Методологические положения по формированию агрегированных показателей доходов, расходов и домашних хозяйств на основе программы выборочного обследования бюджетов домашних хозяйств
- Содержание
- 1. ОБЩИЕ ПОЛОЖЕНИЯ
- 2. ОПРЕДЕЛЕНИЕ ДОМАШНЕГО ХОЗЯЙСТВА
- 3. МЕТОДЫ ФОРМИРОВАНИЯ АГРЕГИРОВАННЫХ ПОКАЗАТЕЛЕЙ ДОХОДОВ, РАСХОДОВ И ПОТРЕБЛЕНИЯ ДОМАШНИХ ХОЗЯЙСТВ
- 3.1. Основные понятия и определения
- 3.2. Алгоритмы формирования агрегированных показателей доходов и расходов домашних хозяйств
- 3.3. Алгоритмы формирования агрегированных показателей уровня потребления продуктов питания
- 3.4. Состав группировок, используемых для характеристики доходов, расходов и потребления домашних хозяйств
- 4. МЕТОД РАСПРОСТРАНЕНИЯ ДАННЫХ НА ГЕНЕРАЛЬНУЮ СОВОКУПНОСТЬ И ОЦЕНКИ ИХ СТАТИСТИЧЕСКОЙ ТОЧНОСТИ
- ПРИЛОЖЕНИЕ к Методологическим положениям по формированию агрегированных показателей доходов, расходов и потребления домашних хозяйств на основе программы выборочного обследования бюджетов домашних хозяйств
1. ОБЩИЕ ПОЛОЖЕНИЯ
Целью настоящих методологических положений является определение основных принципов и алгоритмов расчета показателей доходов, расходов и потребления домашних хозяйств на основе программы выборочного обследования бюджетов домашних хозяйств (далее - ОБДХ).
Разработка методологических положений осуществлена с учетом положений Федерального закона от 29 ноября 2007 г. № 282 - ФЗ «Об официальном статистическом учете и системе государственной статистики в Российской Федерации».
1.1. Назначение и порядок формирования показателей на основе программы ОБДХ
1. Статистические показатели доходов, расходов и потребления, формируемые на основе программы ОБДХ, служат основой для отражения широкого круга экономических и социальных проблем, в том числе:
для оценки структуры и тенденций в распределении расходов на потребление по населению в целом и по различным его подгруппам; для определения структуры потребительских расходов населения, используемой при расчете индекса потребительских цен и других индексов для сравнительной оценки стоимости жизни населения в динамике, а также при формировании потребительской корзины для расчета величины прожиточного минимума;
- для оценки уровня потребления основных групп продуктов питания;
- для оценки эффективности мер государственной социальной и экономической политики;
- для обеспечения расчетов при составлении счетов сектора домашних хозяйств в системе национальных счетов и при формировании ее компонентов;
- для изучения поведения потребителей в разных социально-экономических группах.
2. Статистические показатели доходов, расходов и потребления домашних хозяйств на основе программы ОБДХ формируются по Российской Федерации в целом и по субъектам Российской Федерации (в дальнейшем – уровни разработки) с квартальной и с годовой периодичностью в соответствии со сроками, установленными Федеральным планом статистических работ 1, с использованием единых принципов и алгоритмов, определяемых настоящими методологическими положениями.
1.2. Дизайн выборки и программы ОБДХ
1. Выборочное обследование бюджетов домашних хозяйств проводится по выборочному методу и строится на принципах добровольного участия домохозяйств.
Единицей наблюдения в ОБДХ является частное домашнее хозяйство.
2. Охват: Все частные домашние хозяйства, проживающие в Российской Федерации, за исключением коллективных домашних хозяйств (лиц, долговременно находящихся в больницах, домах-интернатах для престарелых, школах-интернатах и других институциональных заведениях, монастырях, религиозных общинах и прочих коллективных жилых помещениях).
3. Периодичность: квартальная.
4. Объем выборки: обследование охватывает около 48 тыс. частных домохозяйств (ежеквартально). План размещения объемов выборки по субъектам Российской Федерации 2 разрабатывается в соответствии с установленным количеством обследуемых респондентов (домохозяйств) с учетом необходимости обеспечения представительности итогов по России в целом, по субъектам Российской Федерации и по основным демографическим и социально-экономическим группам домашних хозяйств (исходя из приемлемого уровня ошибки выборки).
5. Генеральную совокупность, служащую основой для построения выборочной совокупности при проведении ОБДХ составляют все частные домохозяйства, проживающие на территории Российской Федерации.
6. Основой для формирования выборки в ходе подготовки наблюдения служит территориальная выборка многоцелевого назначения (ТМВН) на базе информационного массива Всероссийской переписи населения 2010 года. Единицей отбора является счетный участок, конечной единицей отбора является жилое помещение – индивидуальный дом, квартира, комната в коммунальной квартире, общежитии или другом жилом строении.
Формирование выборочной совокупности домохозяйств осуществляется на основе принципов случайного отбора. Каждому домохозяйству в генеральной совокупности придается известная и ненулевая вероятность отбора.
При формировании итогов наблюдения его результаты распространяются на все частные домохозяйства и на все население, проживающее в них, согласно алгоритмам, приведенным в Разделе 4 настоящих методологических положений.
6. Репрезентативность: Выборка обеспечивает получение репрезентативных итогов обследования в целом по России (по населению в целом и по основным социально-экономическим группам) и по субъектам Российской Федерации (по населению в целом и по отдельным социально-экономическим группам).
7. Обследование основывается на непосредственном опросе (интервьюировании) членов домашних хозяйств и ведении в домашнем хозяйстве записей о всех текущих расходах.
8. Учетный период обследования отдельно взятого домашнего хозяйства охватывает квартал. В течение квартала установлены дифференцированные в зависимости от состава показателей процедуры сбора данных:
- в течение двух недель каждое обследуемое домашнее хозяйство ведет регистрацию всех совершенных им расходов (дневниковые записи);
- в течение квартала (за исключением двухнедельного периода) каждое обследуемое домашнее хозяйство ведет подробный учет всех расходов на покупку непродовольственных товаров и оплату услуг (журнальные записи);
- по завершении квартального цикла обследования в домашних хозяйствах проводится опрос с использованием бланка специального опросного листа.
9. Сбор информации при проведении ОБДХ осуществляется посредством заполнения следующих форм федерального статистического наблюдения 3:
- Форма № 1-А "Дневник домохозяйства";
- Форма № 1-Б "Журнал домохозяйства";
- Форма № 1-В "Опросный лист для обследования бюджетов домашних хозяйств".
10. Регистрация расходов домашних хозяйств производится по полной стоимости товаров и услуг, независимо от того, полностью или частично они были оплачены на момент приобретения и для каких целей они предназначались. Регистрация натуральных поступлений продуктов питания собственного производства и продуктов питания, поступивших без оплаты из иных источников, производится на момент их использования.
11. Сведения, собранные с использованием форм федерального статистического наблюдения ОБДХ (в рукописном или в электронном виде), представляют собой первичные данные, которые не подлежат разглашению и предназначены только для получения сводных статистических итогов.
1.3. Классификатор индивидуального потребления домашних хозяйств по целям (КИПЦ-ДХ)
1. В соответствии с общепринятой практикой, унифицированной классификацией, которая используется для агрегирования и представления данных по расходам домашних хозяйств на оплату потребительских товаров и услуг, является Классификатор индивидуального потребления домашних хозяйств по целям (КИПЦ-ДХ) 4.
2. В основу построения КИПЦ-ДХ положена классификация индивидуального потребления по целям - Classification Of Individual Consumption By Purpose (COICOP), которая является одной из четырех функциональных классификаций, используемых в Системе Национальных Счетов (СНС).
3. Для КИПЦ-ДХ принята иерархическая модель классификации, имеющая 5 ступеней классификационного деления (раздел, группа, класс, категория, вид). Классификатор состоит из 12 разделов, 47 групп и 114 классов товаров и услуг, где основные направления потребления домашних хозяйств (разделы) последовательно детализированы на группы, классы, категории, в состав которых входят соответствующие виды товаров и услуг, приобретенные домашними хозяйствами для личного потребления.
Классы в КИПЦ-ДХ подразделяются на типы: товары недлительного пользования (НД), товары полудлительного пользования (ПД), товары длительного пользования (Д), услуги (У).
Код каждого последующего уровня образуется добавлением одной значащей цифры на соответствующем разряде кода.
Национальная специфика потребления домашних хозяйств в КИПЦ-ДХ учитывается на уровне шестого разряда кода, представленного большим уровнем детализации по сравнению с COICOP.
4. По итогам ОБДХ формируются данные на уровне высших разделов и групп:
Код КИПЦ
Разделы
Код КИПЦ
Группы
01
Продукты питания и безалкогольные напитки
01
Продукты питания и безалкогольные напитки
02
Алкогольные напитки, табачные изделия
02.1
Алкогольные напитки
02.2.0, 02.3.0.0.0
Табачные изделия
03
Одежда и обувь
03.1.1.0, 03.1.2, 03.1.3.0, 03.2.1.1, 03.2.1.2, 03.2.1.3
Одежда и обувь
03.1.4.0, 03.2.2.0
Ремонт одежды и обуви
04
Жилищные услуги, вода, электроэнергия, газ и другие виды топлива
04.3.1, 04.5.3.0.0, 04.5.4.0
Стройматериалы, топливо
04.1, 04.3.2.0, 04.4, 04.5.1.0.0, 04.5.2, 04.5.5.0
Жилищные услуги, ремонт жилья
05
Предметы домашнего обихода, бытовая техника и повседневный уход за домом
05.1.1, 05.1.2.0, 05.2.0.0, 05.3.1.1.1÷05.3.1.2.4, 05.3.1.3.1, 05.3.1.3.2, 05.3.1.4.1, 05.3.1.4.2, 05.3.1.5, 05.3.2.0, 05.4.0.1.1÷05.4.0.3.0, 05.5.1.0.1, 05.5.1.0.2, 05.5.2.2.1÷05.5.2.2.3, 05.6.1
Предметы домашнего обихода, бытовая техника, бытовая химия
05.1.3.0.0, 05.2.0.0.8, 05.3.1.2.5, 05.3.1.3.3, 05.3.1.4.3, 05.3.3.0.0, 05.4.0.4.0, 05.5.1.0.3, 05.5.2.2.4, 05.6.2
Бытовые услуги, ремонт техники
06
Здравоохранение
06.1.1.0, 06.1.2.0.0, 06.1.3.1.0, 06.1.3.2, 06.1.3.2.1
Лекарства и медицинское оборудование
06.3.0.0, 06.2, 06.1.3.2.2
Медицинские услуги
07
Транспорт
07.1, 07.2.1.0, 07.2.2.0
Транспортные средства, горюче-смазочные материалы
07.2.3.0.0, 07.2.4.0.0, 07.3
Транспортные услуги, ремонт транспорта
08
Услуги связи
08.2.0.0.1, 08.2.0.0.2
Телефонное и факсимильное оборудование
08.1.0.0.0, 08.2.0.0.3, 08.3.0.0
Услуги связи
09
Организация отдыха и культурные мероприятия
09.1.1, 09.1.2.0, 09.1.3.0, 09.1.4, 09.2.1.0, 09.2.2.0.0, 09.3.1.0.3÷09.3.1.0.1, 09.3.2.0.1, 09.3.2.0.2, 09.3.3.0.0, 09.3.4.0.0, 09.5
Аудиовизуальное оборудование, игры, товары для спорта и досуга, печатная продукция и т.п.
09.1.5.0.0, 09.2.3.0.0, 09.3.2.0.3, 09.3.5.0.1, 09.3.5.0.2, 09.4, 09.6.0.0
Услуги по организации отдыха и культурных мероприятий, ветеринарные услуги
10
Образование
10
Услуги образования
11
Гостиницы, кафе и рестораны
11.1
Услуги гостиниц
11.2
Общественное питание
12
Другие товары и услуги
12.1.2.0.0, 12.1.3.0, 12.3.1.0.1÷12.3.1.0.4, 12.3.2.1.0, 12.3.2.2.1÷12.3.2.2.5
Предметы гигиены, личного обихода, часы и др.
12.1.1.1, 12.1.1.2, 12.2.0.0.0, 12.3.1.0.5, 12.3.2.2.6, 12.4.0.0, 12.5, 12.6, 12.7.0.0
Услуги парикмахерских, социальных служб и др.
