Система национальных счетов 2008. Глава 4: Институциональные единицы и секторы
- Содержание
- А. Введение
- B. Корпорации в СНС
- С. Некоммерческие организации
- D. Сектор нефинансовых корпораций и его подсекторы
- Е. Сектор финансовых корпораций и его подсекторы
- 1. Центральный банк
- 2. Корпорации, принимающие депозиты, кроме центрального банка
- 3. Фонды денежного рынка (ФДР)
- 4. Инвестиционные фонды неденежного рынка
- 5. Другие финансовые посредники, кроме страховых корпораций и пенсионных фондов
- 6. Вспомогательные финансовые корпорации
- 7. Кэптивные финансовые учреждения и ростовщики
- 8. Страховые корпорации (СК)
- 9. Пенсионные фонды (ПФ)
- F. Сектор государственного управления и его подсекторы
- G. Сектор домашних хозяйств и его подсекторы
- H. Сектор некоммерческих организаций, обслуживающих домашние хозяйства
- I. Сектор остального мира
А. Введение
4.1 В этой главе рассматривается определение институциональных единиц и метод, с помощью которого они группируются в секторы и подсекторы в СНС. Другая важная концепция, которая должна быть обсуждена, касается резидентства, так как вся экономика страны представляет собой полную совокупность всех резидентских институциональных единиц.
1. Институциональные единицы
4.2 Институциональная единица – это экономическая единица, которая способна от своего имени владеть активами, принимать обязательства, участвовать в экономической деятельности и вступать в операции с другими единицами. Главные характеристики институциональных единиц могут быть описаны следующим образом:
- a. Институциональная единица имеет право владеть товарами и активами от своего имени; она, следовательно, может обмениваться товарами и активами в операциях с другими институциональными единицами;
- b. Она может принимать экономические решения и участвовать в экономической деятельности, за которую она несет прямую ответственность и подотчетна по закону;
- c. Она способна принимать обязательства от своего имени, принимать обязательства другого рода и обязательства, связанные с будущей деятельностью, и заключать контракты;
- d. Институциональная единица должна иметь полный набор счетов, включая баланс активов и пассивов, или должна существовать возможность составить содержательный с экономической точки зрения набор счетов, если они потребуются.
4.3 Существует два рода единиц в реальном мире, которые могут рассматриваться как институциональные единицы, а именно, физические лица или группы физических лиц в форме домашних хозяйств и юридические лица или общественные организации.
4.4 В СНС домашнее хозяйство определено как группа лиц, которые живут в одном и том же жилище, объединяют частично или полностью свои доходы и имущество и потребляют коллективно некоторые виды товаров и услуг, главным образом, жилищные услуги и продукты питания. Наряду с отдельными домашними хозяйствами существуют единицы, которые называются институциональными домашними хозяйствами; они включают группу лиц, которые остаются в течение длительного периода времени в больницах, домах престарелых, монастырях, тюрьмах и т.д.
4.5 Отдельные члены домашнего хозяйства, которое состоит из нескольких лиц, не рассматриваются как отдельные институциональные единицы. Многие активы являются собственностью двух или более членов того же самого домашнего хозяйства, и обязательства также могут приниматься несколькими членами того же самого домашнего хозяйства; в то же время доход, полученный отдельными членами того же домашнего хозяйства, может быть использован всеми членами домашнего хозяйства. Более того, многие решения по вопросу о расходах, в особенности те, которые относятся к расходам на продукты питания и оплату жилищных услуг, могут приниматься коллективно для домашнего хозяйства в целом. Поэтому может оказаться невозможным составить баланс активов и пассивов и другие счета для отдельных членов домашнего хозяйства, которые содержали бы полезную с экономической точки зрения информацию. По этой причине домашнее хозяйство в целом, а не отдельные его члены, должно рассматриваться как институциональная единица.
4.6 Второй тип институциональной единицы - это юридическое лицо или общественная организация, которые занимаются экономической деятельностью и от своего имени вступают в операции с другими единицами. К ним относятся корпорации, некоммерческие организации (НКО) и органы государственного управления. Юридическое лицо или общественная организация - это такая единица, существование которой признано законом или обществом, независимо от физических лиц или других юридических единиц, которые, возможно, являются их собственниками или контролируют их. Такие единицы ответственны или подотчетны за экономические решения или действия, которые они предпринимают, хотя их автономность может быть ограничена в некоторой степени другими институциональными единицами; например, корпорации в конечном итоге контролируются их акционерами. Поведение некоторых некорпорированных предприятий, принадлежащих домашним хозяйствам или органам государственного управления, аналогично поведению корпораций, и поэтому такие предприятия рассматриваются как квазикорпорации, если у них есть полный набор счетов.
4.7 В юридическом смысле слова корпорации могут выступать под различными названиями: корпорации, корпорированные предприятия, государственные компании, государственные корпорации, частные компании, компании с ограниченной ответственностью, партнерства с ограниченной ответственностью, компании с акционерным капиталом. С другой стороны, некоторые юридические лица, которые являются некоммерческими организациями, могут иногда называть себя корпорациями. Статус институциональной единицы не всегда может быть определен исходя из ее названия, он определяется ее функциями и целями. В СНС термин «корпорация» охватывает корпорации, учрежденные как юридические лица, а также кооперативы, партнерства с ограниченной ответственностью, условные резидентские единицы и квазикорпорации. Описание этих различных типов институциональных единиц приведено в разделе B.
4.8 Некоммерческие организации (НКО) – это юридические лица или общественные организации, создаваемые с целью производства товаров и услуг, чей статус не позволяет им быть источником дохода, прибыли или другой финансовой выгоды для единиц, которые их учреждают, контролируют или финансируют. На практике их производственная деятельность должна создавать либо доход, либо убыток, но любой доход, который они могут получить, не может быть присвоен другими институциональными единицами. Устав организации, в соответствии с которым они учреждены, сформулирован таким образом, что институциональные единицы, которые их контролируют или управляют ими, не имеют права на получение доли в любых прибылях или других доходах, которые они получают. По этой причине они нередко освобождены от уплаты налогов. Описание трактовки различных НКО в СНС дано в разделе C.
4.9 Органы государственного управления (государственные единицы) представляют собой уникальные типы юридических лиц, учрежденные в результате политических процессов, которые обладают законодательной, судебной или исполнительной властью в отношении других институциональных единиц в пределах данной территории. Основные функции органов государственного управления как институциональных единиц состоят в том, чтобы принимать ответственность за предоставление товаров и услуг обществу в целом или отдельным домашним хозяйствам и финансировать предоставление этих товаров и услуг за счет налоговых поступлений или других доходов; перераспределять доход и богатство с помощью трансфертов; и осуществлять нерыночное производство.
2. Резидентство
4.10 Резидентство каждой институциональной единицы – это экономическая территория, с которой она имеет наиболее тесную связь, другими словами, на которой находится центр ее преобладающего экономического интереса. Концепция экономической территории в СНС совпадает с этой концепцией в Руководстве по платежному балансу, 6-ое издание – РПБ6 (Balance of Payments Manual, 6th edition - BPM6). Некоторые ключевые характеристики изложены ниже. В широком смысле, экономической территорией может быть любая географическая территория или подведомственная область, в отношении которых необходима статистика. Связь институциональных единиц с определенной экономической территорией определяется на основе таких признаков, как физическое присутствие и подчинение юрисдикции правительства на данной территории. Наиболее распространенная концепция экономической территории - это территория, находящаяся под фактическим контролем одного правительства. Однако экономическая территория может быть шире или уже этого определения, например, как в случае валютного или экономического союза, или части страны, или мира.
4.11 Экономическая территория включает площадь земли, воздушное пространство, территориальные воды, включая юрисдикцию на права рыболовства и права на энергетические ресурсы и ресурсы других полезных ископаемых. В случае морской территории экономическая территория включает острова, принадлежащие данной стране. Экономическая территория также включает территориальные анклавы в остальном мире. Они представляют собой четко отграниченные участки земли, расположенные на территории других стран (на которых находятся такие учреждения, как посольства, консульства, военные базы, научные станции, информационные и иммиграционные офисы, агентства, занятые предоставлением помощи, представительства центральных банков, имеющие дипломатическую неприкосновенность и т.д.) и используемые правительствами стран, которые являются их собственниками или арендуют их, для дипломатических, военных, научных или других целей на основе соглашений с правительствами стран, на территории которых они физически находятся.
4.12 Экономическая территория определяется как с точки зрения физического расположения, так и с юридической точки зрения. Концепции экономической территории и резидентства разработаны таким образом, чтобы отвечать требованию, в соответствии с которым каждая институциональная единица является резидентом одной экономической территории. Использование понятия экономической территории, определяющего охват экономической статистики, означает, что каждый член группы филиалов предприятий является резидентом той страны, на территории которой он находится, а не резидентом той страны, в которой находится головной офис.
4.13 В принципе, институциональная единица является резидентом одной и только одной страны, что определяется центром преобладающего экономического интереса единицы. Исключения могут быть сделаны в отношении многотерриториальных предприятий, которые осуществляют операции более чем в одной стране. Хотя предприятие может проводить значительные операции в нескольких странах, оно не может быть подразделено на отдельные филиалы или на материнское предприятие и его филиалы, так как оно управляется как одна единица, в отношении которой нет отдельных счетов или решений. Такие предприятия обычно заняты трансграничными видами деятельности и включают компании, занятые морскими перевозками, авиакомпании, гидростанции на пограничных реках, компании, осуществляющие эксплуатацию трубопроводов, мостов, тоннелей и подводных кабелей. Если не представляется возможным идентифицировать материнское предприятие и его отдельные филиалы, необходимо пропорционально отнести часть общего итога операций предприятия к отдельным странам. Более подробная информация об этих специальных случаях содержится в РПБ6.
4.14 Институциональная единица имеет центр экономического интереса на экономической территории, на которой имеется определенное место, жилой дом, производственный участок или помещение, на котором или с которого единица осуществляет или намерена продолжать осуществлять экономическую деятельность и операции в значительных размерах, либо в течение неопределенного времени, либо в течение определенного, но длительного периода времени. Место пребывания не должно быть обязательно постоянным, пока единица остается на экономической территории данной страны. Фактическое или предполагаемое место пребывания в течение одного года используется в качестве практического определения; выбор одного года в качестве критерия является условным, он принят для того, чтобы избежать неопределенности и содействовать достижению международной согласованности.
4.15 Концепция резидентства в СНС та же самая, что и в РПБ6. Некоторые ключевые моменты изложены ниже:
- a. Резидентство отдельных лиц определяется резидентством того домашнего хозяйства, частью которого они являются, а не местом их работы. Все члены того же самого домашнего хозяйства имеют тот же самый статус резидентства, который имеет домашнее хозяйство в целом, даже если они могут пересекать границу для работы или просто проводят некоторое время за границей. Если они работают за границей столь продолжительное время, что приобретают центр экономического интереса за границей, они перестают быть членами их первоначального домашнего хозяйства;
- b. Некорпорированные предприятия, которые не являются квазикорпорациями, не являются отдельными институциональными единицами, и, следовательно, они имеют то же самое резидентство, что и их собственники;
- c. Корпорации и НКО обычно имеют центр экономического интереса в стране, где они юридически учреждены и зарегистрированы. Корпорации могут быть резидентами стран, отличных от стран резидентства их акционеров, и дочерние корпорации могут иметь резидентство в странах, отличных от резидентства материнской корпорации. Если корпорация или некорпорированное предприятие имеет филиалы, офис или место производства в другой стране для осуществления производства в течение длительного периода времени (обычно в течение года или более), не создавая для этой цели дочернюю корпорацию, то филиал, офис или место производства рассматриваются как квазикорпорация (то есть как отдельная институциональная единица), являющаяся резидентом той страны, в которой она находится;
- d. Собственники земли, зданий или недвижимых сооружений на экономической территории данной страны или единицы, являющиеся держателями договоров аренды на любой из этих активов на длительный период времени, всегда рассматриваются как единицы, которые имеют центр экономического интереса в этой стране, даже если они не занимаются экономической деятельностью или операциями в этой стране. Вся земля и здания поэтому принадлежат резидентам данной страны;
- e. Добыча полезных ископаемых может осуществляться только резидентскими институциональными единицами. Предприятие, которое будет заниматься добычей полезных ископаемых, будет рассматриваться как получившее статус резидента, когда выданы требующиеся лицензии или заключены договоры аренды, если оно не получило этот статус раньше;
- f. Для единиц, таких как многие единицы специального назначения, в отношении которых мало или вообще нет данных об их местонахождении, местонахождение определяется по месту их инкорпорирования.
Более подробное рассмотрение пограничных случаев содержится в главе 26 и в РПБ6.
3. Группировка по институциональным секторам и экономическое поведение
4.16 Институциональные секторы в СНС представляют собой группы схожих по типу институциональных единиц. Корпорации, НКО, органы государственного управления и домашние хозяйства существенно отличаются друг от друга в отношении их экономических целей, функций и поведения.
4.17 Институциональные единицы относятся к соответствующему сектору в соответствии с характером их экономической деятельности. В СНС отражаются три основных вида экономической деятельности: производство товаров и услуг, потребление, удовлетворяющее желания и потребности человека, и накопление в различных формах капитала. Корпорации заняты либо производством, либо накоплением (либо и тем, и другим), но не конечным потреблением. Органы государственного управления заняты производством (но другого типа по сравнению с корпорациями), накоплением и конечным потреблением от имени населения и общества в целом. Все домашние хозяйства осуществляют потребление и могут быть также заняты производством и накоплением. НКО многообразны по своим характеристикам. Поведение некоторых из них аналогично поведению корпораций, некоторые практически являются частью органов государственного управления, а некоторые занимаются видами деятельности, которые аналогичны видам деятельности органов государственного управления, но функционируют независимо от них.
4.18 Основное различие между корпорациями и органами государственного управления связано с различиями в целях, для достижения которых осуществляется производство. Корпорации производят продукты для рынка и стремятся продать их по экономически значимым ценам. Экономически значимые цены - это такие цены, которые оказывают существенное влияние на количество продуктов, которые производители готовы поставить, и на количество продуктов, которое покупатели хотели бы приобрести. Эти цены обычно формируются, когда у производителя есть стимул скорректировать поставку товаров с целью получения прибыли в длительной перспективе (или как минимум возмещения затрат капитала и других расходов), а у потребителей есть свобода выбора покупать или не покупать товары и делать выбор на основе предлагаемых цен. Более подробное обсуждение определения экономически значимых цен и содержания рыночного и нерыночного производства представлено в главах 6 и 22.
