень относительной малообеспеченности населения;
- уровень материальной депривации населения;
- уровень низкой интенсивности занятости населения.
24. Интенсивность занятости населения определяется на основании интенсивности занятости домашнего хозяйства.
25. Интенсивность занятости домашнего хозяйства рассчитывается по формуле:

где
– интенсивность занятости k-го домашнего хозяйства в среднем за год, процентов;h – группа членов домашнего хозяйства в возрасте от 18 лет до общеустановленного пенсионного возраста, за исключением обучающихся в учреждениях образования в дневной форме получения образования в возрасте до 25 лет;
– интенсивность занятости i-го члена h-ой группы k-го домашнего хозяйства в среднем за год;nhk – численность членов h-ой группы k-го домашнего хозяйства.
26.
определяется как среднее арифметическое из статистических показателей, рассчитанных за месяц;27. Интенсивность занятости члена домашнего хозяйства за месяц определяется как соотношение количества часов, фактически отработанных членом домашнего хозяйства за месяц, и расчетной нормы рабочего времени соответствующего месяца, определенной на основе годовой расчетной нормы рабочего времени, установленной законодательством (далее – расчетная норма рабочего времени).
Расчет интенсивности занятости члена домашнего хозяйства за месяц осуществляется по формуле:

где
– интенсивность занятости i-го члена домашнего хозяйства h-ой группы за j-ый месяц;
– количество фактически отработанного времени i-ым членом домашнего хозяйства h-ой группы за j-ый месяц, часов;
– расчетная норма рабочего времени за j-ый месяц при полной норме продолжительности рабочего времени 40 часов в неделю, часов.Значение
>1 принимается равным 1.28. Низкая интенсивность занятости населения рассчитывается для лиц, не достигших общеустановленного пенсионного возраста, проживающих в домашних хозяйствах с интенсивностью занятости менее 20%.
29. Уровень низкой интенсивности занятости населения определяется путем деления численности населения с низкой интенсивностью занятости на общую численность лиц, не достигших общеустановленного пенсионного возраста, проживающих в домашних хозяйствах, для которых рассчитывалась интенсивность занятости.
30. Индекс риска социальной исключенности населения рассчитывается как доля населения, которое соответствует хотя бы одному из следующих критериев:
- имеет среднедушевые располагаемые ресурсы ниже черты относительной малообеспеченности;
- испытывает четыре и более материальные депривации;
- имеет низкую интенсивность занятости.
31. Индекс глубины социальной исключенности населения рассчитывается как доля населения, которое соответствует всем критериям, перечисленным в пункте 30 настоящей Методики.
Для населения, которое проживает в домашних хозяйствах, состоящих только из лиц, обучающихся в учреждениях образования в дневной форме получения образования в возрасте до 25 лет, детей в возрасте до 18 лет и (или) лиц старше общеустановленного пенсионного возраста, при расчете данного статистического показателя используются два критерия, перечисленные в абзацах втором и третьем пункта 30 настоящей Методики.
Примечание. Терминология, применяемая в настоящей Методике, используется только органами государственной статистики для расчета статистических показателей уровня жизни населения (домашних хозяйств).
Приложение 1 к Методике по расчету cтатистических показателей уровня жизни населения (домашних хозяйств)
Пример расчета числа эквивалентных потребителей в домашних хозяйствах с различным размером и составом
Число членов домашнего хозяйства Состав домашнего хозяйства Расчет числа эквивалентных потребителей в домашнем хозяйстве
Число эквивалентных потребителей в домашнем хозяйстве число членов возрасте старше 18 лет число детей в возрасте от 6 до 18 лет от 3 до 6 лет до 3 лет N n n1 n2 n3 1 + 0,8 х (n -1) + 0,9 х n1 + 0,7 х n2+ 0,5 х n3 Nэ 1 1 0 0 0 1 + 0,8 х (1 -1) + 0,9 х 0 + 0,7 х 0 + 0,5 х 0 1 2 2 0 0 0 1 + 0,8 х (2 -1) + 0,9 х 0 + 0,7 х 0 + 0,5 х 0 1,8 2 1 0 1 0 1 + 0,8 х (1 -1) + 0,9 х 0 + 0,7 х 1 + 0,5 х 0 1,7 3 2 0 1 0 1 + 0,8 х (2 -1) + 0,9 х 0 + 0,7 х 1 + 0,5 х 0 2,5 3 2 0 0 1 1 + 0,8 х (2 -1) + 0,9 х 0 + 0,7 х 0 + 0,5 х 1 2,3 4 3 0 0 1 1 + 0,8 х (3 -1) + 0,9 х 0 + 0,7 х 0 + 0,5 х 1 3,1 4 1 1 1 1 1 + 0,8 х (1 -1) + 0,9 х 1 + 0,7 х 1 + 0,5 х 1 3,1 5 3 1 0 1 1 + 0,8 х (3 -1) + 0,9 х 1 + 0,7 х 0 + 0,5 х 1 4,0 5 3 1 1 0 1 + 0,8 х (3 -1) + 0,9 х 1 + 0,7 х 1 + 0,5 х 0 4,2 5 2 0 1 2 1 + 0,8 х (2 -1) + 0,9 х 0 + 0,7 х 1 + 0,5 х 2 3,5 Приложение 2 к Методике по расчету статистических показателей уровня жизни населения (домашних хозяйств) (в редакции постановления Национального статистического комитета Республики Беларусь 27.01.2023 № 3)
Перечень материальных деприваций
- Недостаток денежных средств для включения мясных или рыбных продуктов (либо их вегетарианского эквивалента) в рацион питания всех членов домашнего хозяйства два-три раза в неделю.
- Недостаток денежных средств для включения фруктов в рацион питания всех членов домашнего хозяйства круглогодично.
- Недостаток денежных средств для обновления верхней одежды в холодное время года для взрослых членов домашнего хозяйства хотя бы один раз в пять лет.
- Недостаток денежных средств для обновления обуви для взрослых членов домашнего хозяйства хотя бы один раз в три года.
- Недостаток денежных средств для замены пришедшей в негодность мебели.
- Недостаток денежных средств для получения необходимых платных медицинских услуг (за исключением стоматологических) в случае отсутствия или затрудненного доступа к бесплатным услугам.
- Отсутствие и невозможность подключения к глобальной компьютерной сети Интернет дома по причине недостатка денежных средств.
- Возникновение задолженности по плате за жилищно-коммунальные услуги по причине недостатка денежных средств.
- Отсутствие в жилом помещении центрального отопления и недостаток денежных средств для покупки топлива.
- Невозможность в случае необходимости оплатить непредвиденные расходы в размере величины, равной 50 процентам бюджета прожиточного минимума в среднем на душу населения, установленного на период с 1 августа по 31 октября текущего года.
- Недостаток денежных средств для покупки детям предметов для организации досуга вне дома.
- Недостаток денежных средств для оплаты посещения детьми организованных школой (детским садом) культурных мероприятий.