5. В аналитических целях наряду с показателями, разрабатываемыми с использованием КИПЦ-ДХ, формируются данные, агрегируемые по классификации, соответствующей делению потребительских расходов по основным группам товаров и услуг: на покупку продуктов питания, алкогольных напитков, непродовольственных товаров и на оплату услуг. При проведении сравнительного анализа с данными по классификационному делению потребительских расходов согласно КИПЦ-ДХ в качестве «переходного ключа» используется приведенная ниже Схема «Соответствие разделов классификатора индивидуального потребления домашних хозяйств по целям (КИПЦ-ДХ) и классификации потребительских расходов домашних хозяйств по группам потребительских товаров и услуг».
6. Использование КИПЦ-ДХ при формировании итогов ОБДХ основано на выполнении процедуры кодирования первичных записей, сделанных домашними хозяйствами в процессе ведения Дневников и Журналов, с использованием кодификатора, идентификационные коды которого соответствуют классификационным кодам КИПЦ-ДХ.
СХЕМА Соответствия разделов Классификатора индивидуального потребления домашних хозяйств по целям (КИПЦ-ДХ) и классификации потребительских расходов домашних хозяйств по группам товаров и услуг

2. ОПРЕДЕЛЕНИЕ ДОМАШНЕГО ХОЗЯЙСТВА
1. В качестве единицы обследования домашнее хозяйство* представляет собой совокупность лиц, проживающих в одном жилом помещении (или его части), как связанных, так и не связанных отношениями родства, совместно обеспечивающих себя пищей и всем необходимым для жизни, то есть полностью или частично объединяющих и расходующих свои средства. Домашнее хозяйство может состоять и из одного человека, живущего самостоятельно и обеспечивающего себя всем необходимым для жизни.
Членами домашнего хозяйства являются лица, указанные в его составе согласно данному выше определению со слов наиболее осведомленного члена домашнего хозяйства (далее – ответственного лица).
Информация по лицам, учитываемым в составе домашнего хозяйства, согласно приведенному выше определению, регистрируется на дату завершения квартала в Опросном листе (Раздел 1).
2. В зависимости от места нахождения на момент опроса лица, учитываемые в составе домашнего хозяйства, регистрируются по принадлежности к следующим категориям:
лица, постоянно (обычно) проживающие в домохозяйстве 5 (далее – наличные члены домохозяйства);
лица, продолжительно или временно отсутствующие в домохозяйстве, а именно:
- отсутствующие продолжительные периоды времени или временно отсутствующие 6, но имеющие родственные отношения с домохозяйством и продолжающие поддерживать тесную связь (или имеющие очевидные финансовые связи) с домохозяйством;
- кратковременно отсутствующие, но обычно проживающие в домохозяйстве.
2. На основании специальной регистрации числа дней проживания в домашнем хозяйстве каждого члена домохозяйства определяется число "наличных членов домохозяйства". К их числу относятся лица, проживающие в домашнем хозяйстве один или более дней в течение отчетного квартала.
3. Дополнительно (при ведении Дневников и Журналов) производится учет числа "потребительских единиц" – лиц, пребывающих в составе домохозяйства на день ведения регистрационных записей (включая членов домохозяйства и временно присутствующих лиц (приезжие и гости, не попадающие под определение домашнего хозяйства), и число дней их присутствия в период обследования. *)
3. При расчете стоимостных показателей доходов, расходов и потребления в расчете на члена домохозяйства используется число наличных членов домашнего хозяйства, при расчете показателей среднедушевого потребления продуктов питания - число "потребительских единиц".
3. МЕТОДЫ ФОРМИРОВАНИЯ АГРЕГИРОВАННЫХ ПОКАЗАТЕЛЕЙ ДОХОДОВ, РАСХОДОВ И ПОТРЕБЛЕНИЯ ДОМАШНИХ ХОЗЯЙСТВ
3.1. Основные понятия и определения
1. По итогам ОБДХ формируется следующая совокупность показателей:
1.1. Показатели, характеризующие расходы домашних хозяйств:
- Расходы на потребление домашних хозяйств;
- Потребительские расходы домашних хозяйств;
- Стоимость натуральных поступлений;
- Расходы домашних хозяйств, всего
1.2. Показатели, характеризующие доходы домашних хозяйств:
- Денежные доходы домашних хозяйств;
- Располагаемые ресурсы домашних хозяйств.
2. Определения перечисленных выше показателей расходов домашних хозяйств основаны на применении концепций, изложенных в Резолюции о статистике доходов и расходов домохозяйств, принятой на 17-ой Международной конференцией статистиков по труду (МОТ, 2003).
В соответствии с указанной резолюцией между показателями расходов, формируемыми на основании программы ОБДХ, аналогичными показателями в системе национальных счетов (СНС) и иными аналогичными показателями расходов населения макроэкономического уровня имеются определенные различия, как в общей концепции, так и в отношении охвата и методики измерений, вытекающие из различий в их целях.
Определения показателей расходов, формируемых на основе программы ОБДХ:
2.1. Расходы на потребление домашних хозяйств представляют собой стоимость товаров и услуг, приобретенных домохозяйствами в целях непосредственного удовлетворения потребностей и желаний своих членов посредством прямых денежных покупок и натуральных поступлений, включая поступления без применения каких-либо денежных средств в качестве оплаты (бартерный обмен, натуральные поступления от других домохозяйств и от работодателя) и использование на личное потребление продукции собственного производства.
Расходы на потребление домашних хозяйств состоят из суммы потребительских расходов и оценки в денежном эквиваленте стоимости натуральных поступлений. В расходы на потребление не включается стоимость купленных в период обследования, но не пошедших на личное потребление товаров, и стоимость произведенной в период обследования, но не использованной на личное потребление сельскохозяйственной продукции собственного производства.
2.2. Потребительские расходы домашних хозяйств являются частью денежных расходов домашних хозяйств, направленных на приобретение потребительских товаров и оплату услуг для удовлетворения потребностей домохозяйства и членов домохозяйства. В составе потребительских расходов не учитываются расходы на покупку произведений искусства, антиквариата и ювелирных изделий, приобретенных в качестве капиталовложений, а также расходы на оплату материалов и работ по строительству и капитальному ремонту жилых или подсобных помещений, являющихся инвестициями.
Потребительские расходы детализируются по перечню высших разрядов, по группам КИПЦ-ДХ и по основным группам товаров и услуг, указанным в Разделе 1.3. настоящих методологических положений (п.п.4.5).
2.3. Стоимость натуральных поступлений – суммарная оценка стоимости натуральных поступлений продуктов питания, алкогольных напитков, непродовольственных товаров и услуг.
Стоимость натуральных поступлений продуктов питания и алкогольных напитков – расчетный показатель. Оценка стоимости производится по средним ценам покупки, исходя из данных ОБДХ о количестве и стоимости купленных обследуемыми домохозяйствами соответствующих продуктов и алкогольных напитков в среднем по субъекту Российской Федерации.
Стоимость натуральных поступлений непродовольственных товаров и услуг – это оценка стоимости непродовольственных товаров, поступивших в домохозяйство без оплаты, а также товаров и услуг, предоставленных в натуральном выражении работодателем. Оценка стоимости производится со слов респондентов.
2.4. Расходы домашних хозяйств – всего представляют собой сумму расходов на потребление и расходов домашних хозяйств, не связанных с потреблением (расходы на промежуточное потребление и валовое накопление, налоги, сборы, платежи и другие расходы).
3. В целях анализа структуры и тенденций в распределении расходов на потребление по населению в целом и по различным его подгруппам на основании программы ОБДХ формируются показатели денежных доходов и располагаемых ресурсов домашних хозяйств. Указанные показатели определяются только в терминах расходов и предназначены, главным образом, для отражения различий в структуре расходов между группами домохозяйств с различным уровнем материального достатка.
Определения показателей доходов, формируемых на основе программы ОБДХ:
3.1. Денежный доход определяется как сумма денежных расходов домашних хозяйств и прироста (уменьшения) финансовых активов. Применительно к этому методу показатель денежного дохода домохозяйств, формируемый на основе программы ОБДХ, трактуется как объем денежных средств, которыми располагали домашние хозяйства для финансирования своих денежных расходов и создания сбережений без привлечения ранее накопленных или привлеченных заемных средств.
Используемый в расчетах показателя денежных доходов показатель прироста (уменьшения) финансовых активов домашних хозяйств определяется как сальдо между суммой сбережений, сделанных домохозяйствами за счет собственных доходов, полученных в период обследования, и суммой израсходованных накоплений и привлеченных заемных средств.
3.2. Располагаемые ресурсы домашних хозяйств определяются как совокупность расходов домохозяйств и суммы сбережений, сделанных домохозяйствами в период обследования. Показатель располагаемых ресурсов домашних хозяйств, формируемый на основе программы ОБДХ, трактуется как объем всех денежных и натуральных (в денежном эквиваленте) средств, которыми располагали домашние хозяйства для финансирования своих расходов и создания сбережений.
4. Схема формирования показателей доходов и расходов, перечисленных в п.2-3:
1. Расходы на потребление 1.1+1.2 – 1.3 1.1. Потребительские расходы 1.2. Стоимость натуральных поступлений 1.3. Стоимость купленных потребительских товаров, не пошедших на личное потребление 2. Расходы, не связанные с потреблением 3. Расходы домашних хозяйств 1+2 3.1. Денежные расходы 1.1+2 4. Прирост финансовых активов 4.1 – 4.2 4.1. Сумма сделанных сбережений 4.2. Сумма займа и израсходованных сбережений 5. Денежный доход 3.1+4 6. Располагаемые ресурсы 3+4.1 3.2. Алгоритмы формирования агрегированных показателей доходов и расходов домашних хозяйств
1. Агрегирование показателей доходов и расходов по итогам ОБДХ производится на уровне каждой единицы обследования (каждого обследованного домохозяйства) и по совокупности всех единиц обследования (по всем обследованным домохозяйствам).
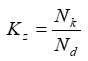
2. Значения обобщающих показателей доходов и расходов определяются для каждого домохозяйства на основании слитого массива всех данных, полученных в ходе обследования. Консолидация основана на принципе приведения данных к единому временному периоду и производится посредством объединения дневниковых записей за двухнедельный период, журнальных записей и показателей опросного листа за квартал. Преобразование двухнедельных дневниковых записей до квартального периода осуществляется умножением значений показателей на коэффициент экстраполяции (Кz), который рассчитывается по формуле:

где: Nk - число дней в квартале, Nd - число дней ведения дневника (14).
3. Агрегирование показателей доходов и расходов на уровне единиц обследования производится посредством:
суммировки позиций идентификационных кодов расходов, согласно их вхождению в укрупненные группы расходов КИПЦ-ДХ и в отдельные позиции расходов, имеющие самостоятельное значение;
суммировки полученных укрупненных групп расходов и отдельных самостоятельных позиций, согласно определениям обобщающих показателей доходов и расходов, указанным в п. 2 Раздела 3 настоящих методологических положений.
4. Агрегирование обобщающих показателей доходов и расходов по итогам ОБДХ по совокупности всех единиц обследования производится посредством суммировки как укрупненных групп расходов (самостоятельных позиций) так и итоговых показателей. В обоих случаях агрегирование показателей доходов и расходов по совокупности всех единиц обследования производится с использованием коэффициентов распространения на генеральную совокупность, присваиваемых каждой единице обследования в порядке, изложенном в Разделе 4 настоящих методологических положений.