4.19 Корпорации подразделяются на те, которые, главным образом, предоставляют финансовые услуги, и те, которые, главным образом, производят товары и другие услуги. Эти две группы корпораций называются финансовыми и нефинансовыми корпорациями, соответственно. Это различие проводится ввиду особой роли, которую играют финансовые корпорации в экономике.
4.20 Экономические цели, функции и поведение органов государственного управления существенно другие. Они организуют и финансируют обеспечение товарами и услугами отдельных домашних хозяйств и общества в целом и несут расходы на конечное потребление. Они могут производить большую часть этих товаров и услуг сами, но продукты обычно предоставляются либо бесплатно, либо по ценам, которые определяются на основе решений, не связанных с рыночными механизмами. Органы государственного управления обычно имеют дело с распределением и перераспределением дохода и богатства с помощью налогов и других трансфертов. Органы государственного управления включают фонды социального обеспечения.
4.21 Экономические цели, функции и поведение домашних хозяйств также имеют свою специфику. Хотя, прежде всего, они являются потребительскими единицами, они также могут заниматься производством. Очень часто эта производственная деятельность осуществляется в относительно небольших размерах и включает неформальную деятельность или деятельность личных подсобных хозяйств. В том случае, если производственные единицы домашних хозяйств не являются юридическими лицами, они рассматриваются как некорпорированные предприятия. Они остаются частью той же самой институциональной единицы (домашнего хозяйства), к которой они принадлежат.
4.22 НКО являются институциональными единицами, созданными с целью производства или предоставления товаров и услуг, но не с целью производства какого-либо дохода или прибыли для единиц, которые их контролируют или финансируют. Тем не менее, некоторые НКО предоставляют товары и услуги потребителям по экономически значимым ценам, и, когда они делают это, эти НКО отражаются в СНС так же, как корпорации. Другие НКО, которые контролируются и финансируются органами государственного управления, рассматриваются как органы государственного управления. Остающиеся НКО, которые производят товары и услуги, но не реализуют их по экономически значимым ценам, рассматриваются как особая группа единиц, называемая некоммерческими организациями, обслуживающими домашние хозяйства (НКОДХ). Они фактически являются неправительственными общественными организациями.
4. Экономика страны в целом
4.23 Экономика страны в целом определена как общая совокупность резидентских институциональных единиц. Резидентские институциональные единицы, которые в совокупности составляют экономику страны, группируются в пять взаимно исключающих друг друга институциональных секторов. Секторы - это группы институциональных единиц, и каждая институциональная единица в целом должна быть отнесена к одному или другому сектору. Полная последовательность счетов СНС может быть составлена для одной институциональной единицы или группы единиц. Характеристики институциональной единицы, описанные в параграфе 4.2, поясняют, почему невозможно составить полную последовательность счетов для какой-либо части единицы. Однако возможно и целесообразно составлять некоторые счета для некоторых разновидностей корпораций, различающихся по типам производства, которые они осуществляют. Эта тема обсуждается в главе 5. В настоящей главе основное внимание уделено вопросу отнесения полных единиц к тому или другому сектору.
5. Общий обзор институциональных секторов
4.24 Все институциональные единицы относятся к одному и только к одному из следующих пяти институциональных секторов:
- сектор нефинансовых корпораций;
- сектор финансовых корпораций;
- сектор государственного управления;
- сектор некоммерческих организаций, обслуживающих домашние хозяйства;
- сектор домашних хозяйств.
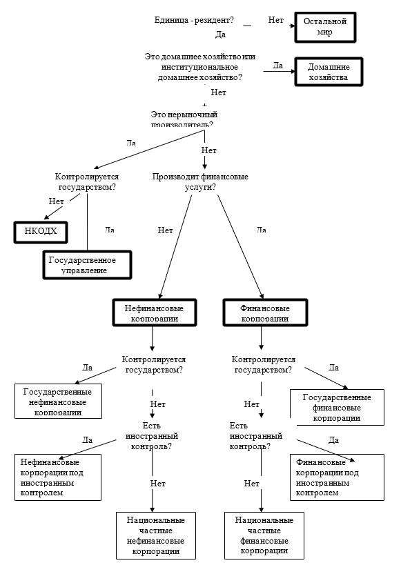
4.25 Концептуальная основа для отнесения той или иной единицы к соответствующему сектору представлена на рисунке 4.1. Клетки для секторов в экономике плюс клетка для остального мира очерчены двумя линиями. Если оставить в стороне нерезидентские единицы и домашние хозяйства, остаются только резидентские юридические лица и общественные организации. Три вопроса определяют отнесение всех таких единиц к соответствующему сектору. Первый вопрос состоит в том, является ли единица рыночным или нерыночным производителем. Это зависит от того, продается ли преобладающая часть выпуска единицы по экономически значимым ценам или нет.
4.26 Второй вопрос, определяющий отнесение институциональных единиц к секторам, относится к нерыночным единицам, которые все, включая нерыночные НКО, отнесены либо к сектору государственного управления, либо к сектору НКОДХ. Определяющий критерий - является ли единица частью органов государственного управления или контролируется ими. Критерии, определяющие контроль, обсуждаются в разделе C ниже.
Рисунок 4.1: Пример отнесения единиц к институциональным секторам
4.27 Третий вопрос, определяющий отнесение единиц к секторам, относится к рыночным единицам, которые все, включая рыночные НКО, относятся либо к сектору нефинансовых корпораций, либо к сектору финансовых корпораций. В контексте секторальной классификации и в других частях СНС термин «корпорация» охватывает кооперативы, партнерства с ограниченной ответственностью, условные резидентские единицы и квазикорпорации, а также юридически учрежденные корпорации.
4.28 Все резидентские нефинансовые корпорации включаются в сектор нефинансовых корпораций и составляют большую часть этого сектора на практике. Кроме того, этот сектор включает некоммерческие организации, занятые рыночным производством товаров и услуг; например, больницы, школы или колледжи, которые взимают плату, позволяющую им покрывать их текущие расходы, или ассоциации предпринимателей, финансирующие свои расходы за счет взносов по подписке от нефинансовых корпораций или некорпорированных предприятий; роль этих ассоциаций состоит в том, чтобы продвигать или обслуживать интересы этих предприятий. Сектор нефинансовых корпораций описан подробнее в разделе D.
4.29 Сектор финансовых корпораций включает все резидентские корпорации, основная деятельность которых состоит в предоставлении финансовых услуг, включая услуги финансового посредничества, услуги страхования и услуги пенсионного обеспечения, а также единицы, осуществляющие виды деятельности, которые содействуют финансовому посредничеству. Кроме того, этот сектор включает некоммерческие организации, занятые рыночным производством услуг финансового характера, которые финансируются за счет взносов по подписке от финансовых предприятий, и роль которых состоит в продвижении и обслуживании интересов этих предприятий. Сектор финансовых корпораций описывается далее в разделе E.
4.30 Сектор государственного управления включает, главным образом, центральные органы государственного управления, региональные органы управления и местные органы управления, включая фонды социального обеспечения, учрежденные и контролируемые этими единицами. Кроме того, он включает НКО, осуществляющие нерыночное производство, которые контролируются органами государственного управления или фондами социального обеспечения.
4.31 Сектор некоммерческих организаций, обслуживающих домашние хозяйства, включает все резидентские НКО, предоставляющие нерыночные товары и услуги домашним хозяйствам или обществу в целом, за исключением тех, которые контролируются органами государственного управления.
4.32 Сектор домашних хозяйств включает все домашние хозяйства, являющиеся резидентами данной страны. Они включают, в частности, институциональные домашние хозяйства, состоящие из лиц, находящихся в течение длительного периода времени в больницах, домах престарелых, монастырях, тюрьмах и т.д. Как было отмечено выше, некорпорированное предприятие, являющееся собственностью домашнего хозяйства, рассматривается как неотъемлемая часть последнего, а не как отдельная институциональная единица, однако, если в отношении него имеются достаточно подробные счета, это позволило бы рассматривать его в качестве квазикорпорации.
6. Подсекторы
4.33 Каждый из пяти институциональных секторов, упомянутых выше, может быть подразделен на подсекторы. Ни один из методов выделения подсекторов не может быть признан оптимальным для всех целей или всех стран, и поэтому рекомендуется применять альтернативные методы выделения подсекторов для отдельных секторов. Подразделение общей экономики на секторы повышает полезность счетов для экономического анализа, поскольку оно предполагает объединение институциональных единиц с аналогичными целями и поведением. Секторы и подсекторы также необходимы для того, чтобы можно было осуществлять мониторинг отдельных групп институциональных единиц, что важно для формирования экономической политики. Например, сектор домашних хозяйств должен быть подразделен на подсекторы с тем, чтобы можно было видеть как процесс экономического развития и меры социальной политики влияют на отдельные части общества. Аналогичным образом, может быть важным рассматривать корпорации, находящиеся под контролем нерезидентов, в качестве подсекторов секторов финансовых и нефинансовых корпораций не только потому, что они, вероятно, ведут себя иначе по сравнению с корпорациями, контролируемыми резидентами, но потому, что те, кто принимает решения по вопросам экономической политики, возможно, хотели бы идентифицировать те части экономики, на которые влияют решения, принимаемые за рубежом, и наблюдать за ними. Подразделение секторов на подсекторы зависит от типа намечаемого анализа, потребностей тех, кто разрабатывает экономическую политику, наличия данных и экономических обстоятельств, а также от организации отечественной экономики.
Государственный и иностранный контроль
4.34 Один общепринятый подход к подразделению секторов на подсекторы состоит в идентификации тех нефинансовых и финансовых корпораций, которые контролируются правительством, называемых государственными корпорациями, и тех, которые контролируются из-за рубежа. Остающиеся корпорации являются национальными частными корпорациями. Критерии для определения контроля со стороны правительства и из-за рубежа обсуждаются в разделе B. Рисунок 4.1 включает этот тип выделения подсекторов для обеих групп корпораций.
Некоммерческие организации
4.35 Как описано выше, в СНС НКО отнесены к различным секторам в зависимости от того, производят ли они для рынка или нет, независимо от мотивации, статуса работников или вида деятельности, которым они заняты. Однако существует все возрастающий интерес к рассмотрению всей совокупности НКО как свидетельства существования гражданского общества, в связи с чем рекомендуется выделить все НКО в рамках секторов корпораций и сектора государственного управления в особые подсекторы. Это позволило бы составлять дополнительные таблицы с данными, обобщающими все виды деятельности НКО, которые могли бы быть непосредственно получены, когда это потребуется.
Другие типы выделения подсекторов
4.36 Вопрос о выделении подсекторов включен в более подробное рассмотрение каждого институционального сектора в следующих разделах. Особые подсекторы предлагаются для сектора государственного управления, сектора финансовых корпораций и сектора домашних хозяйств.
7. Остальной мир
4.37 Иногда удобно ссылаться на нерезидентские домашние хозяйства или нерезидентские корпорации как на единицы, являющиеся резидентами остального мира. Если счета составляются для институциональных секторов или для экономики в целом, необходим еще один счет, показывающий взаимосвязи с остальным миром. Поэтому фактически операции с остальным миром отражаются так, как если бы остальной мир был де факто шестым сектором.
B. Корпорации в СНС
1. Типы корпораций
4.38 В СНС термин «корпорация» используется в более широком смысле, чем в строго юридическом. В принципе, все единицы, которые:
- a. могут производить прибыль или другие финансовые выгоды для их собственников,
- b. признаны законом как юридические лица, отдельные от их собственников, которые имеют ограниченные обязательства,
- c. учреждены для участия в рыночном производстве,
рассматриваются в СНС как корпорации, независимо от того, как они могут характеризовать себя и называть себя. Кроме корпораций, учрежденных как юридические лица, термин «корпорации» охватывает кооперативы, партнерства с ограниченной ответственностью, условные резидентские единицы и квазикорпорации. Когда используется термин «корпорация», имеется в виду более широкий охват по сравнению с узким юридическим определением, если только другое не оговорено. Каждый из этих главных компонентов обсуждается ниже по очереди.
Корпорации, учрежденные как юридические лица
4.39 Корпорации, учрежденные как юридические лица, могут фигурировать под различными наименованиями: корпорации, инкорпорированные предприятия, государственные компании с ограниченной ответственностью, партнерства с ограниченной ответственностью и т.д. Корпорация, учрежденная как юридическое лицо, представляет собой юридическое лицо, созданное с целью производства товаров или услуг для продажи их на рынке, которое может быть источником прибыли или других финансовых выгод для ее собственника (собственников). Она находится в коллективной собственности акционеров, которые имеют полномочия назначать директоров, ответственных за общее управление корпорацией.
4.40 Законы, регламентирующие создание, управление и операции корпораций, учрежденных как юридические лица, могут варьироваться от страны к стране, и поэтому невозможно дать точное юридическое определение корпорации, которое имело бы универсальный характер. Представляется возможным, однако, указать в детальной форме на некоторые типичные характеристики корпораций, которые являются наиболее существенными с точки зрения СНС. Они могут быть представлены следующим образом:
- a. Корпорация – это юридическое лицо, созданное в соответствии с законодательством, чье существование признается независимым от других институциональных единиц, которые могут быть акционерами этой корпорации. Существование, наименование и адрес корпорации обычно отражаются в специальном регистре, созданном для этой цели. Обычно считается, что корпорация имеет центр преобладающего экономического интереса (то есть является резидентом) в той стране, в которой она создана и зарегистрирована.
- b. Корпорация, которая создана с целью производства товаров и услуг для продажи их на рынке, осуществляет эти продажи по экономически значимым ценам. Это означает, что корпорация является рыночным производителем. (Описание экономически значимых цен и различия между рыночными и нерыночными производителями представлено в главах 6 и 22.)
- c. Корпорация полностью ответственна и подотчетна перед законом за свои действия, обязательства и контракты, и это является существенной характеристикой институциональной единицы в СНС. Корпорация является субъектом налогового режима в той стране, резидентом которой она является в отношении ее производственной деятельности, дохода или активов.