5. Схема формирования агрегированных обобщающих показателей доходов и расходов во взаимосвязи с алгоритмами формирования укрупненных групп расходов КИПЦ-ДХ и самостоятельных позиций расходов с указанием их идентификационных кодов:
НАИМЕНОВАНИЕ ПОКАЗАТЕЛЕЙ АЛГОРИТМЫ ФОРМИРОВАНИЯ показатели доходов и расходов укрупненные группы расходов КИПЦ-ДХ и самостоятельные позиции 7 1. РАСХОДЫ НА ПОТРЕБЛЕНИЕ – всего 1.1+1.2-1.3 в том числе: 1.1. Потребительские расходы - всего 1.1.1 ÷ 1.1.5 в том числе в группировке по основным группам товаров и услуг: 1.1.1. расходы на покупку продуктов питания Сумма по кодам 1-23, 111 (хлебобулочные изделия и крупы), 24-45, 85 (мясо и мясопродукты), 46-57 (рыба и морепродукты), 58-77, 81, 130 (молочные продукты), 78-80 (яйца), 82-84 (масла и жиры), 86-90, 92-97, 121, 122 (фрукты и ягоды), 91, 98-105, 108, 109, 112-116 (овощи и бахчевые), 107, 117 (картофель), 118-120, 123-129, 131 (сахар, мед и кондитерские изделия), 106, 110, 132-139 (другие продукты питания), 140-147 (чай, кофе, безалкогольные напитки) * Kz 1.1.2. расходы на питание вне дома Сумма по кодам 434-437 (рестораны, кафе), 438 (столовые) * Kz 1.1.3. расходы на покупку алкогольных напитков Сумма по кодам 148-150 (ликероводочные изделия), 151 (вина), 152 (пиво), 153 (другая алкогольная продукция) * Kz 1.1.4. расходы на покупку непродовольственных товаров Сумма по кодам 158-161 (ткани), 162-188 (верхняя одежда и белье), 189-196 (головные уборы и галантерея), 200-218 (обувь), 225-233 (строительные материалы для ремонта), 247-251 (топливо для дома), 254-265, 268-274 (мебель, ковры, текстильные изделия для дома), 276-282, 284, 285, 287, 288, 290 -295(бытовая техника), 297-300 (посуда и домашняя утварь), 302,303, 305-308 (инструменты и оборудование для дома и сада), 310-314 (бытовая химия и прочие хозяйственные принадлежности), 319-323 (лекарства, медицинское оборудование), 334-338, 801 (транспортные средства, запчасти и принадлежности), 340, 341, 342, 802 (горюче-смазочные материалы), 363, 364, 373-393 (культтовары), 395-398, 400-404, 406, 407 (игры и товары для спорта и хобби), 419-423 (книги, газеты и канцтовары), 445-450 (парфюмерно-косметические товары и предметы личной гигиены), 452-455, 457-461, 803 (часы и прочие предметы личного обихода), [154-157 * Kz] (табачные изделия и наркотики) 1.1.5. расходы на оплату услуг Сумма по кодам 197-199, 219, 220 (чистка и ремонт одежды и обуви), 221-224 (аренда жилья), 234,235 (ремонт жилья), 236-246, 252, 253 (коммунальные услуги), 266, 267, 275, 283, 286, 289, 296, 301, 304, 309 (ремонт предметов домашнего обихода, бытовой техники, мебели), 315-318 (прочие бытовые услуги), 324-332, 800 (медицинские услуги), 333 (санаторно-оздоровительные услуги), 343, 344 (обслуживание и ремонт транспортных средств), 345-361 (транспортные услуги), 362, 365-372 (услуги связи), 394, 399, 405, 456, 462 (ремонт культтоваров), 408, 409 (ветеринарные услуги), 410-417 (услуги по организации отдыха и культурных мероприятий), 418 (азартные игры), 424-428 (услуги центров отдыха, туризм), 429-433 (услуги образования), 439, 440 (услуги по предоставлению жилья), 441-444 (личные услуги), 451 (услуги проституции), 463 (услуги по социальной защите), 464 (услуги дошкольных учреждений), 465-468 (услуги страхования), 469-474 (прочие услуги) 1.1. Потребительские расходы - всего 1.1.1 ÷ 1.1.12 в том числе в группировке по высшему разряду КИПЦ-ДХ: 1.1.1. расходы на покупку продуктов питания и безалкогольных напитков Сумма по кодам 1-23 (хлебобулочные изделия и крупы), 24-45 (мясо), 46-57 (рыба и морепродукты), 58-80 (молочные изделия, сыр и яйца), 81-85 (масла и жиры), 86-97 (фрукты), 98-117 (овощи), 118-131 (сахар, джем, мед, шоколад и конфеты), 132-139 (пищевые продукты, не отнесенные к другим категориям), 140-142 (кофе, чай, какао), 143-147 (минеральные воды, прохладительные напитки и соки)* Kz 1.1.2. расходы на покупку алкогольных напитков, табачных изделий и наркотиков Сумма по кодам 148-151 (спиртные напитки), 152 (пиво и напитки, изготавливаемые на основе пива), 154-156 (табачные изделия), 157 (наркотики)* Kz 1.1.3. расходы на одежду и обувь Сумма по кодам 158-161 (материалы для пошива одежды), 162-188 (верхняя одежда и белье), 189-196 (другая одежда и галантерея), 197-199 (чистка, ремонт и прокат одежды), 200-218 (сапоги, туфли и прочая обувь), 219-220 (ремонт, изготовление и прокат обуви) 1.1.4. расходы на оплату жилищных услуг, воды, электроэнергии, газа и других видов топлива Сумма по кодам 221-224 (фактическая арендная плата за жилье), 225-233 (материалы для текущего содержания и ремонта жилья), 234-235 (услуги по текущему содержанию и ремонту жилого помещения), 236-243 (водоснабжение и другие коммунальные услуги), 244-253 (электроэнергия, газ и другие виды топлива) 1.1.5. расходы на покупку предметов домашнего обихода, повседневного ухода за домом и бытовой техники Сумма по кодам 254-263 (мебель и предметы домашнего обихода), 264-266 (ковры и другие покрытия для пола), 267 (ремонт мебели, предметов домашнего обихода и покрытий для пола), 268-275 (текстильные изделия для дома), 276-293 (крупные бытовые приборы, электрические и неэлектрические), 294,295 (малые электробытовые приборы), 296 (ремонт бытовых приборов), 297-301 (стеклянные изделия, столовая посуда и домашняя утварь), 302-304 (крупные инструменты и оборудование), 305-309 (мелкие инструменты и приспособления), 310-314 (товары для повседневного ухода за жильем), 315-318 (домашние и бытовые услуги) 1.1.6. расходы на здравоохранение Сумма по кодам 319-324 (медикаменты, лечебное оборудование и аппаратура), 325-331, 800 (амбулаторные услуги), 332, 333 (услуги больниц) 1.1.7. расходы на транспорт Сумма по кодам 334-337, 801 (покупка транспортных средств), 338-344, 802 (эксплуатация личных транспортных средств), 345-361 (транспортные услуги) 1.1.8. расходы на связь Сумма по кодам 362 (почтовые услуги), 363-365 (телефонное и факсимильное оборудование), 366-371 (услуги телефонной и документальной связи) 1.1.9. расходы на организацию отдыха и культурных мероприятий Сумма по кодам 373-381 (оборудование для приема, записи и воспроизведения звука и изображения), 382-385 (фотографическое, кинематографическое оборудование и оптические приборы), 386-389 (оборудование для обработки информации), 390-393 (носители для записи звука и изображения), 394 (ремонт и обслуживание аудиовизуального, фотографического оборудования и оборудования для обработки информации), 395-399 (другие товары длительного пользования и организации отдыха и культурных мероприятий), 400-409 (другие товары и оборудование для отдыха, сады и домашние животные), 410-418 (услуги по организации отдыха и культурных мероприятий), 419-423 (газеты, журналы, канцелярские принадлежности), 424-428 (организация комплексного отдыха) 1.1.10. расходы на образование Сумма по кодам 429-433(услуги образования) 1.1.11. расходы на гостиницы, кафе и рестораны Сумма по кодам 434-437 (рестораны, кафе), 438 (столовые)*Kz, 439,440 (гостиничные услуги) 1.1.12. расходы на другие товары и услуги Сумма по кодам 441-450 (личные услуги), 451 (услуги проституции), 452-462, 803 (предметы личного обихода, не отнесенные к другим категориям), 463, 464 (услуги по социальной защите), 465-468 (услуги страхования), 469 (другие финансовые услуги), 470-474 (другие услуги) 1.2. Стоимость натуральных поступлений – всего 1.2.1 ÷ 1.2.4 в том числе: 1.2.1. стоимость натуральных поступлений продуктов питания Сумма оценок по средним ценам покупки натуральных поступлений продуктов питания (коды 1-127, 129-131, 140-147) * Kz
PRODLPH (cтоимость продуктов питания, поступивших из ЛПХ), PRODTRUD (стоимость продуктов питания, поступивших в счет оплаты труда), PRODDR (стоимость продуктов питания, поступивших из других источников)
1.2.2. стоимость натуральных поступлений алкогольных напитков Сумма оценок по средним ценам покупки натуральных поступлений алкогольных напитков (коды 148–153) * Kz 1.2.3. стоимость натуральных поступлений непродовольственных товаров Стоимость натуральных поступлений непродовольственных товаров (коды 158-196, 200-218, 225-233, 248-251, 254-265, 268-274, 276-282, 284-285, 287-288, 290-295, 297-300, 302-303, 305-308, 310-314, 319-323, 334-342, 363, 364, 373-393, 395-398, 400-404, 406-407, 419-423, 445-450, 452-455, 457-461, 801-803)
NEPRDAR (в подарок), NEPRTRUD (в счет оплаты труда), NEPRDR (из других источников)
1.2.4. стоимость льгот, предоставленных работодателем в натуральном выражении Сумма значений показателей R3V44 (бесплатное питание), R3V45 (оплата транспортных расходов), R3V46 (оплата жилья и коммунальных услуг), R3V47 (оплата ремонта, строительства и приобретения жилья), R3V48 (оплата медицинского обслуживания и отдыха), R3V49 (оплата содержания детей в детских учреждениях), R3V410 (оплата обучения), R3V411 (оплата спортивных и оздоровительных мероприятий), R3V412(оплата досуговых и развлекательных мероприятий) 1.3. Стоимость купленных потребительских товаров, не пошедших на личное потребление - всего 1.3.1 ÷ 1.3.3 в том числе: 1.3.1. стоимость продуктов питания, израсходованных на переработку, корм животным, на обмен, подарок и др. Сумма оценок по средним ценам покупки продуктов питания, израсходованных на переработку, корм животным, на обмен, подарок и другие цели (коды 1-127, 129-131, 140-147) * Kz 1.3.2. стоимость непродовольственных товаров, отданных в подарок и др. Сумма по кодам 158-196, 200-218, 225-233, 248-251, 254-265, 268-274, 276-282, 284-285, 287-288, 290-295, 297-300, 302-303, 305-308, 310-314, 319-323, 334-342, 363, 364, 373-393, 395-398, 400-404, 406-407, 419-423, 445-450, 452-455, 457-461, 801-803 1.3.3. стоимость алкогольных напитков, отданных в подарок и др. Сумма оценок по средним ценам покупки алкогольных напитков, израсходованных на обмен, подарок и другие цели (коды 148-153) * Kz 2. РАСХОДЫ, НЕ СВЯЗАННЫЕ С ПОТРЕБЛЕНИЕМ - всего 2.1 ÷ 2.3 в том числе: 2.1. Расходы на промежуточное потребление и валовое накопление – всего 2.1.1 ÷ 2.1.5 в том числе: 2.1.1. затраты на ведение личного подсобного хозяйства Сумма по кодам 901, 902- (сельхозтехника и инвентарь), 903, 904 (скот и птица), 905 - 907 (семена, корма, удобрения, сырье, топливо), 908-910 (услуги, полученные в процессе производства), 913 (страховые взносы, обязательные платежи) 2.1.2. затраты на ведение другой производственной деятельности Сумма по кодам 916, 917 (оборудование и инвентарь), 918 - 921 (сырье, топливо), 922-924 (услуги, полученные в процессе производства), 927 (страховые взносы, обязательные платежи) 2.1.3. расходы на покупку недвижимости Сумма значений по коду 937 (покупка недвижимости) 2.1.4. расходы на покупку ювелирных изделий Сумма значений по коду 938 (покупка ювелирных изделий и антиквариата) 2.1.5. расходы на покупку стройматериалов и оплату услуг по новому строительству и капитальному ремонту Сумма значений по коду 935, 936 (расходы на строительство) 2.2. Налоги, сборы, платежи Сумма значений по кодам 911, 925, 930, 931 (налоги), 912, 926, 932 (обязательные платежи) 2.3. Другие расходы Сумма значений по кодам 933 (алименты), 934 (подарки), 915, 929, 945 (авансы), 946 (другие расходы) 3. РАСХОДЫ ДОМАШНИХ ХОЗЯЙСТВ 1 + 2 3.1. ДЕНЕЖНЫЕ РАСХОДЫ 1.1+2 4. ПРИРОСТ ФИНАНСОВЫХ АКТИВОВ 4.1- 4.2 4.1. сумма сделанных сбережений Сумма по кодам 939 (положено в банк), 940 (покупка ценных бумаг), 942 (покупка иностранной валюты), 943 (отдано в долг), 914, 928 (возврат долга), сумма значений й показателя R3V22 (остаток наличных денег) 4.2. сумма займа и израсходованных сбережений Сумма значений показателя R3V17 (изысканная сумма) 5. ДЕНЕЖНЫЕ ДОХОДЫ 3.1+ 4 6. РАСПОЛАГАЕМЫЕ РЕСУРСЫ 3 + 4.1 3.3. Алгоритмы формирования агрегированных показателей уровня потребления продуктов питания
1. По итогам ОБДХ формируется следующая совокупность показателей, характеризующих уровень потребления продуктов питания и их пищевую ценность:
1.1. Потребление, в расчете на одного потребителя, кг
- Хлеб и хлебные продукты
- Картофель
- Овощи и бахчевые
- Фрукты и ягоды
- Мясо и мясные продукты
- Молоко и молочные продукты
- Яйца
- Рыба и рыбные продукты
- Сахар и кондитерские изделия
- Масло растительное и другие жиры
1.2. Состав пищевых веществ и энергетическая ценность потребленных продуктов питания, на одного потребителя
- Белки, г (в том числе в продуктах животного происхождения)
- Жиры, г (в том числе в продуктах животного происхождения)
- Углеводы, г (в том числе в продуктах животного происхождения)
- Калорийность, ккал (в том числе в продуктах животного происхождения)
2. Программой ОБДХ предусмотрена регистрация веса и объема купленных товаров, пошедших на потребление, в совокупности с частью потребленной пищевой продукции, поступившей из ранее сделанных запасов, произведенной в личных подсобных хозяйствах и поступившей из иных источников без оплаты.