- d. Собственность корпорации принадлежит акционерам коллективно. Размер дохода, распределяемого акционерам в качестве дивидендов в течение одного отчетного периода, определяется директорами корпорации. Доход обычно распределяется акционерам пропорционально стоимости или количеству акций или другим видам участиям в капитале, которыми они обладают. Могут быть различные типы акций в той же самой корпорации, обеспечивающие различные права.
- e. В том случае, если корпорация сворачивает свою деятельность или ликвидируется, акционеры имеют права на долю в чистой стоимости капитала корпорации, остающуюся после того, как все активы проданы и обязательства погашены. Если корпорация объявляется банкротом ввиду того, что ее обязательства превышают стоимость ее активов, акционеры не обязаны выплачивать оставшуюся часть обязательств.
- f. Контроль над деятельностью корпорации в конечном итоге осуществляется коллективно акционерами. Корпорация имеет совет директоров, который ответственен за политику корпорации и назначает главных управляющих корпорации. Совет директоров обычно назначается коллективным голосованием акционеров.
- g. На практике, однако, некоторые акционеры могут оказывать большее влияние и осуществлять больший контроль над политикой и операциями корпорации, чем другие акционеры.
- h. Голосующие права акционеров, возможно, не являются равными. Некоторые типы акций обеспечивают больший вес в отношении голосующих прав, тогда как другие могут обеспечивать исключительные права, такие как право назначения в совет директоров или право накладывать вето на другие назначения, сделанные большинством голосов. Такие исключительные права могут принадлежать правительству в том случае, если оно является акционером корпорации.
- i. Многие акционеры, имеющие голосующие права, возможно, не используют их, и поэтому небольшое организованное меньшинство акционеров может осуществлять контроль над политикой и операциями корпорации.
Кооперативы, партнерства с ограниченной ответственностью и т.д.
4.41 Кооперативы создаются производителями для реализации их коллективно производимой продукции на рынке. Прибыль таких кооперативов распределяется в соответствии с согласованными ими правилами и не обязательно пропорционально паям, но фактически они функционируют как корпорации. Аналогичным образом, партнерства, члены которых имеют ограниченные обязательства, представляют собой юридические лица, поведение которых аналогично поведению корпораций. На самом деле, партнеры являются одновременно и акционерами, и менеджерами.
Квазикорпорации
4.42 Некоторые некорпорированные предприятия функционируют во всех отношениях (или почти во всех отношениях) так, как если бы они были корпорациями. Они называются квазикорпорациями и включены вместе с корпорациями в сектор нефинансовых и сектор финансовых корпораций, соответственно. Квазикорпорация - это:
- a. либо некорпорированное предприятие, находящееся в собственности резидентской институциональной единицы, которое располагает достаточной информацией для составления полной последовательности счетов, функционирует так же, как если бы оно было отдельной корпорацией и отношения которого де факто с его собственником являются такими же, как отношения корпорации с акционерами,
- b. либо некорпорированное предприятие, принадлежащее нерезидентской институциональной единице, которое рассматривается как резидентская институциональная единица, так как оно занято в значительных размерах производством на экономической территории данной страны в течение длительного или неопределенного периода времени.
4.43 В СНС рассматриваются три основных типа квазикорпораций:
- a. Некорпорированные предприятия, принадлежащие органам государственного управления, которые заняты рыночным производством и которые функционируют так же, как государственные корпорации;
- b. Некорпорированные предприятия, включая некорпорированные партнерства или трасты, принадлежащие домашним хозяйствам, которые функционируют так, как если бы они были корпорациями в частной собственности;
- c. Некорпорированные предприятия, принадлежащие институциональным единицам, являющимся резидентами остального мира, которые известны как филиалы.
4.44 Основная идея в основе концепции квазикорпорации ясна: а именно, отделить от их собственников те некорпорированные предприятия, которые самодостаточны и достаточно независимы и функционируют таким же образом, как корпорации. Если они функционируют как корпорации, они должны составлять полный набор счетов. Действительно, наличие полного набора счетов, включая баланс активов и пассивов, является необходимым условием для идентификации некорпорированного предприятия в качестве квазикорпорации. В противном случае было бы невозможно отграничить квазикорпорацию от ее собственника.
4.45 Поскольку квазикорпорация рассматривается как институциональная единица, отдельная от ее собственника, она должна иметь свою добавленную стоимость, сбережение, активы, обязательства и т.д. Должна существовать возможность идентифицировать и отражать любые потоки доходов и капитала, которые происходят между квазикорпорацией и ее собственником. Величина дохода, изъятого из квазикорпорации в течение отчетного периода, являющегося аналогом выплаты дивидендов корпорацией акционерам, определяется ее собственником. Величина дохода, изъятого у квазикорпорации, определяет размер ее сбережения (то есть величину дохода, удержанного квазикорпорацией). Баланс активов и пассивов также необходим для квазикорпорации; он должен показать стоимость нефинансовых активов, использованных в производстве, а также финансовые активы, принадлежащие ей, и обязательства, принятые от лица предприятия.
4.46 Опыт показал, что у стран возникают проблемы с трактовкой некорпорированных предприятий домашних хозяйств в качестве квазикорпораций. Однако нецелесообразно вводить дополнительные критерии, такие как размер предприятия, в определение квазикорпорации, собственником которой является домашнее хозяйство. Если предприятие фактически не функционирует как корпорация и не имеет полного набора счетов, оно не должно рассматриваться в качестве квазикорпорации независимо от того, насколько большим оно является.
Филиалы
4.47 Если нерезидентская единица осуществляет операции в значительных размерах в течение длительного периода времени на экономической территории данной страны, но не является юридическим лицом, то в качестве институциональной единицы может быть идентифицирован филиал. Эта единица идентифицируется для статистических целей, так как ее операции имеют тесные связи с местом их проведения, но не такие, которые характерны для корпораций. Некорпорированное предприятие за рубежом должно рассматриваться в качестве квазикорпорации в том случае, если существенные операции могут быть идентифицированы отдельно от операций основной единицы. По аналогии с другими квазикорпорациями либо должен быть полный набор счетов для этой единицы, либо можно составить счета, содержащие полезную с экономической точки зрения информацию. Наличие отдельных отчетов показывает, что единица фактически существует, и имеется возможность на практике подготавливать статистические данные. Кроме того, все или большинство следующих факторов должны быть приняты во внимание, для того чтобы можно было идентифицировать филиал:
- a. Производство единицей на территории, отличной от территории, на которой находится ее головной офис, осуществляется в течение года или более (или предполагается осуществлять его в течение года или более).
Если процесс производства предполагает физическое присутствие, тогда операции должны физически происходить на этой территории. Некоторые показатели, свидетельствующие о намерении осуществлять операции на территории страны, включают покупки или аренду помещений, приобретение оборудования и наем персонала.
Если производство не предполагает физическое присутствие на территории, например, в таких случаях, как деятельность банков и страховых компаний или других финансовых учреждений, операции должны рассматриваться как совершающиеся на экономической территории данной страны в соответствии с критерием места регистрации или юридического адреса единиц, осуществляющих эти операции на данной территории.
- b. Операции, которые рассматриваются как объект системы обложения доходов налогами в стране, в которой они находятся, даже если они, возможно, освобождены от обложения налогами.
4.48 Некоторые строительные проекты, предпринимаемые подрядчиком-нерезидентом, могут повлечь создание филиалов. Строительство может осуществляться или управляться нерезидентским предприятием без создания юридической единицы на территории данной страны, например, значительные проекты (такие как строительство мостов, дамб, электростанций), которые могут потребовать года и более для их завершения и которые управляются через офис на данной территории.
Условные резидентские единицы
4.49 Недвижимые активы, такие как земля и другие природные ресурсы, здания и сооружения, рассматриваются как принадлежащие резидентским единицам за исключением одного особого обстоятельства. Если юридический собственник является нерезидентом, в СНС создается условная резидентская единица. Условная резидентская единица является собственником активов и получает арендную плату или ренту на эти активы. Юридический собственник обладает финансовым требованием на капитал условной резидентской единицы и получает доход от условной резидентской единицы в форме дохода от собственности, выплачиваемого за границу. Единственное исключение делается в отношении земли и зданий в экстерриториальных анклавах иностранных государств (таких как посольства, консульства и военные базы), которые являются субъектами законодательства своих стран, а не стран, где они физически находятся.
4.50 Аренда на длительное время таких недвижимых активов, как земля и другие природные ресурсы, также должна осуществляться резидентом. В случае необходимости должна быть также идентифицирована условная резидентская единица.
2. Особые случаи
Группы корпораций
4.51 Большие группы корпораций, или конгломераты, могут быть созданы на основе контроля материнской корпорации над несколькими дочерними корпорациями, некоторые из которых могут контролировать свои дочерние корпорации. Для некоторых целей может оказаться целесообразным иметь информацию обо всей группе корпораций в целом. Однако каждая отдельная корпорация должна рассматриваться как отдельная институциональная единица независимо от того, является ли она частью группы или нет. Даже дочерние корпорации, которые находятся целиком в собственности других корпораций, являются отдельными юридическими лицами, которые в соответствии с законодательством и требованиями налоговых органов должны составлять полный набор счетов, включая баланс активов и пассивов. Хотя управление дочерней корпорацией может быть под контролем материнской корпорации, она остается ответственной и подотчетной за осуществление ее производственных операций.
4.52 Другая причина, по которой не следует рассматривать группу корпораций как одну институциональную единицу, состоит в том, что группы не всегда хорошо определены, неустойчивы и их непросто идентифицировать на практике. Может оказаться трудным получить данные о группах, чьи виды деятельности не всегда тесно интегрированы. Более того, многие конгломераты являются слишком большими и неоднородными, чтобы рассматривать их как отдельные единицы, и их размер и состав могут значительно меняться с течением времени в результате слияний и поглощений.
Головные офисы и холдинговые компании
4.53 Существуют два различных типа единиц, которые часто называются холдинговыми компаниями. Первый тип - это головной офис, который осуществляет все аспекты управленческого контроля над дочерними корпорациями. Головные офисы могут иногда иметь существенно меньшее число работников, и на более высоком уровне, чем дочерние корпорации, но они активно участвуют в производстве. Эти типы видов деятельности описаны в МСОК (4-й пересмотр) в разделе М подгруппе 7010 следующим образом.
Данная подгруппа включает надзор за другими подразделениями компании или предприятия и управление ими; осуществление роли органа стратегического или организационного планирования и принятия решений компании или предприятия; выполнение функций оперативного контроля и управления текущей деятельностью связанных с ними предприятий.
Такие единицы относятся к сектору нефинансовых корпораций, если только все или большая часть их дочерних корпораций не являются финансовыми корпорациями; в этом случае они в соответствии с принятой договоренностью рассматриваются как вспомогательные финансовые корпорации в секторе финансовых корпораций.
4.54 Тип единицы, которая действительно является холдинговой компанией, представляет собой единицу, которая владеет активами дочерних корпораций, но не осуществляет деятельность по управлению. Они описаны в МСОК (4-й пересмотр) в разделе К подгруппе 6420 следующим образом:
Данная подгруппа охватывает деятельность холдинговых компаний, то есть компаний, которые являются держателями активов (владеющими контрольными пакетами долевого капитала) групп дочерних компаний и основная деятельность которых – владение такой группой компаний. Классифицируемые в данной подгруппе холдинговые компании не предоставляют никаких других услуг предприятиям, в которых они имеют долевое участие, то есть они не осуществляют административного или иного управления другими компаниями.
Такие единицы всегда относятся к сектору финансовых корпораций и рассматриваются как кэптивные финансовые учреждения, даже если все дочерние корпорации являются нефинансовыми корпорациями.
Единицы специального назначения
4.55 Некоторое число институциональных единиц может быть описано как единицы специального назначения (ЕСН). Не существует общего определения ЕСН, но можно назвать их некоторые характеристики.
4.56 Такие единицы часто не имеют ни сотрудников, ни нефинансовых активов. Они, возможно, не имеют постоянного места физического пребывания, кроме вывески, подтверждающей место их регистрации. Они всегда связаны с другой корпорацией, часто в качестве дочерней корпорации, и ЕСН часто являются резидентами страны, отличной от страны резидентства корпораций, с которыми они связаны. В отсутствие любой физической характеристики предприятия его резидентство определяется в соответствии с той экономической территорией, по законам которой предприятие инкорпорировано или зарегистрировано. Более детальное описание проблемных случаев содержится в РПБ6.
4.57 Единицы этого типа обычно управляются сотрудниками другой корпорации, которая может быть с ней связана, но не обязательно. Единица производит платежи за услуги, предоставленные ей, и в свою очередь взимает плату с материнской корпорации или других связанных с ней корпораций для возмещения ее затрат. Это единственный вид производства, в котором участвует единица, хотя она часто принимает обязательства от лица собственника и получает инвестиционный доход и холдинговые прибыли на активы, которыми она владеет.
4.58 Обладает ли единица всеми этими характеристиками или нет и описывается ли она как ЕСН или аналогичным образом, она рассматривается в СНС так же, как любая другая институциональная единица, и относится к сектору или отрасли в соответствии с ее основным видом деятельности, если только она не подпадает под одну из трех следующих категорий:
- a. Кэптивные финансовые учреждения,
- b. Искусственные дочерние корпорации,
- c. Единицы специального назначения органов государственного управления.
Каждая из этих трех категорий описывается ниже.
Кэптивные финансовые учреждения
4.59 Холдинговая компания, которая просто владеет активами дочерней корпорации - это пример кэптивного финансового учреждения. Другими единицами, которые также рассматриваются как кэптивные финансовые учреждения, являются единицы, обладающие характеристиками ЕСН, описанными выше, включая инвестиционные и пенсионные фонды, и единицы, используемые для управления капиталом отдельных лиц и семей, для перевода в ценные бумаги активов, держателями которых они являются, для выпуска долговых ценных бумаг от лица соответствующих компаний (такая компания может называться «проводником»), для перевода активов в ценные бумаги и осуществления других финансовых функций.
4.60 Степень независимости от материнской компании может быть продемонстрирована путем осуществления существенного контроля над ее активами и обязательствами в той мере, которая предполагает принятие рисков и получение вознаграждений, связанных с этими активами и обязательствами. Такие единицы относятся к сектору финансовых корпораций.
4.61 Единица этого типа не может действовать независимо от ее материнской компании и является просто пассивным держателем активов и обязательств (иногда ее называют «автопилотом»), и она не рассматривается в качестве отдельной институциональной единицы, если только она не является резидентом страны, отличной от страны резидентства ее материнской компании. Если она является резидентом той же страны, что и ее материнская компания, она рассматривается в качестве «искусственной дочерней корпорации», как это описано ниже.
Искусственные дочерние корпорации
4.62 В СНС термин «корпорация» используется для обозначения как тех единиц, которые юридически признаются корпорациями, так и других единиц, которые рассматриваются в СНС как корпорации и, в частности, квазикорпораций, филиалов и условных резидентских единиц. В следующих шести параграфах, однако, термин «корпорация» используется для обозначения корпорации, являющейся юридическим лицом.
4.63 Дочерняя корпорация, которая целиком принадлежит материнской корпорации, может быть создана, чтобы предоставлять услуги материнской корпорации или другим корпорациям этой же группы, для того чтобы избежать налогообложения, минимизировать обязательства в случае банкротства или обеспечить другие технические преимущества, связанные с налоговым или корпоративным законодательством в той или иной стране. Например, материнская корпорация может создать дочернюю корпорацию, которой передается собственность на землю, здания или оборудование, и чья единственная функция состоит в том, чтобы сдавать их в аренду обратно материнской корпорации; дочерняя корпорация может быть номинальным работодателем для всех сотрудников, с которыми заключают контракты другие корпорации этой группы; дочерняя корпорация может составлять счета и отчеты материнской корпорации с помощью отдельного компьютерного оборудования; дочерняя корпорация может быть создана, чтобы воспользоваться благоприятными условиями финансирования или административными процедурами и т.д. В некоторых случаях корпорации могут создать «спящую» дочернюю корпорацию, которая фактически не занята каким-либо производством, но которое может быть начато, когда материнская корпорация сочтет это целесообразным.
4.64 В принципе, такие корпорации не соответствуют определению институциональной единицы в СНС, так как они не могут действовать независимо от материнской корпорации и могут быть ограничены в отношении возможности быть держателем активов или осуществлять операции с активами, которые находятся у них на балансе. Уровень их производства и цены, по которым они реализуют продукцию, определяются материнской корпорацией (и, возможно, другими корпорациями этой же группы), которая является их единственным клиентом. Таким образом, они не рассматриваются в СНС как отдельные институциональные единицы, но рассматриваются как подразделения материнской компании, и их счета консолидируются со счетами материнской корпорации. Как отмечено выше, счета для пассивных ЕСН (тех, которые на автопилоте) также консолидируются со счетами их материнской корпорации, если только они не являются резидентами страны, отличной от той, резидентом которой является материнская корпорация.
4.65 Квазикорпорации, такие как партнерства или трасты, также могут быть учреждены материнской корпорацией с целями, аналогичными целям дочерних корпораций, которые описаны выше. В СНС они также рассматриваются как подразделения материнской корпорации, и их счета консолидируются со счетами материнской корпорации.
4.66 Необходимо проводить различие между искусственными дочерними корпорациями, которые описаны выше, и единицами, которые осуществляют только вспомогательные виды деятельности. Как описано в более детальной форме в разделе D главы 5, вспомогательные виды деятельности ограничены типами услуг, в которых нуждаются практически все предприятия в той или другой степени, такими как уборка помещений, осуществление бухгалтерских операций по ведению счетов оплаты сотрудников или предоставление предприятию инфраструктуры информационной технологии. Единицы, занятые предоставлением таких вспомогательных видов деятельности, не соответствуют определению институциональной единицы (по той же причине, по которой не соответствуют определению институциональной единицы искусственные дочерние корпорации), но иногда они могут рассматриваться как отдельные заведения предприятия, если это целесообразно с аналитической точки зрения.
Единицы специального назначения органов государственного управления
4.67 Органы государственного управления также могут учредить особые единицы, характеристики и функции которых аналогичны кэптивным финансовым учреждениям и искусственным дочерним корпорациям, описанным выше. Такие единицы не могут действовать независимо и имеют ограничения в отношении круга операций, которые они могут осуществлять. Они не могут принимать риски и вознаграждения, связанные с активами и обязательствами, держателями которых они являются. Такие единицы, если они являются резидентами данной страны, рассматриваются как подразделения органов государственного управления, но не как отдельные институциональные единицы. Если они являются нерезидентами, они рассматриваются как отдельные единицы. Любые операции, которые они осуществляют за рубежом, отражаются в соответствующих операциях с органами государственного управления. Таким образом, единица, которая осуществляет заимствование за границей, затем рассматривается как единица, предоставляющая кредитование на ту же самую величину органам государственного управления и на тех же самых условиях, на которых было осуществлено заимствование.
3. Собственность и контроль корпораций
4.68 Собственность корпорации, акции которой котируются на фондовой бирже, распределена между институциональными единицами, которые являются собственниками ее акций, пропорционально величине пакета акций. Возможно, что одна институциональная единица, будет ли это корпорация, домашнее хозяйство или государственное учреждение, является собственником всех акций корпорации, но, в принципе, собственность корпорации, акции которой котируются на фондовом рынке, распределяется между несколькими, возможно, многими институциональными единицами.
4.69 Одна институциональная единица, которой принадлежит больше половины всех акций, или акционерного капитала, корпорации, может контролировать ее политику и операции благодаря преимуществу при голосовании по сравнению с другими акционерами, если необходимо. Аналогичным образом, небольшая организованная группа акционеров, чья объединенная доля превышает 50 процентов всех акций, может контролировать корпорацию, действуя согласованным образом. Могут быть исключительные случаи, когда некоторые акционеры имеют привилегированные голосующие права, например, «золотая акция» дает право вето, но, в принципе, отдельная институциональная единица или группа единиц, имеющих в собственности более половины голосующих акций, могут осуществлять полный контроль, назначая директоров по своему усмотрению. Степень независимости, которой обладают директора и управляющие корпораций, поэтому, вероятно, значительно варьируется в зависимости от того, в какой мере собственность сосредоточена в руках небольшого числа других институциональных единиц, независимо от того, являются ли они другими корпорациями, домашними хозяйствами или органами государственного управления. В принципе, институциональные единицы не обязательно должны быть автономными, но они обязательно должны быть ответственны и подотчетны за действия, которые они предпринимают.
4.70 Так как многие акционеры не используют свое право голоса, один акционер или небольшая группа акционеров, действуя вместе согласованным образом, возможно, смогут контролировать корпорацию, даже если они обладают значительно меньшей долей, чем половина всех акций. Когда собственность на акции широко распределена между большим числом акционеров, контроль может быть обеспечен обладанием значительно меньшей долей, чем половина всех акций.
4.71 Однако невозможно предусмотреть минимальную долю, меньшую, чем 50 процентов, которая гарантировала бы контроль во всех случаях. Минимум должен варьироваться в зависимости от числа акционеров, распределения акций между ними, степенью, в которой мелкие акционеры проявляют активный интерес и т.д.
Дочерние и ассоциированные корпорации
4.72 Для корпораций является обычной практикой иметь в собственности акции других корпораций, и необходимо пояснить взаимосвязи между корпорациями.
Дочерние корпорации
4.73 Корпорация B является дочерней по отношению к корпорации А, если:
- a. Корпорация A контролирует более половины голосующих прав акционеров корпорации B; или
- b. Корпорация A является акционером корпорации B и имеет право назначать или освобождать большинство директоров корпорации B.
4.74 Корпорация A может быть описана в этой ситуации как материнская корпорация. Поскольку взаимоотношения между материнской корпорацией и дочерней корпорацией определяются на основе критерия контроля, а не собственности, взаимоотношения должны быть транзитивными: то есть, если С является дочерней корпорацией по отношению к корпорации B, а B является дочерней по отношению к корпорации A, тогда С должна быть дочерней корпорацией по отношению к A. Если A имеет большинство акций B, а B имеет большую часть акций С, A не может также иметь большую часть акций С. Тем не менее A должна быть в состоянии контролировать С, если она контролирует B. По аналогии с семьями физических лиц, корпорация B может быть описана как дочерняя корпорация первого поколения корпорации A, а корпорация С - как дочерняя корпорация второго поколения корпорации A. Очевидно, что большие семьи корпораций могут быть образованы с любым числом дочерних корпораций на каждом уровне или в каждом поколении корпораций и также с любым числом поколений. В некоторых странах встречаются очень большие семьи корпораций, известные как конгломераты. Конгломераты, которые включают корпорации, являющиеся резидентами разных стран, обычно описываются как многонациональные корпорации.
Ассоциированные корпорации4.75 Корпорация B является ассоциированной по отношению к корпорации A, если корпорация A и ее дочерние корпорации контролируют от 10 до 50 процентов голосующих прав акционеров B, так что A имеет некоторое влияние на корпоративную политику и управление B.
4.76 По определению, корпорация должна оказывать меньшее влияние на ассоциированные корпорации, чем на дочерние корпорации. Хотя некоторые корпорации могут оказывать значительное влияние на ассоциированные с ними корпорации, это не может быть гарантировано. Взаимоотношения между ассоциированными корпорациями слабее, чем между материнской корпорацией и дочерними корпорациями, и группы ассоциированных корпораций могут быть недостаточно четко определены.
Контроль органов государственного управления над корпорациями4.77 Корпорация является государственной корпорацией, если государственное учреждение, другая государственная корпорация или какое-либо объединение государственных учреждений и государственных корпораций контролируют корпорацию, причем контроль определен как возможность определять общую корпоративную политику корпорации. Выражение «общая корпоративная политика», как оно определено здесь, должно пониматься в широком смысле и означать ключевую финансовую и оперативную политику, относящуюся к стратегическим целям корпорации как рыночного производителя.
4.78 Так как органы государственного управления осуществляют властные полномочия, опираясь на законодательство, административные регулирующие документы и т.п., необходимо проявлять осторожность при определении того, равносильно ли осуществление этих полномочий определению общей корпоративной политики конкретной корпорации и установлению контроля над корпорацией. Законодательство и регулирующие административные документы, относящиеся ко всем единицам данного класса или к конкретной отрасли, не должны рассматриваться как обеспечивающие контроль над этими единицами.
4.79 Возможность определять общую корпоративную политику не обязательно включает прямой ежедневный контроль над деятельностью или операциями конкретной корпорации. Руководители таких корпораций будут управлять ими в соответствии с общими целями конкретной корпорации и опираясь на них. Также возможность определения общей корпоративной политики той или иной корпорации не означает прямой контроль над любыми профессиональными, техническими или научными решениями, поскольку они обычно рассматриваются как часть ключевой компетенции самой корпорации. Например, профессиональные или технические решения, принимаемые корпорацией, для того чтобы обеспечить способность самолета совершать полет, не будут рассматриваться как контролируемые органами государственного управления с помощью отдельных актов, содержащих одобрение или неодобрение ее действий, хотя ее более широкая и оперативная политика, включая критерии способности самолета совершать полет, может быть определена государственным учреждением в контексте формирования общей корпоративной политики корпорации.
4.80 Так как способы осуществления контроля над корпорациями могут значительно варьироваться, не представляется ни желательным, ни возможным рекомендовать конкретный набор факторов, которые должны быть приняты во внимание. Однако следующие восемь показателей обычно считаются наиболее важными факторами для рассмотрения:
- a. Владение большинством голосующих прав. Владение большинством акций обычно обеспечивает контроль, когда решения принимаются на основе принципа «одна акция - один голос». Акции могут находиться в прямом или косвенном владении, и акции, принадлежащие всем другим государственным единицам, должны быть объединены. Если решения не принимаются на основе принципа «одна акция - один голос», классификация должна основываться на том, обеспечивают ли большинство голосов акции, принадлежащие другим государственным единицам.
- b. Контроль над советом директоров или другим управляющим органом. Возможность назначать или отзывать большинство членов совета или другого управляющего органа, предусмотренная существующим законодательством, административными регулирующими документами, контрактами или другими мерами будет, вероятно, обеспечивать контроль. Даже право вето на предложенные назначения может рассматриваться как форма контроля, если это влияет на возможность выбора, который должен быть сделан. Если другой орган отвечает за назначение директоров, необходимо рассмотреть его состав с точки зрения возможности государственного влияния. Если государственный орган назначает первый ряд директоров, но не контролирует назначения замещений директоров, эта единица будет частью государственного сектора до тех пор, пока не истекут сроки первоначальных назначений.
- c. Контроль над назначением и отзывом ключевых руководителей. Если контроль над советом или другими управляющими органами слабый, назначение ключевых руководителей, таких как главный управляющий делами, председатель и финансовый директор, может быть решающим фактором. Директора, не являющиеся управляющими делами, также могут соответствовать этим требованиям, если они являются членами ключевых комитетов, таких как комитет по вопросам вознаграждения, определяющий выплаты старшим сотрудникам персонала.
- d. Контроль над ключевыми комитетами корпорации. Подкомитеты совета или другого управляющего органа могут определять ключевую оперативную и финансовую политику корпорации. Большинство членов из государственного сектора в этих подкомитетах может обеспечивать контроль. Такое членство может быть установлено в соответствии с уставом или другими регулирующими документами корпорации.
- e. Золотые акции и опционы. Правительство может владеть «золотой акцией», в частности, корпорации, которая была только что приватизирована. В таких случаях эта акция обеспечивает правительству некоторые права для защиты интересов общества, например, путем запрета на продажу компанией некоторых категорий активов или путем назначения особого директора, наделенного существенными полномочиями при определенных обстоятельствах. Золотая акция сама по себе не означает контроль. Если, однако, золотая акция предполагает, что правительство может определять общую корпоративную политику корпорации при определенных обстоятельствах, и эти обстоятельства продолжают существовать, тогда такая единица должна быть в государственном секторе с момента существования этих обстоятельств. Существование опциона на приобретение акций у государственного учреждения или у государственной корпорации при определенных обстоятельствах может рассматриваться с концептуальной точки зрения аналогично ситуации с золотой акцией, которая обсуждена выше. Если существуют обстоятельства, при которых опцион может быть реализован, необходимо рассмотреть вопрос, означает ли объем акций, который может быть приобретен с помощью опциона, и последствия этой операции, что органы государственного управления могут определять общую политику корпорации, реализуя опцион. Статус единицы, в принципе, должен основываться на существующей возможности правительства определять корпоративную политику, осуществляемую в нормальных условиях, а не в исключительных экономических и других обстоятельствах, таких как войны, общественные беспорядки и стихийные бедствия.