Общий объем потребления исчисляется как сумма количества продуктов, приобретенных домохозяйствами для личного потребления в учетный период, количества потребленных продуктов, поступивших в домохозяйства в счет оплаты труда, в виде продукции собственного производства, подарков, а также объема использованных на потребление в течение учетного периода продуктовых запасов, созданных до начала обследования. Из объема потребления исключаются продукты, приобретенные в учетный период для создания продуктовых запасов, подарков, переработки для длительного хранения, в качестве корма для скота и домашних животных.
3. Для получения данных по агрегированным группам продуктов используются коэффициенты пересчета продуктов питания, полученных в результате переработки сельскохозяйственного сырья, в первичный продукт. В основу расчета этих коэффициентов взят фактический расход мяса, молока, муки, сахара на выработку единицы продукции колбасных изделий, молочных продуктов, хлеба, кондитерских изделий и других продуктов.
4. Для получения данных по содержанию пищевых веществ и калорийности потребленных продуктах питания используется информация о химическом составе продуктов питания (белки, жиры, углеводы) и их калорийности.
5. Уровень потребления продуктов питания и пищевых веществ, содержащихся в потребленных продуктах питания, определяются как отношение общего объема потребления к числу потребительских единиц (потребителей), исходя из их фактического присутствия в домашнем хозяйстве. Результаты ОБДХ не дают информации о различиях в потреблении каждого члена домохозяйства в зависимости от возраста и пола.
3.4. Состав группировок, используемых для характеристики доходов, расходов и потребления домашних хозяйств
1. Перечень группировок, используемых для характеристики доходов, расходов домохозяйств и потребления домашних хозяйств:
- По типу населенных пунктов;
- По числу членов домохозяйства;
- По наличию и числу детей в составе домохозяйства;
- По размеру домохозяйств и числу детей в возрасте до 16 лет;
- По числу работающих лиц и наличию детей в возрасте до 16 лет;
- По отдельным социально-демографическим группам домохозяйств;
- По 10-процентным (децильным) группам;
- По 20-процентным (квинтильным) группам;
- По домохозяйствам с располагаемыми ресурсами (денежными доходами) ниже/выше величины прожиточного минимума.
2. Формирование показателей доходов, расходов и потребления домашних хозяйств с использованием перечисленных выше группировок осуществляется при условии попадания в каждую подгруппу указанных группировок не менее 50-ти единиц обследования.
3. Состав группировок, по которым производится формирование итогов обследования на федеральном и региональном уровне:
наименование группировки и ее состав федеральный уровень региональный уровень 1. ПО ТИПУ НАСЕЛЕННЫХ ПУНКТОВ домохозяйства, проживающие в городских населенных пунктах - всего + + в том числе с численностью населения, тыс. чел: + менее 50,0 + 50,0 – 99,9 + 100,0 -249,9 + 250,0 - 499,9 + 500,0 - 999,9 + 1 млн. и более + домохозяйства, проживающие в сельских населенных пунктах - всего + + в том числе с численностью населения, чел: + до 200 + 201 - 1000 + 1001 - 5000 + более 5000 + 2. ПО ЧИСЛУ ЧЛЕНОВ ДОМОХОЗЯЙСТВА домохозяйства, состоящие: из 1 лица + + из 2 лиц + + из 3 лиц + + из 4 лиц + + из 5 и более лиц + 3. ПО НАЛИЧИЮ И ЧИСЛУ ДЕТЕЙ В СОСТАВЕ ДОМОХОЗЯЙСТВА домохозяйства, имеющие детей в возрасте до 16 лет - всего + + из них домохозяйства, имеющие: + + 1 ребенка + + 2 детей + + 3 и более детей + справочно: домохозяйства, имеющие в своем составе + детей в возрасте до 3 лет + детей в возрасте до 23 лет + домохозяйства, не имеющие детей в возрасте до 16 лет - всего + + 4. ПО РАЗМЕРУ ДОМОХОЗЯЙСТВ И ЧИСЛУ ДЕТЕЙ В ВОЗРАСТЕ ДО 16 ЛЕТ домохозяйства, состоящие из 1 лица + домохозяйства, состоящие из 2-х лиц: с 1-м ребенком + без детей + домохозяйства, состоящие из 3-х лиц: с 1-м ребенком + с 2-мя детьми + без детей + домохозяйства, состоящие из 4-х лиц: с 1-м ребенком + с 2-мя детьми + с 3-мя детьми + без детей + домохозяйства, состоящие из 5-ти и более лиц: с 1-м ребенком + с 2-мя детьми + с 3-мя детьми + с 4-мя и более детьми + без детей + 5. ПО ЧИСЛУ РАБОТАЮЩИХ ЛИЦ И НАЛИЧИЮ ДЕТЕЙ в возрасте до 16 лет домохозяйства, состоящие из одного взрослого без детей: с работающим взрослым + с неработающим взрослым + домохозяйства, состоящие из одного взрослого с детьми: с работающим взрослым + с неработающим взрослым + домохозяйства, состоящие из двоих или более взрослых с детьми: с двумя или более работающими взрослыми + с одним работающим взрослым + с неработающими взрослыми + домохозяйства, состоящие из двоих или более взрослых без детей: с двумя или более работающими взрослыми + с одним работающим взрослым + с неработающими взрослыми + 6. ПО ОТДЕЛЬНЫМ СОЦИАЛЬНО-ДЕМОГРАФИЧЕСКИМ ГРУППАМ ДОМОХОЗЯЙСТВ домохозяйства, имеющие в своем составе многодетные семьи + домохозяйства, имеющие в своем составе неполные семьи + домохозяйства, имеющие в своем составе молодые семьи + домохозяйства, состоящие только из неработающих пенсионеров + домохозяйства, имеющие в своем составе инвалидов: домохозяйства, состоящие только из инвалидов (всех возрастных групп) + домохозяйства, имеющие в своем составе детей-инвалидов в возрасте до 16 лет + 7. ПО 10-ПРОЦЕНТНЫМ (ДЕЦИЛЬНЫМ) ГРУППАМ 1 группа + 2 группа + 3 группа + 4 группа + 5 группа + 6 группа + 7 группа + 8 группа + 9 группа + 10 группа + 8. ПО 20-ПРОЦЕНТНЫМ (КВИНТИЛЬНЫМ) ГРУППАМ 1 группа + + 2 группа + + 3 группа + + 4 группа + + 5 группа + + 9. ПО ДОМОХОЗЯЙСТВАМ С РАСПОЛАГАЕМЫМИ РЕСУРСАМИ (ДЕНЕЖНЫМИ ДОХОДАМИ) НИЖЕ/ВЫШЕ ВЕЛИЧИНЫ ПРОЖИТОЧНОГО МИНИМУМА домохозяйства, имеющие располагаемые ресурсы (денежные доходы) ниже величины прожиточного минимума - всего + из них: + домохозяйства с детьми в возрасте до 16 лет + из них с 3-мя и более детьми + домохозяйства неработающих пенсионеров + домохозяйства, имеющие располагаемые ресурсы (денежные доходы) выше величины прожиточного минимума + 4. Установление принадлежности домохозяйств к группам, формируемым по различным типам населенных пунктов, производится на основании данных ВПН-2010, актуализированных по итогам текущей статистики, о типе отобранного населенного пункта (городской/сельский) и о численности населения, проживающего в отобранном населенном пункте.
5. Установление принадлежности домохозяйств к конкретной социально-экономической группе (по числу членов домохозяйств, по наличию и числу детей в составе домохозяйства, по размеру домохозяйств и числу детей в возрасте до 16 лет, по числу работающих лиц и наличию детей в возрасте до 16 лет и основным социально-демографическим группам), производится на основании информации о каждом члене домохозяйства (возраст, пол, отношения родства (свойства), семейное положение, тип семейной единицы, статус занятости), регистрируемой на дату завершения квартала (Раздел 1 Опросного листа).
6. Установление принадлежности домохозяйств к соответствующей 10-ти процентной (децильной) группе производится расчетным методом:
- на основе ранжирования всех обследованных домохозяйств по уровню среднедушевых денежных доходов в целом по России - для получения группировок в целом по России;
- на основе ранжирования обследованных домохозяйств по уровню среднедушевых денежных доходов в отдельности по каждому субъекту Российской Федерации - для получения группировок по субъекту Российской Федерации.
Формирование 10-ти процентных (децильных) групп производится, исходя из условия, что каждая 10-ти процентная (децильная) группа должна содержать одинаковое число лиц (членов домашних хозяйств), равное 1/10 от общей численности обследуемых, с точностью до одного домохозяйства.
7. Установление принадлежности домохозяйств к соответствующей 20-ти процентной (квинтильной) группе производится на основе установленной принадлежности к соответствующим 10-ти процентным (децильным) группам: 1 квинтильная группа включает в себя 1 и 2 децильную группу, 2 квинтильная группа - 3 и 4 децильную группу и т.д.
8. Установление принадлежности домохозяйств к группам с располагаемыми ресурсами (денежными доходами) ниже/выше величины прожиточного минимума производится расчетным методом на основе соизмерения величины располагаемых ресурсов (денежных доходов) каждого обследованного домашнего хозяйства с суммарной величиной прожиточного минимума, определяемой, исходя из состава домохозяйства, на основании данных о величине прожиточного минимума для различных социально-демографических групп населения по соответствующему субъекту Российской Федерации за отчетный квартал.
4. МЕТОД РАСПРОСТРАНЕНИЯ ДАННЫХ НА ГЕНЕРАЛЬНУЮ СОВОКУПНОСТЬ И ОЦЕНКИ ИХ СТАТИСТИЧЕСКОЙ ТОЧНОСТИ
4.1. Метод и алгоритмы распространения данных на генеральную совокупность
1. Распространение итогов ОБДХ на генеральную совокупность осуществляется посредством присвоения каждому обследованному домохозяйству статистического веса, который характеризует общее число домохозяйств, представляемых частью, попавшей в выборку.
2. Расчет статистических весов (далее - весов) производится последовательно в три этапа.
2.1. Веса первого этапа (первичные веса) рассчитываются на основе информации о формировании выборки и являются обратной величиной к вероятности отбора, рассчитываемой для каждой единицы отбора в зависимости от плана выборки.