- f. Регулирование и контроль. Границу между регулированием, которое относится ко всем единицам этого класса или отрасли, и контролем над отдельной корпорацией, может быть трудно провести. Существует много примеров вовлечения правительства в процессы регулирования, особенно в таких областях, как монополии и приватизированные коммунальные службы. Представляется возможным осуществлять регулирование в таких важных областях, как ценообразование, не отказываясь при этом от контроля за общей корпоративной политикой. Если существует выбор, начать или продолжать действовать в условиях высокой степени регулирования, это означает, что корпорация не находится под контролем. Когда регулирование является таким жестким, что фактически определяет, как корпорация должна действовать и вести свой бизнес, тогда это может быть формой контроля, Если корпорация сохраняет возможность решать по своему усмотрению вопрос о том, как получить финансирование, с кем осуществлять взаимодействие и как иметь дело с единицами государственного сектора, то корпорация обладает возможностью определять ее собственную корпоративную политику и не находится под контролем единицы государственного сектора.
- g. Контроль доминирующим клиентом. Если все продажи корпорации осуществляются одному единственному клиенту в государственном секторе или группе клиентов в государственном секторе, существует явная возможность доминирующего влияния. Присутствие небольшого числа клиентов в частном секторе обычно означает элемент независимости в принятии решений корпорацией, и, таким образом, корпорация не рассматривается как контролируемая, В принципе, если существует явное свидетельство того, что корпорация не может решить иметь дело с клиентом не из государственного сектора ввиду влияния государственного сектора, тогда предполагается существование государственного контроля.
- h. Контроль, связанный с заимствованием у органов государственного управления. Кредиторы часто контролируют условия предоставления ссуд. Если органы государственного управления устанавливают контроль, используя механизм кредитования, или требуют гарантии, которые больше тех, которые были бы характерны для ситуации, при которой благополучная частная корпорация занимает деньги в банке, это является свидетельством контроля. Аналогичным образом, контроль может осуществляться, если только органы государственного управления готовы кредитовать.
Хотя один показатель может считаться достаточным для определения существования контроля, в других случаях некоторое число показателей, взятых вместе, могут свидетельствовать о существовании контроля. Решение, основанное на всей совокупности показателей, будет неизбежно носить характер экспертного суждения, но ясно, что аналогичные суждения должны быть сделаны в аналогичных случаях.
Контроль нерезидентскими единицами
4.81 В принципе, нерезидентская единица контролирует резидентскую корпорацию, если нерезидентская единица владеет более 50 процентами акционерного капитала корпорации. Филиалы нерезидентских корпораций всегда по своей природе находятся под иностранным контролем. Однако контроль возможен и в том случае, если доля нерезидентской единицы в акционерном капитале корпорации меньше 50 процентов, но при этом нерезидентская единица может осуществлять контроль такими же методами, как описанные выше методы контроля со стороны правительства; например, с помощью контроля над советом директоров или другим управляющим органом, контроля за назначениями и отзывами ключевых руководителей, контроля над ключевыми комитетами корпораций и т.д.
4.82 В платежном балансе проводится различие между корпорациями, более 50 процентов акционерного капитала которых находится в собственности нерезидентов, и теми корпорациями, от 10 до 50 процентов акционерного капитала которых принадлежит нерезидентам. Все корпорации, у которых 10 и более процентов их акционерного капитала принадлежат нерезидентам, считаются предприятиями прямого иностранного инвестирования, и в отношении отражения их доходов применяется особая процедура. Более подробно этот вопрос рассматривается в главах 7 и 26. Важно отметить, однако, что хотя все корпорации, контролируемые нерезидентами, являются предприятиями прямого иностранного инвестирования, обратное положение неверно, например, даже корпорация, контролируемая единицами государственного сектора, может быть предприятием прямого иностранного инвестирования, если в дополнение к правительственному контролю над более чем 50 процентами акционерного капитала, еще 10 процентов принадлежат нерезидентам.
С. Некоммерческие организации
4.83 Некоммерческие организации - это юридические лица или общественные организации, создаваемые с целью производства товаров и услуг, чей статус не позволяет им быть источником дохода, прибыли или другой финансовой выгоды для единиц, которые их учреждают, контролируют или финансируют. На практике их производственная деятельность должна производить некоторую прибыль или убыток, но любая прибыль, которую они, возможно, получат, не может быть присвоена любой другой институциональной единицей. Устав организаций, в соответствии с которым они учреждены, составлен таким образом, что институциональные единицы, которые их контролируют или управляют ими, не имеют права на долю в прибыли или другом доходе, которые они получают. По этой причине они часто освобождаются от уплаты налогов.
4.84 НКО могут быть созданы домашними хозяйствами, корпорациями или органами государственного управления, но мотивы их создания могут быть различными. Например, НКО могут быть созданы для оказания услуг домашним хозяйствам или корпорациям, которые их контролируют и финансируют; или они могут быть созданы для благотворительных целей или для повышения благосостояния населения, предоставляя товары и услуги лицам, которые в них нуждаются; или они могут оказывать медицинские или образовательные услуги за вознаграждение, которое не обеспечивает прибыль; или они могут быть созданы для того, чтобы продвигать интересы отдельных групп лиц в бизнесе или политике.
1. Характеристики НКО
4.85 Основные характеристики НКО представлены ниже следующим образом:
- a. Большинство НКО являются юридическими единицами, созданными в соответствии с законодательством, чье существование признается независимым от физических лиц, корпораций и органов государственного управления, которые их учреждают, финансируют, контролируют или управляют ими. Цель НКО обычно формулируется в уставе или в других аналогичных документах, составленных на момент ее учреждения. В некоторых странах, особенно в развивающихся странах, НКО может выступать как неформальная единица, чье существование признается обществом, но она не имеет формального юридического статуса; такие НКО могут быть созданы с целью производства нерыночных товаров или услуг для удовлетворения потребностей отдельных домашних хозяйств или групп домашних хозяйств.
- b. Многие НКО контролируются ассоциациями, члены которых имеют равные права, включая право голоса по всем важным решениям, затрагивающим деятельность НКО. Члены ассоциаций имеют ограниченные обязательства в отношении операций НКО.
- c. В НКО не существуют акционеры с требованиями в отношении прибыли или капитала НКО. Их члены не имеют права на получение части прибыли, полученной от производственной деятельности НКО, вся прибыль принадлежит НКО.
- d. Управление НКО обычно возложено на группу руководителей, исполнительный комитет или другой аналогичный орган, избранный простым большинством голосов всех членов. Эти руководители являются аналогом членов совета директоров корпорации и несут ответственность за назначение каких-либо оплачиваемых управляющих.
- e. Термин «некоммерческая организация» связан с тем фактом, что члены ассоциации, контролирующей НКО, не имеют право получать какие-либо финансовые выгоды от ее операций и не могут присваивать любую прибыль, которую НКО, возможно, получает. Это не означает, что НКО не может иметь прибыль от своей производственной деятельности.
4.86 В некоторых странах НКО имеют льготы в отношении уплаты налогов, возможно, освобождаются от уплаты налогов на доход, но это не обязательный и не определяющий фактор идентификации НКО.
4.87 Как и в случае с производственными единицами, принадлежащими органам государственного управления, важно проводить различие между НКО, занятыми рыночными и нерыночными видами деятельности, так как это влияет на отнесение НКО к соответствующему институциональному сектору. НКО не обязательно занимается нерыночным производством.
2. НКО, занятые рыночным производством
4.88 Рыночные производители - это производители, выпуск которых, или большая его часть, продается по экономически значимым ценам, то есть по ценам, которые оказывают существенное влияние на количество продукции, которое производители готовы поставить, и на количество продукции, которое покупатели хотят приобрести. Школы, колледжи, университеты, клиники, больницы и др. являются НКО, занятыми рыночным производством, если они получают платежи, которые отражают их затраты на производство и которые достаточно высоки, чтобы существенно влиять на спрос на их услуги. В результате производственной деятельности этих единиц должны получаться прибыль или убыток. Любая прибыль должна оставаться в распоряжении НКО, поскольку их статус не разрешает передавать ее другим единицам. С другой стороны, ввиду их статуса некоммерческой организации они могут получать дополнительные средства от пожертвований, производимых отдельными лицами, корпорациями или органами государственного управления. Таким образом, они могут приобретать активы, которые могут приносить значительные доходы от собственности в дополнение к доходам от платежей за услуги, что позволяет им взимать платежи ниже средней величины затрат. Однако они должны продолжать рассматриваться в качестве рыночных производителей, пока платежи за их услуги определяются, главным образом, издержками на производство, и они достаточно высоки, чтобы оказывать существенное влияние на спрос. Такие НКО не являются благотворительными организациями, их реальная цель часто состоит в предоставлении образовательных, медицинских и других услуг высокого качества, используя доход от пожертвований и дарений для того, чтобы просто несколько понизить высокие цены за их услуги.
Рыночные НКО, обслуживающие предприятия
4.89 Некоторые рыночные НКО ограничивают свою деятельность предоставлением услуг некоторой части других рыночных производителей. Большинство рыночных НКО, обслуживающих предприятия, создаются ассоциациями предприятий, чьи интересы они должны продвигать и обеспечивать. Они включают торговые палаты, ассоциации производителей в сельском хозяйстве, обрабатывающей промышленности и в торговле, организации работодателей, научно-исследовательские организации, лаборатории, занимающиеся проведением тестирования, или другие организации, занятые видами деятельности, которые представляют общий интерес для группы предприятий, которые их контролируют и финансируют. НКО часто заняты рекламированием деятельности группы предприятий, лоббированием политиков или предоставлением консультаций и содействия отдельным членам, попавшим в затруднительное положение по той или другой причине. НКО обычно финансируются взносами или взносами по подписке от соответствующей группы предприятий. Взносы по подписке рассматриваются не как трансферты, а как платежи за оказанную услугу, и, следовательно, эти НКО считаются рыночными производителями. Однако, как пояснено ниже, когда торговые палаты или аналогичные организации, обслуживающие предприятия, контролируются органами государственного управления, они считаются нерыночными НКО и относятся к сектору государственного управления.
3. НКО, занятые нерыночным производством
4.90 Большинство НКО в большинстве стран являются нерыночными производителями. Нерыночные производители - это такие производители, которые предоставляют большую часть своего выпуска другим единицам бесплатно или по экономически незначимым ценам. Таким образом, НКО, занятые преимущественно нерыночным производством, могут быть идентифицированы не только потому, что они не могут обеспечить финансовые выгоды единицам, которые ими управляют и финансируют их, но также ввиду того, что они должны использовать принципиально другие источники получения средств (отличные от выручки от продажи услуг) для возмещения их затрат на производство или финансирования других видов деятельности. Основным источником их финансирования могут быть регулярные взносы по подписке, уплачиваемые членами ассоциации, которая контролирует их, или трансферты, или пожертвования от третьих сторон, включая органы государственного управления, а также доходы от собственности.
4.91 НКО, занятые, главным образом, нерыночным производством, подразделяются на две группы: те НКО, которые контролируются органами государственного управления, и те, которые не контролируются органами государственного управления. Первые относятся к сектору государственного управления. Последние называются «некоммерческими организациями, обслуживающими домашние хозяйства» (НКОДХ) и образуют отдельный институциональный сектор.
Контроль органов государственного управления над некоммерческими организациями
4.92 Контроль над НКО определяется как возможность определять общую политику или программу НКО. Все НКО, отнесенные к сектору государственного управления, должны сохранять их статус НКО в статистических отчетах для содействия анализу всей совокупности НКО. Для определения того, контролируется ли НКО органами государственного управления, следует рассмотреть следующие пять показателей контроля:
- a. Назначение руководителей. Органы государственного управления могут иметь право назначать руководителей, занимающихся управлением НКО, в соответствии с уставом НКО или другими основополагающими документами.
- b. Другие положения регламентирующих документов. Регламентирующий документ может включать положения, не относящиеся к назначению руководителей, но которые фактически дают возможность органам государственного управления определять важные аспекты общей политики или программы НКО. Например, такой документ может определять или ограничивать функции, цели или другие аспекты деятельности НКО, что делает вопрос о назначении руководителей менее важным или вообще не существенным. Регламентирующий документ может также предоставить органам государственного управления право отзывать ключевых руководителей или накладывать вето на предлагаемые назначения, требовать предварительного одобрения правительством бюджета или методов финансирования, или предотвращать изменения в уставе НКО, самороспуск или прекращение отношений с органами государственного управления без их одобрения.
- c. Контрактные соглашения. Существование контрактных соглашений между органами государственного управления и НКО может дать возможность органам государственного управления определять важные аспекты общей политики НКО или ее программы. До тех пор, пока НКО в конечном счете может существенным образом определять свою политику или программу, то есть будет способна отказываться от контрактного соглашения и принимать соответствующие последствия или принимать решение об изменении устава или самоликвидации, не получая одобрения органов государственного управления, кроме того, которое предусмотрено общими принципами регулирования, она не будет рассматриваться как единица, контролируемая органами государственного управления.
- d. Степень финансирования. НКО, которая, в основном, финансируется органами государственного управления, может контролироваться органами государственного управления. В принципе, если НКО сохраняет возможность в значительной мере определять свою политику и программу так, как это описано в предыдущем показателе, тогда она не будет рассматриваться как единица, контролируемая органами государственного управления .
- e. Подверженность риску. Если органы государственного управления открыто признают себя подверженными всем или значительной части рисков, связанных с деятельностью НКО, то это означает наличие контроля. Критерии те же самые, которые описаны для двух предыдущих показателей.
Один показатель может быть достаточным для установления существования контроля в ряде случаев, но в других случаях ряд показателей, взятых в совокупности, может свидетельствовать о существовании контроля. Решение, основанное на полной совокупности всех показателей, будет неизбежно носить характер экспертного суждения.