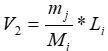
Веса первого этапа рассчитываются по следующей формуле:

где:
V1 - вероятность отбора i-ого населенного пункта:
;V2 - вероятность отбора j-ого счетного участка в i-ом населенном пункте:
;V3 - вероятность отбора j-ого домашнего хозяйства на j-ом счетном участке:
;Mi – численность населения в отобранном населенном пункте на 1 января отчетного года;
mj – численность населения на отобранном счетном участке по данным переписи 2010 года;
Li – число отобранных счетных участков в i-ом отобранном населенном пункте;
Dj – число домохозяйств на j-ом отобранном счетном участке по данным переписи 2010 года;
dj – число домохозяйств, отобранных для наблюдения на j-ом счетном участке;
N1(N2) – численность городского (сельского) населения в республике, крае, области на 1 января отчетного года;
K1 (K2) – количество отобранных городских (сельских) населенных пунктов/городских районов.
2.2. На втором этапе производится корректировка первичных весов на основе данных переписи населения о распределении членов обследуемых домохозяйств по семьям различного состава отдельно по городскому и сельскому населению в региональном разрезе. Это положение основано на гипотезе о соответствии группы обследованных домохозяйств, объединенной по какому-либо признаку, группе домохозяйств с тем же признаком в генеральной совокупности.
На втором этапе взвешивания каждому домохозяйству k-го вида в j-ом разрезе в процессе распространения присваивается вес равный:

где:
Wkj - удельный вес населения (числа лиц в домохозяйствах) в k-ой группе j-го разреза в общей численности населения по данным переписи населения 2010 года;
Nj - численность населения j-го разреза по данным текущей статистики;
Nkj - число членов домохозяйства в k-ой группе по данным выборочного обследования в j-ом разрезе (рассчитывается с применением весов первого этапа):
j =0 – вся территория; j =1 – город; j =2 – село;
k=1 – домохозяйства, состоящие из 1 человека;
k=2 – домохозяйства, состоящие из 2-х человек;
k=3 – домохозяйства, состоящие из 3-х человек;
k=4 – домохозяйства, состоящие из 4-х человек;
k=5 – домохозяйства, состоящие из 5-ти и более человек.
3.3. На третьем этапе производится дополнительная корректировка весов, полученных на втором этапе, в целях компенсации неполного охвата населения (отказы от обследования, недоступность и т.п.). Это положение основано на гипотезе о соответствии характера распределения населения по уровню среднедушевых денежных доходов в генеральной и выборочной совокупностях логнормальному закону распределения, при этом оценка величины модального денежного дохода по итогам ОБДХ принимается как наиболее достоверная выборочная оценка одного из параметров генеральной совокупности.
Корректировка производится на основе использования следующей информации в разрезе субъектов Российской Федерации:
- значение макроэкономического показателя денежного дохода по населению в целом за отчетный период (в среднем на душу, в месяц);
- ряды распределения обследуемого населения по величине среднедушевого денежного дохода по итогам ОБДХ за отчетный период;
- оценка величины модального денежного дохода по итогам ОБДХ за отчетный период.
4.2. Метод оценки статистической точности результатов обследования
1. Оценки показателей доходов, расходов и потребления, формируемые на основе программы ОБДХ, представляют собой значения, имеющие отклонение от генеральной совокупности. Это отклонение обусловлено ошибками, присущими выборочному наблюдению вследствие различий между элементами совокупности, включенными в выборку и не попавшими в нее.
2. Для оценки ошибки выборки или точности статического оценивания используются количественные меры возможного отклонения выборочной оценки от действительного значения параметра в генеральной совокупности. В этих целях применяются следующие показатели:
- стандартная (средняя) ошибка выборки;
- относительная стандартная ошибка;
- величина доверительного интервала.
2.1. Стандартная (средняя) ошибка выборки
- представляет собой среднеквадратическое отклонение возможных значений выборочной средней от генеральной средней. Стандартная (средняя) ошибка выборки показывает в абсолютном выражении величину возможного отклонения выборочной оценки от действительного значения параметра в генеральной совокупности;2.2. Относительная стандартная ошибка (коэффициент вариации оценки)
– вычисляется как отношение величины стандартной (средней) ошибки выборки к выборочной оценке параметра и показывает, насколько процентов выборочная оценка может отклониться от значения параметра в генеральной совокупности.2.4. Величина доверительного интервала
, где
- квантиль нормального распределения, соответствующий желательной доверительной вероятности Р=1-α (при Р=0,68 tα=1; при Р=0,9 tα =1,6; при P=0,95 tα =1,96; при P=0,99 tα =2,58) - представляет собой диапазон в абсолютном выражении (интервальную оценку), в котором может быть заключено значение соответствующего параметра генеральной совокупности.3. Характеристики точности оценивания итоговых показателей ОБДХ рассчитываются с помощью программного продукта IBM SPSS Statistics модуль Complex Samples с учетом плана выборки ОБДХ.
ПРИЛОЖЕНИЕ к Методологическим положениям по формированию агрегированных показателей доходов, расходов и потребления домашних хозяйств на основе программы выборочного обследования бюджетов домашних хозяйств
Идентификационные коды КИПЦ-ДХ, используемые в описании алгоритмов формирования обобщающих показателей доходов и расходов
Код классификационный
Наименование направлений потребления Код идентификационный
ПОТРЕБИТЕЛЬСКИЕ РАСХОДЫ 01 ПРОДУКТЫ ПИТАНИЯ И БЕЗАЛКОГОЛЬНЫЕ НАПИТКИ 01.1 Продукты питания 01.1.1 Хлебобулочные изделия и крупы 01.1.1.1.0 Рис (кг) 1 01.1.1.2 Мука и другие крупы (кг) 01.1.1.2.1 Мука 2 01.1.1.2.2 Крупа манная 3 01.1.1.2.3 Пшено 4 01.1.1.2.4 Крупа гречневая 5 01.1.1.2.5 Крупа овсяная и перловая 6 01.1.1.2.6 Другие крупы 7 01.1.1.3 Хлеб (кг) 01.1.1.3.1 Хлеб пшеничный 8 01.1.1.3.2 Хлеб ржаной и прочий 9 01.1.1.4 Другие хлебобулочные изделия (кг) 01.1.1.4.1 Булочные изделия сдобные 10 01.1.1.4.2 Сухарные изделия 11 01.1.1.4.3 Бараночные изделия 12 01.1.1.4.4 Печенье 13 01.1.1.4.5 Пряники 14 01.1.1.4.6 Торты и пироги 15 01.1.1.4.7 Другие хлебобулочные и кондитерские изделия 16 01.1.1.5 Макаронные изделия (кг) 01.1.1.5.1 Макароны, лапша, вермишель, 17 01.1.1.5.2 Другие макаронные изделия 18 01.1.1.5.3 Изделия из теста, приготовленные с начинкой или без начинки и требующие тепловой обработки перед употреблением 19 01.1.1.6 Другие крупяные изделия (кг) 01.1.1.6.1 Овсяные хлопья «Геркулес» 20 01.1.1.6.2 Детское питание, изготовленное на основе крупы, муки или крахмала 21 01.1.1.6.3 Другие крупяные изделия 22 01.1.1.6.4 Готовые изделия из риса с различными добавками 23 01.1.2 Мясо 01.1.2.1 Говядина (кг) 01.1.2.1.1 Говядина с костями 24 01.1.2.1.2 Говядина бескостная 25 01.1.2.2.0 Телятина (кг) 26 01.1.2.3 Свинина (кг) 01.1.2.3.1 Свинина с костями 27 01.1.2.3.2 Свинина бескостная 28 01.1.2.4.0 Баранина и козлятина (кг) 29 01.1.2.5 Мясо птицы (кг) 01.1.2.5.1 Куры 30 01.1.2.5.2 Куриные субпродукты 31 01.1.2.5.3 Мясо другой птицы 32 01.1.2.6 Прочие виды мяса и съедобные потроха (кг) 01.1.2.6.1 Мясо прочих домашних и диких животных 33 01.1.2.6.2 Печень говяжья 34 01.1.2.6.3 Печень свиная 35 01.1.2.6.4 Другие субпродукты 36 01.1.2.7 Деликатесы и мясные полуфабрикаты (кг) 01.1.2.7.1 Колбасы вареные 37 01.1.2.7.2 Колбасы варенокопченые, полукопченые 38 01.1.2.7.3 Колбасы сырокопченые 39 01.1.2.7.4 Другие колбасные изделия 40 01.1.2.7.5 Сосиски, сардельки, шпикачки 41 01.1.2.7.6 Мясокопчености, мясные закуски 42 01.1.2.7.7 Мясные и мясорастительные консервы (кроме консервов для детского питания) 43 01.1.2.7.8 Мясные и мясорастительные консервы для детского питания 44 01.1.2.7.9 Мясные полуфабрикаты и готовые изделия 45 01.1.3 Рыба и морепродукты 01.1.3.1 Рыба и морепродукты живые и охлажденные (кг) 01.1.3.1.1 Рыба живая и охлажденная 46 01.1.3.1.2 Морепродукты живые и охлажденные 47 01.1.3.2 Рыба и морепродукты замороженные (кг) 01.1.3.2.1 Рыба замороженная неразделенная 48 01.1.3.2.2 Рыба замороженная разделанная (без головы, потрошеная) 49 01.1.3.2.3 Морепродукты замороженные 50 01.1.3.3 Консервированная и переработанная рыба и морепродукты (кг) 01.1.3.3.1 Рыба и морепродукты соленые, копченые, сушеные (кроме сельди) 51 01.1.3.3.2 Сельдь соленая 52 01.1.3.3.3 Рыбные консервы натуральные и с добавлением масла 53 01.1.3.3.4 Рыбные консервы в томатном соусе 54 01.1.3.3.5 Икра осетровых, лососевых рыб (весовая и в банках) 55 01.1.3.3.6 Другие рыбные консервы 56 01.1.3.3.7 Рыбные полуфабрикаты и готовые изделия 57 01.1.4 Молочные изделия, сыр и яйца 01.1.4.1 Молоко свежее (л) 01.1.4.1.1 Молоко цельное 58 01.1.4.1.2 Молоко нормализованное, прошедшее термическую обработку 59 01.1.4.1.3 Соевое молоко 60 01.1.4.2 Молоко консервированное (кг) 01.1.4.2.1 Молоко сухое 61 01.1.4.2.2 Сухие молочные смеси для детского питания 62 01.1.4.2.3 Сливки сухие 63 01.1.4.2.4 Молоко сгущенное с сахаром 64 01.1.4.2.5 Другие молочные консервы 65 01.1.4.3 Другие молочные продукты 01.1.4.3.1 Йогурт (кг) 66 01.1.4.3.2 Сливки (л) 67 01.1.4.3.3 Сметана (кг) 68 01.1.4.3.4 Жидкие молочные смеси для детского питания (л) 69 01.1.4.3.5 Кисломолочные продукты (л) 70 01.1.4.3.6 Другие молочные продукты (л) 71 01.1.4.4 Сыр и творог (кг) 01.1.4.4.1 Сыры сычужные твердые и мягкие 72 01.1.4.4.2 Сыры плавленые 73 01.1.4.4.3 Другие сыры и брынза 74 01.1.4.4.4 Творог жирный 75 01.1.4.4.5 Творог нежирный 76 01.1.4.4.6 Сырковая масса и другие изделия из творога 77 01.1.4.5 Яйца и продукты на основе яиц 01.1.4.5.1 Яйца (шт.) 