НКО, обслуживающие домашние хозяйства (НКОДХ)
4.93 Некоммерческие организации, обслуживающие домашние хозяйства (НКОДХ), состоят из нерыночных НКО, которые не контролируются органами государственного управления. Они предоставляют товары и услуги домашним хозяйствам бесплатно или по экономически незначимым ценам. Большая часть этих товаров и услуг представляют собой индивидуальное потребление, но НКОДХ могут предоставлять и коллективные услуги.
D. Сектор нефинансовых корпораций и его подсекторы
4.94 Нефинансовые корпорации - это корпорации, основным видом деятельности которых является производство рыночных товаров или нефинансовых услуг. Сектор нефинансовых корпораций состоит из следующей совокупности резидентских институциональных единиц:
- a. Все резидентские нефинансовые корпорации (как они определены в СНС, а не только корпорации, учрежденные как юридические лица) независимо от резидентства их акционеров;
- b. Филиалы нерезидентских предприятий, которые заняты нефинансовой производственной деятельностью на экономической территории данной страны в течение длительного периода времени;
- c. Все резидентские НКО, которые являются рыночными производителями товаров или нефинансовых услуг.
Таблица 4.1: Подсекторы сектора нефинансовых корпораций
Нефинансовые корпорации НКО ОПП Государственные нефинансовые корпорации Государственные нефинансовые НКО Государственные нефинансовые ОПП Национальные частные нефинансовые корпорации Национальные частные нефинансовые НКО Национальные частные нефинансовые ОПП Нефинансовые корпорации под иностранным контролем Нефинансовые НКО под иностранным контролем Нефинансовые ОПП под иностранным контролем Всего нефинансовые корпорации Всего нефинансовые НКО
Всего нефинансовые ОПП
4.95 Некоторые нефинансовые корпорации или квазикорпорации могут осуществлять вторичную финансовую деятельность: например, производители или предприятия розничной торговли могут предоставлять потребительский кредит непосредственно их клиентам. Как пояснено подробнее ниже, такие корпорации или квазикорпорации тем не менее целиком относятся к сектору нефинансовых корпораций при условии, что их преобладающая деятельность нефинансовая. Секторы - это группы институциональных единиц, и институциональная единица целиком должна быть отнесена к тому или другому сектору в СНС, даже если эта единица, возможно, осуществляет более чем один вид экономической деятельности.
4.96 Два критерия классификации используются для определения подсекторов сектора нефинансовых корпораций. Один критерий касается обособления НКО от других единиц сектора. Эти единицы, отличающиеся от НКО, могут быть описаны как организации, ориентированные на получение прибыли (ОПП). Второй критерий касается контроля, и он позволяет идентифицировать:
- a. Государственные нефинансовые корпорации,
- b. Национальные частные нефинансовые корпорации, и
- c. Нефинансовые корпорации под иностранным контролем.
Критерии контроля над корпорациями и НКО, осуществляемого органами государственного управления и нерезидентскими единицами, описаны более детально в разделе B. Корпорации, контролируемые нерезидентскими единицами, описываются как находящиеся под иностранным контролем.
4.97 Полное представление подсекторов сектора нефинансовых корпораций представлено в таблице 4.1, показывающей две возможности выделения подсекторов в этом секторе. Точная форма представления подсекторов зависит как от аналитических, так и от статистических соображений. Может так случиться, что число НКО таково, что некоторые категории контроля будут отсутствовать или будут весьма редкими, так что детали не могут быть показаны по причинам конфиденциальности. По крайней мере, целесообразно и должно быть возможно определить записи для крайней левой колонки и нижней строки таблицы 4.1.
Е. Сектор финансовых корпораций и его подсекторы
4.98 Финансовые корпорации включают все резидентские корпорации, которые, в основном, заняты предоставлением финансовых услуг другим институциональным единицам, в том числе услуг страхования и пенсионных фондов. Сектор финансовых корпораций состоит из следующей совокупности резидентских институциональных единиц:
- a. Все резидентские финансовые корпорации (как они понимаются в СНС, а не только корпорации, учрежденные как юридические лица) независимо от резидентства их акционеров;
- b. Филиалы нерезидентских предприятий, которые заняты финансовой деятельностью на экономической территории данной страны в течение длительного периода времени;
- c. Все резидентские НКО, которые являются рыночными производителями финансовых услуг.
Производство финансовых услуг представляет собой результат финансового посредничества, управления финансовыми рисками, трансформации ликвидности или вспомогательной финансовой деятельности. Так как оказание финансовых услуг является предметом строгого регулирования, обычно единицы, предоставляющие финансовые услуги, не производят другие товары и услуги, а финансовые услуги не производятся в качестве вторичной производственной деятельности.
4.99 Одна из форм финансовых инноваций проявляется в существенном росте видов деятельности, традиционно осуществляемых финансовыми корпорациями или через финансовые корпорации, но которые могут быть также осуществлены непосредственно самими нефинансовыми предприятиями. Например, существует тенденция в некоторых странах для производителей или для предприятий розничной торговли товарами предоставлять потребительский кредит прямо своим клиентам. Другой пример тенденции в отношении деятельности нефинансовых предприятий в некоторых странах касается получения средств путем продажи их собственных обязательств прямо на денежных рынках или на рынках капитала. Однако предприятие в целом должно продолжать классифицироваться как нефинансовое при условии, что:
- a. Нефинансовое предприятие не создает новую институциональную единицу, такую как дочерняя корпорация, для того чтобы осуществлять финансовую деятельность; и
- b. Финансовая деятельность остается вторичной по отношению к основной деятельности предприятия.
4.100 Тот же самый принцип применяется для выделения подсекторов сектора финансовых корпораций. Например, многие центральные банки также занимаются некоторыми коммерческими банковскими операциями. Однако, являясь единой институциональной единицей, центральный банк в целом, включая его коммерческие банковские виды деятельности, отнесен к подсектору «центральный банк». По этой же причине функции центрального банка или органов денежно-кредитного регулирования, осуществляемые агентствами центрального правительства, которые не являются отдельными от правительства институциональными единицами, не относятся к подсектору центрального банка. (Этот вопрос обсуждается далее в следующем разделе и в главе 22.)
4.101 Финансовые корпорации могут быть подразделены на три широкие категории, а именно: финансовые посредники, вспомогательные финансовые корпорации и другие финансовые корпорации. Финансовые посредники представляют собой институциональные единицы, которые принимают обязательства от своего имени с целью приобретения финансовых активов путем осуществления финансовых операций на рынке. Они включают страховые корпорации и пенсионные фонды. Вспомогательные финансовые корпорации представляют собой институциональные единицы, которые в основном заняты обслуживанием финансовых рынков, но не приобретают в собственность финансовые активы и обязательства, с которыми они имеют дело. Другие финансовые корпорации представляют собой институциональные единицы, предоставляющие финансовые услуги, при этом основная часть их активов и обязательств не продается на открытых финансовых рынках.
4.102 Сектор финансовых корпораций может быть подразделен на девять подсекторов в соответствии с их деятельностью на рынке и ликвидностью их обязательств. Эти девять подсекторов показаны в таблице 4.2, и каждый описан ниже в этом разделе. Подсектор 6 соответствует вспомогательным финансовым корпорациям; подсектор 7 соответствует другим финансовым корпорациям. Все другие подсекторы являются финансовыми посредниками того или другого типа.
4.103 Наряду с тем, что подсекторы выделяются в соответствии с характером их финансовой деятельности, сектор финансовых корпораций может также быть подразделен на подсекторы таким же образом, как сектор нефинансовых корпораций, для того чтобы показать различие между НКО и единицами, ориентированными на получение прибыли, и показать, какие единицы контролируются государством, какие единицы являются национальными частными корпорациями и какие единицы контролируются нерезидентами. Таким образом, каждая строка таблицы 4.2 может быть далее дезагрегирована таким же образом, как это сделано в таблице 4.1, хотя маловероятно, что существуют все возможные перекрестные классификации, и выделение агрегированных подсекторов, основанное на местных условиях и зависящее от аналитического интереса, может быть достаточным.
1. Центральный банк
4.104 Центральный банк представляет собой национальное финансовое учреждение, которое осуществляет контроль над ключевыми аспектами финансовой системы. В принципе, следующие финансовые посредники относятся к этому подсектору:
- a. Национальный центральный банк, включая случаи, когда он является частью системы центральных банков.
- b. Валютные советы или независимые валютные органы, осуществляющие эмиссию национальной валюты, которая полностью подкреплена резервами иностранной валюты.
- c. Центральные денежные агентства, в основном, государственного характера (например, агентства, управляющие иностранной валютой или выпускающие банкноты и монеты), которые составляют полный набор счетов, но не рассматриваются как часть центрального правительства. Органы, осуществляющие надзор, которые являются отдельными институциональными единицами, относятся не к подсектору центрального банка, а к подсектору вспомогательных финансовых корпораций.
До тех пор, пока центральный банк остается отдельной институциональной единицей, он всегда относится к сектору финансовых корпораций, даже если он, главным образом, является нерыночным производителем.
2. Корпорации, принимающие депозиты, кроме центрального банка
4.105 Корпорации, принимающие депозиты, кроме центрального банка, осуществляют финансовое посредничество в качестве их основного вида деятельности. С этой целью они принимают обязательства в форме депозитов или финансовых инструментов (таких как краткосрочные депозитные сертификаты), которые являются близкими аналогами депозитов. Обязательства корпораций, принимающих депозиты, обычно включены в измерения денег в широком определении.
4.106 В принципе, следующие финансовые посредники включены в этот подсектор:
- a. Коммерческие банки, универсальные банки, многоцелевые банки;
- b. Сберегательные банки (включая попечительные сберегательные банки и сберегательные и ссудные ассоциации);
- c. Почтовые жиро учреждения, почтовые банки, жиро банки;
- d. Сельские кредитные банки, сельскохозяйственные кредитные банки;
- e. Кооперативные кредитные банки, кредитные союзы; и
- f. Специализированные банки или другие финансовые корпорации, если они принимают депозиты или выпускают близкие аналоги депозитов.
3. Фонды денежного рынка (ФДР)
4.107 Фонды денежного рынка (ФДР) представляют собой коллективные инвестиционные программы, которые аккумулируют средства путем продажи акций или паев населению. Полученные средства инвестируются, главным образом, в инструменты денежного рынка, акции или паи ФДР, переводимые долговые инструменты с оставшимися сроками погашения не более одного года, банковские депозиты и инструменты, которые имеют целью получить норму дохода, которая близка к процентной ставке инструментов денежного рынка. Акции ФДР могут быть переданы с помощью чеков или других видов прямых платежей третьей стороной. Ввиду особого характера этих инструментов, в которые инвестируют инвестиционные программы, их акции или паи могут рассматриваться как близкие аналоги депозитов.
4. Инвестиционные фонды неденежного рынка
4.108 Инвестиционные фонды неденежного рынка представляют собой коллективные инвестиционные программы, которые привлекают средства населения путем выпуска акций или паев. Полученные средства инвестируются, главным образом, в финансовые активы, кроме краткосрочных активов, и в нефинансовые активы (обычно в недвижимость). Акции или паи инвестиционного фонда обычно не являются близкими аналогами депозитов. Они не могут передаваться с помощью чеков или прямых платежей третьими лицами.
Таблица 4.2: Подсекторы сектора финансовых корпораций
1. Центральный банк
2. Корпорации, принимающие депозиты, кроме центрального банка
3. Фонды денежного рынка (ФДР)
4. Инвестиционные фонды неденежного рынка
5. Другие финансовые посредники, кроме страховых корпораций и пенсионных фондов
6. Вспомогательные финансовые корпорации
7. Кэптивные финансовые учреждения и ростовщики
8. Страховые корпорации
9. Пенсионные фонды
5. Другие финансовые посредники, кроме страховых корпораций и пенсионных фондов
4.109 Другие финансовые посредники, кроме страховых корпораций и пенсионных фондов, включают финансовые корпорации, которые заняты предоставлением от своего имени финансовых услуг путем принятия обязательств в форме, отличной от денег, депозитов или близких аналогов депозитов, с целью приобретения финансовых активов, участвуя в финансовых операциях на рынке. Характерная особенность финансового посредничества состоит в том, что операции, отражающиеся на обеих сторонах баланса активов и пассивов, осуществляются на открытых рынках.
4.110 В принципе, следующие финансовые посредники отнесены к этому подсектору:
- a. Финансовые корпорации, занимающиеся трансформацией активов в ценные бумаги;
- b. Дилеры, занимающиеся ценными бумагами и производными финансовыми активами (функционирующие за свой счет);
- c. Финансовые корпорации, занимающиеся кредитованием, включая финансовые ассоциации предприятий розничной торговли, которые могут нести ответственность за финансовый лизинг и за личные или коммерческие финансы;
- d. Центральные клиринговые организации партнеров. Эти организации обеспечивают клиринг и урегулирование расчетов по операциям с ценными бумагами и производными финансовыми инструментами. Клиринг относится к идентификации обязательств обеих сторон, тогда как урегулирование расчетов представляет собой обмен ценных бумаг или производных финансовых инструментов на соответствующий платеж. Центральные клиринговые организации партнеров участвуют в операции и уменьшают риск партнера;
- e. Специализированные финансовые корпорации, которые предоставляют:
- Краткосрочное финансирование для слияний и поглощений корпораций;
- Финансирование экспорта и импорта;
- Факторинговые услуги;
- Венчурный капитал и капитал для развития.
6. Вспомогательные финансовые корпорации
4.111 Вспомогательные финансовые корпорации включают финансовые корпорации, которые, в основном, заняты видами деятельности, связанными с операциями с финансовыми активами и обязательствами или с предоставлением регулирующего контекста для этих операций, но в обстоятельствах, которые не предполагают, что вспомогательная корпорация становится собственником финансовых активов и обязательств, являющихся предметами операций.
4.112 В принципе, следующие вспомогательные финансовые корпорации относятся к этому подсектору:
- a. Страховые брокеры, оценщики ущерба и требований (независимо от того, наняты ли они страховой компанией либо являются независимым оценщиком или государственным оценщиком, нанятыми держателем полиса), консультанты по вопросам страхования и пенсионного обеспечения;
- b. Брокеры по операциям с ссудами и ценными бумагами, консультанты по вопросам инвестирования и т.д.;
- c. Корпорации, размещающие займы, которые управляют выпуском ценных бумаг;
- d. Корпорации, основной функцией которых является гарантирование путем индоссамента векселей или аналогичных инструментов;
- e. Корпорации, которые занимаются производными финансовыми инструментами и инструментами хеджирования, такими как свопы, опционы и фьючерсы (без выпуска их);
- f. Корпорации, обеспечивающие инфраструктуру финансовых рынков;
- g. Управляющие пенсионных фондов, взаимных фондов и т.д. (но не фонды, которыми они управляют);
- h. Корпорации, предоставляющие услуги фондовой биржи и биржи страхования;
- i. Бюро обмена иностранной валюты;
- j. Некоммерческие организации, признанные как независимые юридические лица, обслуживающие финансовые корпорации;
- k. Головные офисы финансовых корпораций, которые, в основном, занимаются контролем финансовых корпораций или групп финансовых корпораций, но сами не осуществляют операции финансовых корпораций;
- l. Центральные контролирующие органы финансовых посредников и финансовых рынков, если они являются отдельными институциональными единицами.
7. Кэптивные финансовые учреждения и ростовщики
4.113 Кэптивные финансовые учреждения и ростовщики включают институциональные единицы, предоставляющие финансовые услуги, у которых большая часть активов или обязательств не участвует в операциях на открытых финансовых рынках. Они включают единицы, которые осуществляют операции только в рамках ограниченной группы единиц (таких, как дочерние финансовые корпорации), или дочерние корпорации, принадлежащие одной и той же холдинговой корпорации, или единицы, которые предоставляют ссуду из собственных средств, предоставленных только одним спонсором.
4.114 В принципе, следующие финансовые корпорации относятся к этому подсектору:
- a. Единицы, которые являются юридическими лицами, такие как трасты и др.
- b. Холдинговые корпорации, которые являются только владельцами активов (владея контрольным пакетом акционерного капитала) группы дочерних корпораций, основным видом деятельности которых является владение группой единиц без предоставления каких-либо других услуг предприятиям, держателями акционерного капитала которых они являются, то есть они не руководят и не управляют другими единицами.
- c. Единицы специального назначения, или каналы передачи средств, которые являются институциональными единицами и привлекают средства на открытых рынках для того, чтобы они были использованы материнской корпорацией.
- d. Единицы, которые предоставляют финансовые услуги, используя исключительно собственные средства или средства, предоставленные спонсором широкому кругу клиентов, и принимают финансовый риск дефолта должников; к ним относятся:
- Ростовщики
- Корпорации, занятые кредитованием (например, предоставлением ссуд студентам, ссуд на экспортно-импортные операции) из средств, полученных от спонсора, например, от органа государственного управления или некоммерческой организации.
- Ломбарды, которые заняты преимущественно кредитованием.
8. Страховые корпорации (СК)
4.115 Страховые корпорации включают корпорированные единицы, взаимные фонды и другие единицы, основная функция которых состоит в предоставлении услуг по страхованию жизни, страхованию от несчастных случаев, болезни, пожаров или по другим формам страхования отдельным институциональным единицам или группам единиц или услуг перестрахования другим страховым корпорациям. Кэптивное страхование включено, то есть страховые корпорации, которые обслуживают только их владельцев. К страховым корпорациям относятся страховщики депозитов, компании, предоставляющие гарантии по депозитам, и другие компании, предоставляющие стандартизированные гарантии, которые являются отдельными юридическими лицами, действуют как страховщики, получая страховые премии, и имеют резервы.
9. Пенсионные фонды (ПФ)
4.116 Пенсионные обязательства возникают тогда, когда работодатель или органы государственного управления обязывают или поощряют членов домашних хозяйств участвовать в программах социального страхования, которые обеспечат доход пенсионерам. Программы социального страхования могут быть организованы работодателями или органами государственного управления, страховыми корпорациями от имени работающих по найму, или отдельные институциональные единицы могут быть учреждены для того, чтобы быть держателями активов и управлять ими для обеспечения пенсионных прав и выплаты пенсий. Подсектор пенсионных фондов включает только те фонды пенсионного социального страхования, которые являются институциональными единицами, отдельными от единиц, которые их создают.
F. Сектор государственного управления и его подсекторы
1. Органы государственного управления как институциональные единицы
4.117 Органы государственного управления (государственные единицы) представляют собой уникальные типы юридических лиц, учрежденные в результате политических процессов, которые обладают законодательной, судебной или исполнительной властью в отношении других институциональных единиц в пределах данной территории. Основные функции органов государственного управления как институциональных единиц состоят в том, чтобы принимать ответственность за предоставление товаров и услуг обществу в целом или отдельным домашним хозяйствам и финансировать предоставление этих товаров и услуг за счет налоговых поступлений или других доходов; перераспределять доход и богатство с помощью трансфертов; и осуществлять нерыночное производство. В принципе, они характеризуются следующими признаками:
- a. Орган государственного управления обычно имеет полномочия получать средства путем сбора налогов или обязательных трансфертов от других институциональных единиц. Для того, чтобы соответствовать определению институциональной единицы, принятому в СНС, орган государственного управления на уровне экономики в целом, региональном или местном уровнях, должен иметь собственные средства, полученные либо с помощью налогов от других единиц, либо в качестве трансфертов от других органов государственного управления, иметь полномочия расходовать часть этих средств или все средства для достижения целей политики. Он также должен иметь возможность занимать средства от своего имени;
- b. Орган государственного управления обычно производит три типа конечных расходов:
- Первая группа включает фактические или условно исчисленные расходы на бесплатное предоставление обществу коллективных услуг, таких как услуги общего государственного управления, услуги по обеспечению обороноспособности, общественного порядка, государственного здравоохранения и т.д., которое организуется органами государственного управления и финансируется из налоговых поступлений или других доходов;
- Вторая группа включает расходы на предоставление товаров и услуг отдельным домашним хозяйствам бесплатно или по экономически незначимым ценам. Эти расходы осуществляются целенаправленно и финансируются органами государственного управления из налогов или других доходов для реализации социальных и политических целей, даже если отдельным лицам приходится делать некоторые платежи за использование товаров и услуг;
- Третья группа включает трансферты, выплачиваемые другим институциональным единицам, главным образом, домашним хозяйствам, с целью перераспределения дохода или богатства.
4.118 В рамках отдельной территории может быть несколько органов государственного управления, особенно когда существуют различные уровни управления, а именно центральные, региональные или местные органы государственного управления. Кроме того, фонды социального обеспечения также представляют собой органы государственного управления. Эти различные типы органов государственного управления описаны ниже при рассмотрении подсекторов сектора государственного управления.
Органы государственного управления как производители
4.119 Тот факт, что органы государственного управления принимают решения предоставлять не только коллективные услуги, но также многие товары и индивидуальные услуги домашним хозяйствам или другим единицам бесплатно или по экономически незначимым ценам, не обязательно означает, что они сами производят их. Даже в случае коллективных услуг, или так называемых общественных благ, органы государственного управления обязаны только принять ответственность за организацию их производства и финансирование. Они не обязаны производить их сами. Однако на практике органы государственного управления заняты широким кругом производственной деятельности, включающим не только коллективные услуги, но также большое число индивидуальных товаров и услуг. Так как это, главным образом, вопрос политического выбора, охват товаров и услуг, производимых органами государственного управления, значительно различается между странами. За исключением некоторых коллективных услуг, таких как общее государственное управление и оборона, представляется трудным классифицировать некоторые типы производства, например, услуги в области образования и здравоохранения, как, в основном, государственные, даже если они часто производятся государственными единицами.
4.120 Если орган государственного управления принимает решение заняться деятельностью в сфере производства, у него имеются три выбора:
- a. Он может создать государственную корпорацию, чью корпоративную политику, включая вопросы ценообразования и инвестиций, он может контролировать;
- b. Он может создать НКО и контролировать ее;
- c. Он может производить товары и услуги сам в заведении, которое находится в его собственности, но которое не является отдельным юридическим лицом, независимым от органа государственного управления.
4.121 Однако государственное заведение или группа заведений, занятых одним и тем же видом производственной деятельности под общим управлением, должны рассматриваться как квазикорпорации при условии выполнения следующих трех критериев:
- a. единица реализует свою продукцию по экономически значимым ценам;
- b. единица функционирует и управляется так же, как корпорация;
- c. единица имеет полный набор счетов, который дает возможность отдельно идентифицировать и измерить ее прибыль, сбережение, активы и обязательства.
Такие квазикорпорации являются рыночными производителями, которые рассматриваются как институциональные единицы, отдельные от органов государственного управления, которым они принадлежат. Они классифицируются и относятся к институциональным секторам и подсекторам таким же образом, как государственные корпорации.
4.122 Для того чтобы рассматривать единицу как квазикорпорацию, органы государственного управления должны обеспечить управлению предприятия значительную степень свободы не только в отношении управления процессом производства, но также в отношении использования средств. Квазикорпорации, принадлежащие органам государственного управления, должны иметь возможность иметь средства на текущих счетах и коммерческий кредит и иметь возможность финансировать некоторые или все их расходы на капитальные вложения за счет собственного сбережения, накопленных амортизационных отчислений или заимствования. Возможность проводить различие между потоками доходов и капитала между квазикорпорациями и органами государственного управления означает, что их производственная и финансовая деятельность неполностью интегрированы на практике в статистике государственных доходов или финансов, несмотря на то, что они не являются отдельными юридическими лицами.
4.123 Производственные единицы органов государственного управления, которые не могут рассматриваться как квазикорпорации, подобно всем некорпорированным предприятиям, которые не могут быть отделены от их собственников, остаются в той же институциональной единице, что и их собственник, в данном случае в секторе государственного управления. Они, вероятно, состоят в основном или целиком из нерыночных производителей: то есть производителей, большая часть выпуска которых (или весь выпуск) предоставляется другим единицам бесплатно или по экономически незначимым ценам. В дополнение к производителям, предоставляющим нерыночные товары и услуги населению, такие единицы могут включать государственных производителей, предоставляющих их нерыночные товары и услуги другим государственным единицам для их промежуточного потребления или валового накопления основного капитала: например, заводам, производящим вооружение, государственным типографиям, транспортным агентствам, агентствам, занятым вопросами связи, компьютерным центрам и др. Однако некорпорированное предприятие, принадлежащее органам государственного управления, может быть рыночным производителем. Часто цитируемый пример в этой связи - книжный магазин при государственном музее.
Программы социального обеспечения и фонды социального обеспечения
4.124 Программы социального обеспечения представляют собой программы социального страхования, которые охватывают все общество в целом или значительные его части и которые учреждаются и контролируются органами государственного управления. Эти программы охватывают широкий круг разнообразных программ предоставления пособий в денежной и натуральной форме, таких как пособия по старости, пособия в связи с инвалидностью или смертью, в связи с потерей кормильца, в связи с производственными травмами, пособия по болезни, беременности и родам, по безработице, пособия многодетным семьям, пособия на медицинское обслуживание и др. Не существует прямой зависимости между размером отчислений, производимых отдельными лицами, и размером получаемого пособия.
4.125 Если программы социального обеспечения организованы отдельно от других видов деятельности органов государственного управления, их активы и обязательства отделены от активов и обязательств последних и они осуществляют финансовые операции от своего имени, они рассматриваются как институциональные единицы, которые называются фондами социального обеспечения. Однако организация программ социального обеспечения весьма различна в разных странах, и в некоторых странах они, возможно, тесно интегрированы с другими финансами органов государственного управления, в связи с чем возникает вопрос о том, следует ли их рассматривать в качестве отдельных институциональных единиц.
4.126 Полученные средства от отчислений на социальное обеспечение и выплаченные пособия могут намеренно различаться, для того чтобы обеспечить достижение целей политики правительства, которые не имеют прямой связи с концепцией социального обеспечения как с программой, предоставляющей социальные пособия членам общества. Они могут быть увеличены или сокращены, чтобы оказать влияние, например, на совокупный спрос в экономике. Тем не менее, до тех пор, пока они остаются отдельно учрежденными фондами, они должны рассматриваться в СНС как отдельные институциональные единицы.
2. Сектор государственного управления
4.127 Сектор государственного управления включает следующие группы резидентских институциональных единиц:
- a. Все единицы центральных, региональных или местных органов государственного управления (они описаны ниже);
- b. Все нерыночные НКО, которые контролируются органами государственного управления.
Сектор также включает фонды социального обеспечения, или в качестве отдельных институциональных единиц, или как часть любого или всех - центральных, региональных или местных - органов государственного управления. Сектор не включает государственные корпорации, даже если весь акционерный капитал таких корпораций принадлежит органам государственного управления. Сектор не включает также квазикорпорации, которые являются собственностью органов государственного управления и контролируются ими. Однако некорпорированные предприятия, принадлежащие государственным единицам, которые не являются квазикорпорациями, являются неотъемлемой частью этих единиц и, следовательно, должны быть включены в сектор государственного управления.
3. Подсекторы сектора государственного управления
4.128 Полное распределение сектора государственного управления на подсекторы обеспечивает возможность идентифицировать НКО и фонды социального обеспечения для каждого уровня государственного управления: центральных, региональных и местных органов управления. На практике, однако, обычно принято показывать все фонды социального обеспечения вместе в качестве одного подсектора или включать их в соответствующий уровень государственного управления и не выделять отдельно для соответствующего уровня государственного управления. Далее, НКО могут быть показаны как категория, выделенная «в том числе» для сектора государственного управления в целом или отдельно для центральных, региональных и местных органов управления.
4.129 Первый метод выделения подсекторов сектора государственного управления позволяет получить следующие подсекторы:
- a. Центральные органы управления (центральное правительство)
- b. Региональные органы управления,
- c. Местные органы управления,
- d. Фонд социального обеспечения.
При этом понимается, что каждый подсектор a, b и c включает НКО, но не включает фонды социального обеспечения на каждом уровне государственного управления.
4.130 Второй метод выделения подсекторов сектора государственного управления позволяет получить следующие подсекторы:
- a. Центральные органы управления,
- b. Региональные органы управления,
- c. Местные органы управления,
При этом понимается, что каждый подсектор a, b и c включает НКО и фонды социального обеспечения на этом уровне государственного управления.