78 01.1.4.5.2 Яичный порошок (кг) 79 01.14.5.3 Меланж (кг) 80 01.1.5 Масла и жиры 01.1.5.1.0 Масло животное (сливочное) (кг) 81 01.1.5.2.0 Маргарин (кг) 82 01.1.5.3 Другие съедобные растительные масла и жиры 01.1.5.3.1 Оливковое масло 83 01.1.5.3.2 Подсолнечное и другие растительные масла 84 01.1.5.3.3 Съедобные жиры животного происхождения 85 01.1.6 Фрукты 01.1.6.1 Свежие и охлажденные фрукты (кг) 01.1.6.1.1 Цитрусовые 86 01.1.6.1.2 Бананы 87 01.1.6.1.3 Яблоки 88 01.1.6.1.4 Плоды косточковых культур 89 01.1.6.1.5 Другие фрукты 90 01.1.6.1.6 Арбузы, дыни 91 01.1.6.1.7 Виноград 92 01.1.6.1.8 Другие ягоды 93 01.1.6.2 Сухофрукты и орехи (кг) 01.1.6.2.1 Сухофрукты 94 01.1.6.2.2 Виноград сушеный 95 01.1.6.2.3 Орехи, фруктовые зернышки и съедобные семена 96 01.1.6.3.0 Замороженные и консервированные фрукты, изделия из фруктов (кг) 97 01.1.7 Овощи 01.1.7.1 Свежие и охлажденные овощи, кроме картофеля (кг) 01.1.7.1.1 Капуста 98 01.1.7.1.2 Другие зеленные культуры 99 01.1.7.1.3 Огурцы и помидоры 100 01.1.7.1.4 Бахчевые и другие овощи, выращиваемые ради их плодов, маслины и оливки 101 01.1.7.1.5 Свекла столовая 102 01.1.7.1.6 Морковь 103 01.1.7.1.7 Другие столовые корнеплоды 104 01.1.7.1.8 Лук и чеснок 105 01.1.7.1.9 Грибы 106 01.1.7.2.0 Свежий и охлажденный картофель (кг) 107 01.1.7.3.0 Замороженные овощи (кг) 108 01.1.7.4 Сушеные овощи (кг) 01.1.7.4.1 Сушеные овощи 109 01.1.7.4.2 Сушеные грибы 110 01.1.7.4.3 Бобовые в стадии биологической спелости 111 01.1.7.5 Консервированные или переработанные овощи и продукты из овощей (кг) 01.1.7.5.1 Овощные консервы натуральные (кроме консервов для детского питания) и маринованные 112 01.1.7.5.2 Овощные консервы закусочные 113 01.1.7.5.3 Консервы томатные 114 01.1.7.5.4 Овощные консервы для детского питания 115 01.1.7.5.5 Полуфабрикаты и готовые изделия из овощей 116 01.1.7.5.6 Полуфабрикаты и готовые изделия из картофеля 117 01.1.8 Сахар, джем, мед, шоколад и конфеты 01.1.8.1 Сахар и его искусственные заменители (кг) 01.1.8.1.1 Сахар 118 01.1.8.1.2 Заменители сахара 119 01.1.8.2 Варенье, джемы и мед (кг) 01.1.8.2.1 Варенье, джем, повидло 120 01.1.8.2.2 Фруктовые консервы (кроме консервов для детского питания) 121 01.1.8.2.3 Фруктовые консервы для детского питания 122 01.1.8.2.4 Мед натуральный 123 01.1.8.3 Конфеты, шоколад и другие продукты из какао (кг) 01.1.8.3.1 Шоколад 124 01.1.8.3.2 Конфеты шоколадные 125 01.1.8.3.3 Карамель 126 01.1.8.3.4 Зефир, пастила 127 01.1.8.3.5 Кондитерские изделия, освежающие полость рта 128 01.1.8.3.6 Другие кондитерские изделия 129 01.1.8.4 Фруктовые льды и мороженое (кг) 01.1.8.4.1 Мороженое молочное и сливочное 130 01.1.8.4.2 Другое мороженое 131 01.1.9.0 Пищевые продукты, не отнесенные к другим категориям 01.1.9.0.1 Кетчуп 132 01.1.9.0.2 Майонез 133 01.1.9.0.3 Другие соусы и приправы 134 01.1.9.0.4 Соль 135 01.1.9.0.5 Кулинарные травы и пряности 136 01.1.9.0.6 Дрожжи, супы и концентраты 137 01.1.9.0.7 Гомогенизированное детское питание 138 01.1.9.0.8 Другие продукты питания 139 01.2 Безалкогольные напитки 01.2.1 Кофе, чай, какао 01.2.1.1.0 Кофе (кг) 140 01.2.1.2.0 Чай (кг) 141 01.2.1.3.0 Какао и какао-порошок (кг) 142 01.2.2 Минеральные воды, прохладительные напитки и соки 01.2.2.1 0 Минеральные воды и родниковая вода (л) 143 01.2.2.2 Газированная вода и другие напитки (л) 01.2.2.2.1 Газированная вода (кроне минеральной) 144 01.2.2.2.2 Другие напитки 145 01.2.2.3 Фруктовые и овощные соки (л) 01.2.2.3.1 Фруктовые соки 146 01.2.2.3.2 Овощные соки 147 02 АЛКОГОЛЬНЫЕ НАПИТКИ, ТАБАЧНЫЕ ИЗДЕЛИЯ И НАРКОТИКИ 02.1 Алкогольная продукция (л) 02.1.1.0 Спиртные напитки 02.1.1.0.1 Водка 148 02.1.1.0.2 Коньяки, коньячные напитки 149 02.1.1.0.3 Ликероводочные изделия 150 02.1.2.0.0 Винодельческая продукция 151 02.1.3.0.0 Пиво и напитки, изготавливаемые на основе пива 152 02.1.4.0.0 Прочая алкогольная продукция с содержанием и без содержания этилового спирта 153 02.2.0 Табачные изделия 02.2.0.1 Сигареты 02.2.0.1.1 Сигареты с фильтром 154 02.2.0.1.2 Сигареты без фильтра 155 02.2.0.2.0 Другие табачные изделия 156 02.3.0.0.0 Наркотики 157 03 ОДЕЖДА И ОБУВЬ 03.1 Одежда 03.1.1.0 Материалы для пошива одежды 03.1.1.0.1 Хлопчатобумажные ткани 158 03.1.1.0.2 Шерстяные ткани 159 03.1.1.0.3 Шелковые, синтетические, штапельные ткани 160 03.1.1.0.4 Прочие материалы 161 03.1.2 Верхняя одежда и белье 03.1.2.1 Мужская верхняя одежда и белье 03.1.2.1.1 Пальто, плащи, куртки на утепленной подкладке или меховые (кроме кожаных) 162 03.1.2.1.2 Пальто, плащи, куртки без утепленной подкладки (кроме кожаных) 163 03.1.2.1.3 Пальто, плащи, куртки кожаные 164 03.1.2.1.4 Костюмы, пиджаки, жилеты 165 03.1.2.1.5 Брюки 166 03.1.2.1.6 Свитера, жакеты, пуловеры 167 03.1.2.1.7 Рубашки 168 03 1.2.1.8 Нижнее белье (включая ночное) 169 03.1.2.1.9 Чулочно-носочные изделия 170 03.1.2.2 Женская верхняя одежда и белье 03.1.2.2.1 Пальто, плащи, куртки на утепленной подкладке или меховые (кроме кожаных) 171 03.1.2.2.2 Пальто, плащи, куртки без утепленной подкладки (кроме кожаных) 172 03.1.2.2.3 Пальто, плащи, куртки кожаные 173 03.1.2.2.4 Костюмы, пиджаки, платья 174 03.1.2.2.5 Юбки, брюки 175 03.1.2.2.6 Свитера, жакеты, пуловеры 176 03.1.2.2.7 Блузки 177 03.1.2.2.8 Нижнее белье (включая ночное) 178 03.1.2.2.9 Чулочно-носочные изделия 179 03.1.2.3 Верхняя одежда и белье для детей от 3 до 14 лет 03.1.2.3.1 Пальто, плащи, куртки на утепленной подкладке или меховые 180 03.1.2.3.2 Пальто, плащи, куртки без утепленной подкладки 181 03.1.2.3.3 Костюмы, пиджаки, платья, жилеты 182 03.1.2.3.4 Юбки, брюки 183 03.1.2.3 5 Рубашки, блузки 184 03.1.2.3.6 Свитера, жакеты, пуловеры 185 03.1.2.3.7 Нижнее белье (включая ночное) 186 03.1.2.3.8 Чулочно-носочные изделия 187 03.1.2.4.0 Одежда для детей до 3 лет 188 03.1.3.0 Другая одежда и галантерея 03.1.3.0.1 Головные уборы мужские из натурального меха 189 03.1.3.0.2 Головные уборы женские из натурального меха 190 03.1.3.03 Головные уборы детские из натурального меха 191 03.1.3.0.4 Прочие головные уборы мужские, женские и детские 192 03.1.3.0.5 Головные и шейные платки, шарфы 193 03.1.3.0.6 Перчатки, варежки, муфты 194 03.1.3.0.7 Рабочая одежда 195 03.1.3.0.8 Галантерея 196 03.1.4.0 Чистка, ремонт и прокат одежды 03.1.4.0.1 Ремонт одежды 197 03.1.4.0.2 Пошив и прокат одежды 198 03.1.4.0.3 Химчистка, стирка и окраска одежды 199 03.2 Обувь 03.2.1 Сапоги, туфли и прочая обувь 03.2.1.1 Мужская обувь 03.2.1.1.1 Сапоги, ботинки зимние 200 03.2.1.1.2 Сапоги, ботинки демисезонные 201 03.2.1.1.3 Полуботинки, туфли, сандалии 202 03.2.1.1.4 Спортивная обувь неспециализированная 203 03.2.1.1.5 Резиновая обувь 204 03.2.1.1.6 Прочие виды обуви 205 03.2.1.2 Женская обувь 03.2.1.2.1 Сапоги, ботинки зимние 206 03.2.1.2.2 Сапоги, ботинки демисезонные 207 03.2.1.2.3 Туфли 208 03.2.1.2.4 Босоножки 209 03.2.1.2.5 Спортивная обувь неспециализированная 210 03.2.1.2.6 Резиновая обувь 211 03.2.1.2.7 Прочие виды обуви 212 03.2.1.3 Обувь для детей до 14 дет 03.2.1.3.1 Сапоги, ботинки утепленные 213 03.2.1.3.2 Ботинки без утеплителя, полуботинки, туфли 214 03.2.1.3.3 Босоножки, сандалеты 215 03.2.1.3.4 Спортивная обувь неспециализированная 216 03.2.1.3.5 Резиновая обувь 217 03.2.1.3.6 Прочие виды обуви 218 03.2.2.0 Ремонт, изготовление и прокат обуви 03.2.2.0.1 Ремонт и прокат обуви 219 03.2.2.0.2 Изготовление обуви 220 04 ЖИЛИЩНЫЕ УСЛУГИ, ВОДА, ЭЛЕКТРОЭНЕРГИЯ, ГАЗ И ДРУГИЕ ВИДЫ ТОПЛИВА 04.1 Фактическая арендная плата за жилье 04.1.1 Фактическая арендная плата, оплаченная арендатором 04.1.1.1 Арендная плата, выплачиваемая квартиросъемщиками, живущими в квартирах или комнатах 04.1.1.1.1 В домах муниципального и ведомственного жилищных фондов, жилищного фонда общественных организаций, колхозов и других юридических лиц 221 04.1.1.1.2 Аренда жилья у частных владельцев. 222 04.1.1.2.0 Арендная плата, выплачиваемая жильцами домов на одну семью 223 04.1.2.0.0 Прочие виды фактической арендной платы 224 04.2 Условно начисленная арендная плата за жилищные услуги 04.2.1 Условно начисленная арендная плата жильцов-владельцев жилья 04.2.1.1.0 Условно начисленная арендная плата жильцов-владельцев жилья, живущих в квартирах 04.2.1.2.0 Условно начисленная арендная плата жильцов-владельцев жилья, живущих в домах на одну семью 04.2.2.0.0 Прочие виды условно начисленной арендной платы 04.3 Текущее содержание и ремонт жилого помещения 04.3.1 Материалы для текущего, содержания и ремонта жилого помещения 04.3.1.0.1 Краски и лаки 225 04.3.1.0.2 Обои 226 04.3.1.0.3 Стекло оконное 227 04.3.1.0.4 Сантехническое оборудование 228 04.3.1.0.5 Пиломатериалы, плиты древесностружечные, древесноволокнистые, фанера 229 04.3.1.0.6 Кирпич 230 04.3.1.0.7 Цемент 231 04.3.1.0.8 Шифер, рубероид и другие кровельные материалы 232 04.3.1.0.9 Другие строительные и отделочные материалы 233 04.3.2.0 Услуги по текущему содержанию и ремонту жилого помещения 04.3.2.0.1 Услуги по текущему содержанию и ремонту основного жилья 234 04.3.2.0.2 Услуги по текущему содержанию и ремонту дополнительного жилья 235 04.4 Водоснабжение и другие коммунальные услуги 04.4.1.0.0 Водоснабжение холодное 236 04.4.2.0.0 Вывоз мусора 237 04.4.3.0.0 Услуги канализации 238 04.4.4.0 Прочие виды обслуживания жилого помещения 04.4.4.0.1 Техническое обслуживание квартир, находящихся в частной собственности граждан, не объединенных в ТСЖ, ЖК и ЖСК 239 04.4.4.0.1 Техническое обслуживание квартир, находящихся в частной собственности граждан, объединенных в ТСЖ 240 04.4.4.0.1 Техническое обслуживание квартир, находящихся в частной собственности граждан, объединенных в ЖК и ЖСК 241 04.4.4.0.2 Техническое обслуживание муниципального и ведомственного жилья 242 04.4.4.0.3 Другие виды обслуживания жилого помещения 243 04.5 Электроэнергия, газ и другие виды топлива 04.5.1.0.0 Электроэнергия 244 04.5.2 Газ 04.5.2.1 0 Сетевой газ 245 04.5.2.2 Сжиженный газ 04.5.2.2.1 Сжиженный газ, поступающий в жилье по трубам 246 04.5.2.2.2 Сжиженный газ в баллонах 247 04.5.3.0.0 Жидкое топливо 248 04.5.4.0 Твердое топливо 04.5.4.0.1 Дрова, срезки 249 04.5.4.0.2 Уголь каменный и бурый, угольные брикеты 250 04.5.4.0.3 Торф и другие виды топлива 251 04.5.5.0 Горячее водоснабжение, паровое отопление 04.5.5.0.1 Водоснабжение горячее 252 04.5.5.0.2 Центральное отопление 253 05 ПРЕДМЕТЫ ДОМАШНЕГО ОБИХОДА, ПОВСЕДНЕВНОГО УХОДА ЗА ДОМОМ И БЫТОВАЯ ТЕХНИКА 05.1 Мебель, предметы домашнего обихода, художественного оформления, ковры, другие покрытия для пола и их ремонт 05.1.1 Мебель и предметы домашнего обихода 05.1.1.1.0 Мебель для кухни 254 05.1.1.2.0 Мебель для спальни 255 05.1.1.3 Мебель для гостиных и столовых 05.1.1.3.1 Гарнитуры для гостиных и столовых 256 05.1.1.3.2 Столы, стулья 257 05.1.1.3.3 Мягкая мебель 258 05.1.1.3.4 Шкафы 259 05.1.1.4 Прочая мебель и предметы домашнего обихода 05.1.1.4.1 Прочая мебель 260 05.1.1.4.2 Люстры и другое оборудование для освещения 261 05.1.1.4.3 Предметы художественного оформления 262 05.1.1.4.4 Прочие домашние принадлежности 263 05.1.2.0 Ковры и другие покрытия для пола 05.1.2.0.1 Ковры и ковровые покрытия 264 05.1.2.0.2 Линолеум и другие покрытия для пола 265 05.1.2.0.3 Работы по настилу покрытия для пола 266 05.1.3.0.0 Ремонт мебели, предметов домашнего обихода и покрытий для пола 267 05.2.0.0 Текстильные изделия для дома 05.2.0.0.1 Ткани для изготовления изделий для дома хлопчатобумажные 268 05.2.0.0.2 Ткани для изготовления изделий для дома шерстяные, шелковые, синтетические, штапельные и прочие 269 05.2.0.0.3 Постельные принадлежности 270 05.2.0.0.4 Постельное белье 271 05.2.0.0.5 Столовое и банное белье 272 05.2.0.0.6 Текстильные предметы интерьера 273 05.2.0.0.7 Текстильные изделия хозяйственного назначения 274 05.2.0.0.8 Ремонт текстильных изделий для дома 275 05.3 Бытовые приборы, включая ремонт 05.3.1 Крупные бытовые приборы, электрические и неэлектрические 05.3.1.1 Холодильники, морозильники 05.3.1.1.1 Холодильники 276 05.3.1.1.2 Морозильники 277 05.3.1.1.3 Запасные части 278 05.3.1.2 Стиральные и сушильные, посудомоечные машины 05.3.1.2.1 Стиральные машины 279 05.3.1.2.2 Сушильные машины 280 05.3.1.2.3 Посудомоечные машины 281 05.3.1.2.4 Запасные части 282 05.3.1.2.5 Услуги по установке стиральных, сушильных и посудомоечных машин 283 05.3.1.3 Плиты, печи и духовки 05.3.1.3.1 Плиты, печи и духовки 284 05.3.1.3.2 Запасные части 285 05.3.1.3.3 Услуги по установке газовых и электроплит и подобных бытовых приборов 286 05.3.1.4 Обогреватели, кондиционеры 05.3.1.4.1 Обогреватели, кондиционеры 287 05.3.1.4.2 Запасные части 288 05.3.1.4.3 Услуги по установке обогревателей и кондиционеров 289 05.3.1.5 Прочие крупные бытовые приборы 05.3.1.5.1 Оборудование для уборки 290 05.3.1.5.2 Швейные и вязальные машины 291 05.3.1.5.3 Другая крупная бытовая техника 292 05.3.1.5.4 Запасные части 293 05.3.2.0 Малые электробытовые приборы 05.3.2.0.1 Малые электробытовые приборы 294 05.3.2.0.2 Запасные части 295 05.3.3.0.0 Ремонт бытовых приборов 296 05.4.0 Стеклянные изделия, столовая посуда и домашняя утварь 05.4.0.1 Стеклянные, хрустальные и керамические изделия для дома, офиса и украшения помещений 05.4.0.1.1 Стеклянные и хрустальные изделия 297 05.4.0.1.2 Керамическая, фарфоровая и фаянсовая столовая посуда 298 05.4.0.2.0 Стоповые приборы 299 05.4.0.3.0 Кухонная посуда и приспособления, прочая домашняя утварь 300 05.4.0.4.0 Ремонт посуды и домашней утвари 301 05.5 Инструменты и оборудование для дома и сада 05.5.1.0 Крупные инструменты и оборудование 05.5.1.0.1 Инструменты и оборудование (кроме техники для сада) 302 05.5.1.0.2 Техника для сада 303 05.5.1.0.3 Ремонт инструментов и оборудования 304 05.5.2 Мелкие инструменты и приспособления 05.5.2.1.0 Мелкие электрические изделия 305 05.5.2.2 Ручные инструменты, садовые инструменты и приспособления 05.5.2.2.1 Ручные инструменты (кроме садового инвентаря) 306 05.5.2.2.2 Садовый инвентарь 307 05.5.2.2.3 Предметы домашнего обихода 308 05.5.2.2.4 Ремонт и изготовление мелких инструментов и предметов домашнего обихода 309 05.6 Товары и услуги для повседневного ухода за жильем 05.6.1 Товары для повседневного ухода за жильем недлительного пользования 05.6.1.1 Моющие, чистящие средства и другие товары бытовой химии 05.6.1.1.1 Средства по уходу за домом 310 05.6.1.1.2 Синтетические моющие средства 311 05.6.1.1.3 Мыло хозяйственное 312 05.6.1.1.4 Другие товары бытовой химии 313 05.6.1.2.0 Прочие хозяйственные принадлежности 314 05.6.2 Домашние и бытовые услуги 05.6.2.1 Домашние услуги 05.6.2.1.1 Услуги по воспитанию и обучению детей, предоставляемые наемным персоналом 315 05.6.2.1.2 Услуги по уходу за домом, предоставляемые наемным персоналом 316 05.6.2.2.0 Стирка и химическая чистка 317 05.6.2.3.0 Прочие бытовые услуги 318 06 ЗДРАВООХРАНЕНИЕ 06.1 Медикаменты, лечебное оборудование и аппаратура 06.1.1.0 Фармацевтическая продукция 06.1.1.0.1 Лекарственные средства 319 06.1.1.0.2 Витамины и минеральные вещества 320 06.1.2.0.0 Прочая продукция медицинского назначения 321 06.1.3 Медицинские приборы и ортопедические изделия 06.1.3.1.0 Очки и контактные линзы 322 06.1.3.2 Прочие медицинские приборы и ортопедические изделия 06.1.3.2.1 Прочие медицинские приборы и ортопедические изделия 323 06.1.3.2.2 Ремонт медицинских приборов и ортопедических изделий 324 06.2 Амбулаторные услуги 06.2.1 Медицинские услуги 06.2.1.1.0 Услуги врачей общего профиля 325 06.2.1.2.0 Услуги врачей-специалистов 326 06.2.2.0 Стоматологические услуги 06.2.2.0.1 Профилактика и лечение зубов 327 06.2.2.0.2 Зубное протезирование 328 06.2.3 Услуги медицинских лабораторий и другие медицинские услуги 06.2.3.1.0 Услуги медицинских лабораторий и рентгеновских кабинетов 329 06.2.3.2.0 Услуги медицинских сестер и акушерок 330 06.2.3.3.0 Другие медицинские услуги 331 06.2.3.4.0 Медицинские услуги, предоставляемые в учреждениях не медицинского профиля 800 06.3.0.0 Услуги больниц 06.3.0 0.1 Услуги больниц, медицинских центров, родильных домов 332 06.3.0.0.2 Санаторно-оздоровительные услуги реабилитационных учреждений 333 07 ТРАНСПОРТ 07.1 Покупка транспортных средств 07.1.1.0.0 Автомобили новые 334 07.1.2.0.0 Автомобили подержанные 801 07.1.3.0.0 Мотоциклы 335 07.1.4.0.0 Велосипеды 336 07.1.5.0.0 Гужевые транспортные средства 337 07.2 Эксплуатация личных транспортных средств 07.2.1.0 Запасные части и принадлежности 07.2.1.0.1 Запасные части и принадлежности для ремонта и технического обслуживания 338 07.2.1.0.2 Гаражи нестационарные 339 07.2.2.0 Горюче-смазочные материалы 07.2.2.0.1 Бензин 340 07.2.2.0.2 Дизельное топливо 341 07.2.2.0.3 Газовое моторное топливо 802 07.2.2.0.4 Смазочные материалы 342 07.2.3.0.0 Обслуживание и ремонт 343 07.2.4.0.0 Другие услуги, имеющие отношение к личным транспортным средствам 344 07.3 Транспортные услуги 07.3.1 Железнодорожный пассажирский транспорт 07.3.1.1 Городской и пригородный железнодорожный и электрический пассажирский транспорт 07.3.1.1.1 Поезд пригородный 345 07.3.1.1.2 Трамвай 346 07.3.1.1.3 Метро 347 07.3.1.1.4 Троллейбус 348 07.3.1.2 Железнодорожный пассажирский транспорт дальнего следования 07.3.1.2.1 Железнодорожный пассажирский транспорт внутреннего сообщения 349 07.3.1.2.2 Железнодорожный пассажирский транспорт международного сообщения 350 07.3.2 Автомобильный пассажирский транспорт 07.3.2.1 Городской и пригородный автобусный пассажирский транспорт 07.3.2.1.1 Автобус 351 07.3.2.1.2 Микроавтобус (маршрутное такси) 352 07.3.2.2.0 Городской и пригородный таксомоторный транспорт (такси) 353 07.3.2.3 Междугородный и международный автомобильный пассажирский транспорт 07.3.2.3.1 Автобус междугородного внутреннего сообщения 354 07.3.2.3.2 Автобус международного сообщения 355 07.3.2.3.3 Таксомоторный транспорт (такси) 356 07.3.3.0 Воздушный пассажирский транспорт 07.3.3.0.1 Воздушный пассажирский транспорт внутреннего сообщения 357 07.3.3.0.2 Воздушный пассажирский транспорт международного сообщения 358 07.3.4.0.0 Морской и внутренний водный пассажирский транспорт 359 07.3.5.0.0 Комбинированные проездные документы на пассажирский транспорт 360 07.3.6.0.0. Прочие транспортные услуги 361 08 СВЯЗЬ 08.1.0.0.0 Почтовые услуги 362 08.2.0.0 Телефонное и факсимильное оборудование 08.2.0.0.1 Мобильные телефоны 363 08.2.0.0.2 Оборудование для стационарной телефонной и телефаксной связи 364 08.2.0.0.3 Ремонт оборудования для телефонной и телефаксной связи 365 08.3.0.0 Услуги телефонной и документальной связи 08.3.0.0.1 Подключение к сети местной телефонной связи 366 08.3.0.0.2 Услуги сети местной телефонной связи 367 08.3.0.0.3 Услуги по предоставлению междугородных и международных телефонных соединений 368 08.3.0.0.4 Услуги сотовой телефонной связи 369 08.3.0.0.5 Другие услуги телефонной связи 370 08.3.0.0.6 Услуги телеграфной связи 371 08.3.0.0.7 Услуги Интернет 372 09 ОРГАНИЗАЦИЯ ОТДЫХА И КУЛЬТУРНЫЕ МЕРОПРИЯТИЯ 09.1 Аудиовизуальное, фотографическое оборудование и оборудование для обработки информации 09.1.1 Оборудование для приема, записи и воспроизведения звука и изображения 09.1.1.1 Телевизоры и видеомагнитофоны 09.1.1.1.1 Телевизоры 373 09.1.1.1.2 Видеомагнитофоны, видеоплееры 374 09.1.1.1.3 Другая телеаппаратура и принадлежности 375 09.1.1.1.4 Запасные части 376 09.1.1.2 Радиоприемники, CD-плееры и другая электро-акустическая аппаратура 09.1.1.2.1 Радиоприемники 377 09.1.1.2.2 Проигрыватели, магнитофоны, плееры 378 09.1.1.2.3 Музыкальные центры 379 09.1.1.2.4 Компоненты и аксессуары для аудио и hi-fi техники 380 09.1.1.2.5 Запасные части 381 09.1.2.0 Фотографическое, кинематографическое оборудование и оптические приборы 09.1.2.0.1 Фотоаппараты 382 09.1.2.0.2 Кинокамеры и видеокамеры 383 09.1.2.0.3 Другое фотографическое и кинематографическое оборудование, оптические приборы 384 09.1.2.0.4 Запасные части 385 09.1.3.0 Оборудование для обработки информации 09.1.3.0.1 Персональные компьютеры 386 09.1.3.0.2 Периферийное и комплектующее оборудование 387 09.1.3.0.3 Другое оборудование для обработки данных 388 09.1.3.0.4 Запасные части 389 09.1.4 Носители для записи звука и изображения 09.1.4.1 Носители для записи звука, изображения и информации с записью 09.1.4.1.1 CD-диски 390 09.1.4.1.2 DVD-диски 391 09.1.4.1.3 Другие носители для записи звука и изображения 392 09.1.4.2.0 Носители для записи звука, изображения и информации без записи (чистые) 393 09.1.5.0.0 Ремонт и обслуживание аудиовизуального, фотографического оборудования и оборудования для обработки информации 394 09.2 Другие товары длительного пользования дли организации отдыха и культурных мероприятии 09.2.1.0 Товары длительного пользования для отдыха вне дома 09.2.1.0.1 Товары для спорта и досуга 395 09.2.1.0.2 Туристические микроавтобусы, фургоны и трейлеры 396 09.2.1.0.3 Запасные части 397 09.2.2.0.0 Музыкальные инструменты и другие предметы длительного пользования для отдыха и развлечений в помещении 398 09.2.3.0.0 Техническое обслуживание и ремонт основных предметов длительного пользования для отдыха и культурных мероприятий 399 09.3 Другие товары и оборудование для отдыха, сады и домашние животные 09.3.1.0 Игры, игрушки и хобби 09.3.1.0.1 Детские велосипеды, санки 400 09.3.1.0.2 Игры и игрушки 401 09.3.1.0.3 Предметы для коллекционирования и другого хобби 402 09.3.2.0 Предметы для занятий спортом, туризмом и отдыха на открытом воздухе 09.3.2.0.1 Предметы для занятий спортом 403 09.3.2.0.2 Предметы для занятий туризмом и отдыха на открытом воздухе 404 09.3.2.0.3 Ремонт предметов для занятий спортом и туризмом 405 09.3.3.0.0 Садоводство 406 09.3.4.0.0 Домашние животные 407 09.3.5.0 Ветеринарные и прочие услуги для домашних животных 09.3.5.0.1 Ветеринарные услуги 408 09.3.5.0.2 Услуги по уходу за домашними животными и их обучению 409 09.4 Услуга по организации отдыха и культурных мероприятий 09.4.1.0 Услуги по организации отдыха и спортивных мероприятий 09.4.1.0.1 Услуги в области физкультуры и спорта 410 09.4.1.0.2 Услуги в области развлечений 411 09.4.1.0.3 Занятия в кружках и на хобби-курсах 412 09.4.2 Услуги по организации культурных мероприятий 09.4.2.1.0 Услуги фотографов 413 09.4.2.2 Прочие услуги по организации культурных мероприятий 09.4.2.2.1 Кино, театры, концерты 414 09.4.2.2.2 Музеи, зоологические сады и т.п. 415 09.4.2.2.3 Услуги телерадиовещания, прокат оборудования 416 09.4.2.2.4 Другие услуги по организации культурных мероприятий 417 09.4.3.0.0 Азартные игры 418 09.5 Газеты, книги, канцелярские принадлежности 09.5.1.0.0 Книги 419 09.5.2.0.0 Газеты и периодические издания 420 09.5.3.0.0 Другие печатные материалы 421 09.5.4.0 Канцелярские принадлежности и принадлежности для рисования 09.5.4.0.1 Бумажно-беловые товары 422 09.5.4.0.2 Канцелярские принадлежности 423 09.6.0.0 Организация комплексного отдыха 09.6.0.0.1 Пребывание в центрах отдыха на территории России 424 09.6.0.0.2 Речные и морские круизы в территориальных водах России 425 09.6.0.0.3 Путешествия по территории России 426 09.6.0.0.4 Экскурсионные услуги на территории России 427 09.6.0.03 Зарубежные туры 428 10 ОБРАЗОВАНИЕ 10.1.0.0.0 Дошкольное и начальное образование 429 10.2.0.0.0 Основное общее и среднее (полное) общее образование 430 10.3.0.0.0 Среднее профессиональное образование 431 10.4.0.0.0 Высшее профессиональное образование 432 10.5.0.0.0 Образование, не определенное по уровню 433 11 ГОСТИНИЦЫ, КАФЕ И РЕСТОРАНЫ 11.1 Общественное питание 11.1.1 Рестораны и кафе 11.1.1.1.0 Рестораны 434 11.1.1.2.0 Кафе, буфеты, бары 435 11.1.1.3 Прочие услуги общественного питания 11.1.1.3.1 Прочие услуги общественного питания 436 11.1.1.3.2 Другое питание вне дома 437 11.1.2.0.0 Столовые 438 11.2 Гостиничные услуги 11.2.0 Гостиничные услуги 11.2.0.1.0 Отели, пансионаты и подобные заведения 439 11.2.0.2.0 Прочие гостиничные услуги 440 12 ДРУГИЕ ТОВАРЫ И УСЛУГИ 12.1 Личные услуги 12.1.1 Парикмахерские салоны и прочие косметические учреждения 12.1.1.1 Парикмахерские и косметические услуги для мужчин 12.1.1.1.1 Услуги парикмахерских и косметических салонов 441 12.1.1.1.2 Услуги бань, душевых, саун 442 12.1.1.2 Парикмахерские и косметические услуги для женщин 12.1.1.2.1 Услуги парикмахерских и косметических салонов 443 12.1.1.2.2 Услуга бань, душевых, саун 444 12.1.2.0.0 Электрические приборы для личной гигиены 445 12.1.3.0 Другие изделия для личной гигиены 12.1.3.0.1 Неэлектрические предметы личной гигиены 446 12.1.3.0.2 Мыло туалетное 447 12.1.3.0.3 Духи и туалетная вода 448 12.1.3.0.4 Другие парфюмерно-косметические товары 449 12.1.3.0.5 Санитарно-гигиенические изделия из бумаги 450 12.2.0.0.0 Проституция 451 12.3 Предметы личного обихода, не отнесенные к другим категориям 12.3.1.0 Ювелирные украшения, настольные, настенные и наручные часы 12.3.1.0.1 Ювелирные изделия 452 12.3.1.0.2 Бижутерия 453 12.3.1.0.3 Часы наручные 454 12.3.1.0.4 Другие часы 455 12.3.1.0.5 Ремонт часов и ювелирных изделий 456 12.3.2 Прочие предметы личного обихода 12.3.2.1.0 Товары для путешествий и другие предметы кожгалантереи 457 12.3.2.2 Прочие предметы личного обихода 12.3.2.2.1 Товары для младенцев 458 12.3.2.2.2 Предметы личного обихода 459 12.3.2.2.3 Религиозные изделия 803 12.3.2.2.4 Ритуальные изделия 460 12.3.2.2.5 Прочие предметы 461 12.3.2.2.6 Ремонт предметов личного обихода 462 12.4.0.0 Социальная защита 12.4.0.0.1 Услуги социальных служб и учреждений по защите несовершеннолетних, престарелых, инвалидов и социально неадаптированных лиц 463 12.4.0.0.2 Услуги дошкольных учреждений 464 12.5 Страхование 12.5.1.0.0 Страхование жизни 12.5.2.0.0 Страхование жилья 465 12.5.3.0.0 Страхование здоровья 466 12.5.4.0.0 Страхование транспортных средств 467 12.5.5.0.0 Прочие виды страхования 468 12.6 Финансовые услуги 12.6.1.0.0 Финансовые посреднические услуги 12.6.2.0.0 Другие финансовые услуги 469 12.7.0.0 Другие услуги, не отнесенные к перечисленным категориям 12.7.0.0.1 Услуги правового характера 470 12.7.0.0.2 Религиозные услуги 471 12.7.0.0.3 Ритуальные услуги 472 12.7.0.0.4 Посреднические и прочие услуги 473 12.7.0.0.5 Услуги по доставке товаров, приобретенных через Интернет 474 РАСХОДЫ, НЕ СВЯЗАННЫЕ С ПОТРЕБЛЕНИЕМ Личное подсобное хозяйство Сельскохозяйственная и другая техника 901 Сельскохозяйственный инвентарь 902 Племенной и продуктивный скот 903 Молодняк скота для откорма и птица 904 Корма, семена, удобрения 905 Бензин и другое топливо 906 Электроэнергия 907 Услуги, полученные в процессе производства 908 Арендная плата 909 Строительство и капитальный ремонт производственных строений 910 Налоги 911 Другие обязательные платежи 912 Услуги страхования 913 Погашение ссуд и кредитов, полученных на создание и развитие производства, включая процентные платежи 914 Авансовые выплаты, связанные с ведением производственной деятельности 915 Предпринимательская деятельность Крупное оборудование и инструменты для производственной деятельности 916 Мелкие инструменты и оборудование для ведения производственной деятельности 917 Сырье и материалы 918 Товары для перепродажи 919 Бензин и другое топливо 920 Электроэнергия 921 Услуги, полученные в процессе производства 922 Арендная плата 923 Строительство и капитальный ремонт производственных строений 924 Налоги, сборы, капитальные затраты и т.п. Налоги 925 Другие обязательные платежи 926 Услуги страхования 927 Погашение ссуд и кредитов, полученных на создание и развитие производства, включая процентные платежи 928 Авансовые выплаты, связанные с ведением производственной деятельности 929 Подоходный налог 930 Другие налоги 931 Сборы, обязательные платежи 932 Выплаты по исполнительному листу 933 Деньги, отданные в подарок или на оказание безвозмездной помощи 934 Покупка строительных материалов для строительства и капитального ремонта 935 Оплата услуг по строительству и капитальному ремонту 936 Покупка недвижимости 937 Покупка ювелирных изделий и антиквариата 938 Суммы, внесенные на банковские счета 939 Покупка ценных бумаг 940 Страхование жизни 941 Покупка иностранной валюты 942 Сумма, отданная в долг 943 Погашение ссуд и кредитов, возврат долга 944 Сумма выплаченного аванса
945 Другие расходы 946 1 Утвержден распоряжением Правительства Российской Федерации от 6 мая 2008 г. № 671-р с последующими изменениями.
2 Утвержден приказом Росстата от 14 апреля 2016 г. № 189 "О переходе на новую выборку домохозяйств для проведения выборочного обследования бюджетов домашних хозяйств".
3 Размещены на в информационно-телекоммуникационной сети "Интернет" (далее - Интернет-сайт Росстата): http://www.gks.ru/metod/form17/Page6.html
4 Размещен на официальном Интернет-сайте Росстата: http://www.gks.ru/wps/wcm/connect/rosstat_main/rosstat/ru/statistics/population/level/
5 Лицо считается «постоянно (обычно) проживающим» в домашнем хозяйстве, если оно проводит ежесуточно в этом домашнем хозяйстве бо́льшую часть своего ежедневного ночного отдыха.
6 Фактическое (или предполагаемое) отсутствие длится более одного года или не более одного года соответственно.
*) Здесь и далее - значение понятия приведено исключительно в целях настоящих Методологических положений.
7 Наименования расходов с соответствующими им идентификационными кодами представлены в Приложении к настоящим методологическим положениям