4.131 При любом методе выделения подсекторов НКО должны быть выделены как категория «в том числе» для каждого уровня государственного управления.
4.132 Выбор между двумя методами выделения подсекторов зависит, главным образом, от размера или важности фондов социального обеспечения в данной стране и от того, каким образом они управляются.
4.133 В некоторых странах могут не существовать промежуточные уровни государственного управления между центральными и местными органами управления, и в этом случае подсектор региональные органы управления не выделяется. В других странах может быть больше, чем два уровня государственного управления ниже уровня центральных органов управления. В этом случае нижние уровни должны быть включены в региональные или местные органы управления в соответствии с характером их функций.
Центральные органы управления (центральное правительство)
4.134 Подсектор центральных органов управления включает все институциональные единицы, составляющие центральное правительство, плюс те нерыночные НКО, которые контролируются центральным правительством.
4.135 Политические полномочия центральных органов управления распространяются на всю территорию страны. Центральные органы государственного управления имеют полномочия вводить налоги на все резидентcкие и нерезидентские единицы, занятые экономической деятельностью в стране. Их политические функции, полномочия и обязанности включают обеспечение обороноспособности, общественного порядка и соблюдения законов, поддержание отношений с иностранными правительствами. Они также должны обеспечить эффективно работающую социально-экономическую систему с помощью соответствующего законодательства и различных методов регулирования экономики. Они ответственны за предоставление коллективных услуг для общества в целом и с этой целью осуществляют расходы на оборону и общее государственное управление. Кроме того, они могут нести расходы на предоставление услуг в таких областях, как образование и здравоохранение, главным образом, для отдельных домашних хозяйств. Наконец, они могут выплачивать трансферты другим институциональным единицам, главным образом, домашним хозяйствам, НКО, корпорациям и органам государственного управления других уровней.
4.136 Центральные органы управления - это большой и сложный подсектор в большинстве стран. Он обычно состоит из центральной группы департаментов или министерств, которые составляют одну институциональную единицу, плюс во многих странах другие институциональные единицы. Департаменты могут быть ответственными за значительную часть расходов, предусмотренных общим государственным бюджетом, но часто они не являются отдельными институциональными единицами и не могут быть собственниками активов, принимать обязательства, участвовать в операциях и т.д. независимо от центрального правительства в целом.
4.137 Департаменты центрального правительства часто намеренно разбросаны географически и находятся в различных частях страны, но тем не менее они остаются частью единой институциональной единицы. Аналогичным образом, если центральное правительство имеет отраслевые офисы или агентства в других частях страны для обеспечения местных потребностей, включая военные базы или сооружения, которые используются в интересах национальной обороны, они должны также рассматриваться как части единой институциональной единицы – центрального правительства.
4.138 В дополнение к департаментам и министерствам, могут существовать агентства центрального правительства со значительной автономией и отдельным юридическим статусом; они могут обладать известной свободой в отношении объема и структуры их расходов и могут иметь прямой источник доходов, таких как налоги, резервируемые на определенные цели. Такие агентства часто учреждаются для выполнения специфических функций, таких как строительство дорог или нерыночное производство услуг образования или здравоохранения. Они должны рассматриваться как отдельные институциональные единицы, если они составляют полный набор счетов, но являются частью подсектора центрального правительства, если услуги, которые они производят, являются нерыночными и если они контролируются центральным правительством.
4.139 В некоторых странах органы центрального управления (центральное правительство) могут включать единицы, осуществляющие финансовые операции, которые в других странах осуществляются центральными банками. В частности, единицы центрального правительства могут осуществлять эмиссию денег, быть держателем международных резервов и участвовать в операциях обмена стабилизационных фондов, а также в операциях с Международным валютным фондом (МВФ). Если эти единицы остаются интегрированными в финансовом отношении с центральным правительством и находятся под его прямым контролем и управлением, они не могут рассматриваться как отдельные институциональные единицы. Более того, независимо от того, какие функции органов кредитно–денежного регулирования осуществляются центральным правительством, они отражаются в секторе государственного управления, а не в секторе финансовых корпораций. Однако, имея в виду аналитическую важность, которая придается получению счетов, охватывающих операции органов кредитно-денежного регулирования в целом, и для того, чтобы обеспечить связь с другими статистическими системами, такими как РПБ6, «Руководство по статистике государственных финансов 2001 года» - РСГФ 2001 (Government Finance Statistics Manual 2001 – GFSM2001) и «Руководство по денежно-кредитной и финансовой статистике» (Monetary and Financial Statistics Manual) (Международный валютный фонд, 2000), рекомендуется отдельно идентифицировать операции агентств центрального правительства, осуществляющих функции органов кредитно-денежного регулирования, а также функции принятия депозитов, с тем чтобы они могли быть объединены с операциями центрального банка и других корпораций, принимающих депозиты, в отдельных таблицах, если это будет сочтено целесообразным.
Региональные органы управления
4.140 Подсектор региональных органов управления состоит из региональных органов управления, которые являются отдельными институциональными единицами, плюс те нерыночные НКО, которые контролируются региональными органами управления.
4.141 Региональные органы управления представляют собой институциональные единицы, осуществляющие некоторые функции правительства на уровне, который ниже уровня центральных органов управления, но выше уровня местных органов управления. Они представляют собой институциональные единицы, чьи фискальные, законодательные и исполнительные полномочия распространяются на отдельные регионы, на которые страна в целом может быть подразделена. Такие регионы могут называться в разных странах по-разному. В некоторых странах, особенно в маленьких странах, отсутствует деление на регионы, и региональные органы управления, возможно, не существуют. Однако в больших странах, особенно в тех, которые имеют федеральное устройство, региональным органам управления могут быть переданы значительные полномочия и обязанности.
4.142 Региональный орган управления обычно осуществляет фискальные полномочия, облагая налогами институциональные единицы, которые являются резидентами, и осуществляет экономическую деятельность и операции в пределах его компетенции. Для того чтобы быть признанной институциональной единицей, он должен иметь право быть собственником активов, получать средства и принимать обязательства от своего имени. Он должен также иметь право расходовать некоторые, и, возможно, все налоги и другие доходы, которые он получает в соответствии с его политикой в рамках общих положений законодательства страны, хотя некоторые трансферты, которые он получает от центральных органов управления, могут быть предназначены для некоторых конкретных целей. Он также должен иметь право назначать своих руководителей независимо от внешнего административного контроля. С другой стороны, если орган регионального управления целиком зависит от средств, получаемых от центральных органов управления, и если они также определяют цели, на которые эти средства должны быть израсходованы на региональном уровне, он должен рассматриваться как агентство центрального правительства, а не как отдельная институциональная единица.
4.143 Региональные органы управления в тех случаях, когда они существуют, идентифицируются на основе того факта, что их фискальные полномочия распространяются на самые большие географические территории, на которые страна в целом может быть подразделена по политическим или административным соображениям. В некоторых странах существуют несколько уровней государственного управления между центральными органами управления и наименьшими государственными институциональными единицами на местном уровне; в таких случаях для целей подразделения на секторы эти промежуточные уровни государственного управления объединяются вместе с уровнем либо регионального, либо местного управления, с которыми они связаны наиболее тесным образом.
4.144 Региональные органы управления могут быть собственниками корпораций или контролировать их таким же образом, как это делают центральные органы управления. Аналогичным образом, они могут иметь единицы, которые заняты рыночным производством, и в этом случае соответствующие единицы-производители должны рассматриваться как квазикорпорации, если их операции и счета соответствуют принятому определению.
Местные органы управления
4.145 Подсектор местных органов управления состоит из местных органов управления, которые представляют собой отдельные институциональные единицы, плюс нерыночные НКО, которые контролируются местными органами управления. В принципе, местные органы управления представляют собой институциональные единицы, фискальные, законодательные и исполнительные полномочия которых распространяются на самые маленькие географические территории, которые идентифицированы для административных и политических целей. Охват их полномочий обычно меньше, чем у центральных органов управления и региональных органов управления, и они могут иметь право, а могут и не иметь его, облагать налогами институциональные единицы-резиденты на своих территориях. Они часто в значительной мере зависят от грантов или трансфертов от органов государственного управления более высоких уровней, и они могут также в некоторой степени функционировать как агенты центральных или региональных органов управления. Однако, для того чтобы рассматривать их в качестве институциональных единиц, они должны иметь право быть собственниками активов, получать средства и принимать обязательства путем заимствования от своего имени; аналогичным образом, они должны иметь некоторую свободу в принятии решений о том, как расходовать эти средства. Они должны иметь право назначать своих руководителей независимо от внешнего административного контроля. Тот факт, что они, возможно, также выступают в некоторой степени в качестве агентов центральных или региональных органов управления, не мешает рассматривать их в качестве отдельных институциональных единиц, если они также имеют возможность получать и расходовать некоторые средства по собственной инициативе и под собственную ответственность.
4.146 Поскольку они являются государственными единицами, находящимися в самом тесном контакте с резидентскими институциональными единицами на своей территории, они обычно предоставляют широкий круг услуг местным резидентам, некоторые из которых могут финансироваться из трансфертов от органов государственного управления более высоких уровней. Трактовка производства товаров и услуг единицами местных органов управления определяется теми же самыми правилами, которые применяются в отношении центральных и региональных органов управления. Такие единицы, как муниципальные театры, музеи, бассейны и т.д., которые предоставляют товары и услуги на рыночной основе, должны рассматриваться как квазикорпорации, если имеется соответствующая информация в счетах, и должны быть отнесены к сектору нефинансовых корпораций. Другие единицы, предоставляющие товары и услуги на рыночной основе, рассматриваются как некорпорированные предприятия в рамках местных органов управления. Единицы, предоставляющие услуги на нерыночной основе, такие как услуги в области образования и здравоохранения, остаются неотъемлемой частью единицы местных органов управления, к которой они принадлежат.
Фонды социального обеспечения4.147 Подсектор фондов социального обеспечения включает фонды социального обеспечения, функционирующие на всех уровнях государственного управления.
4. Альтернативный метод выделения подсекторов
4.148 Альтернативный метод выделения подсекторов сектора государственного управления состоит в том, чтобы объединить фонды социального обеспечения, функционирующие на каждом уровне государственного управления, и НКО, контролируемые и финансируемые органами государственного управления на этом уровне государственного управления. Два альтернативных метода выделения подсекторов имеют целью принять во внимание различные аналитические требования. Решение по вопросу о том, какой метод является наиболее подходящим в данной стране, не может быть принято априори. Оно зависит от того, насколько важны фонды социального обеспечения, и от того, в какой степени они управляются независимо от органов государственного управления, с которыми они связаны. Если управление фондов социального обеспечения так тесно интегрировано с краткосрочными и среднесрочными потребностями государственной общеэкономической политики, что отчисления и пособия намеренно корректируются в интересах общеэкономической политики, в этом случае трудно с концептуальной точки зрения провести четкое различие между управлением социальным обеспечением и другими экономическим функциями органов государственного управления. С другой стороны, в некоторых странах фонды социального обеспечения, возможно, существуют в самой рудиментарной форме. При любых этих обстоятельствах трудно обосновать трактовку фондов социального обеспечения в качестве отдельного подсектора наряду с подсекторами центральных, региональных и местных органов управления, и поэтому более целесообразно использовать альтернативный метод выделения подсекторов, в соответствии с которым они объединяются с соответствующими государственными единицами на каждом уровне государственного управления. Такой подход рассматривается как предпочтительный в РСГФ 2001.
G. Сектор домашних хозяйств и его подсекторы
1. Домашние хозяйства как институциональные единицы
4.149 В СНС домашнее хозяйство определено как группа лиц, которые проживают в одном и том же жилище, объединяют весь свой доход и имущество или их часть и потребляют коллективно некоторые виды товаров и услуг, главным образом, жилищные услуги и продукты питания. В принципе, каждый член домашнего хозяйства может иметь некоторые требования в отношении коллективных ресурсов домашнего хозяйства. По крайней мере, некоторые решения, касающиеся потребления и некоторых видов экономической деятельности, должны приниматься домашним хозяйством в целом.
4.150 Домашние хозяйства часто совпадают с семьями, но члены домашнего хозяйства не обязательно должны принадлежать к одной и той же семье, пока они делят ресурсы и потребление. Домашние хозяйства могут быть различного размера и принимать различные формы в различных обществах и культурах в зависимости от традиций, религии, образования, климата, географии, истории и других социально-экономических факторов. Определение домашнего хозяйства, принятое в обследованиях домашних хозяйств, проводимых статистиками, знакомыми с социально-экономическими условиями в каждой данной стране, вероятно, близко к концепции домашнего хозяйства, принятой в СНС, хотя статистики, занятые обследованиями домашних хозяйств, могут добавить более точные и практические критерии для каждой отдельной страны.
4.151 Домашняя прислуга, которая проживает в том же самом жилище вместе с работодателем, не является частью домашнего хозяйства работодателя, даже если ей, возможно, предоставляется жилище и питание в качестве оплаты труда в натуральной форме. Оплачиваемая домашняя прислуга не имеет требований в отношении коллективных ресурсов домашних хозяйств работодателей, и жилищные услуги и продукты питания, которые она потребляет, не включаются в потребление ее работодателей. Следовательно, лица, осуществляющие функции домашней прислуги, должны рассматриваться как домашние хозяйства, отдельные от домашних хозяйств их работодателей.
4.152 Лица, проживающие постоянно в специальных учреждениях, или которые, возможно, будут проживать в них в течение длительного или неопределенного времени, рассматриваются как принадлежащие к одному институциональному домашнему хозяйству, если они обладают незначительной автономией или вообще не обладают автономией в отношении действий или решений по экономическим вопросам. Некоторые примеры лиц, принадлежащих к институциональным домашним хозяйствам, приведены ниже:
- a. Члены религиозных общин, проживающие в монастырях;
- b. Пациенты, находящиеся в течение длительного времени в больницах, включая психиатрические больницы;
- c. Заключенные, отбывающие длительные сроки наказания в тюрьмах;
- d. Лица, постоянно проживающие в домах престарелых.
4.153 С другой стороны, лица, которые поступают в больницы, клиники, реабилитационные центры, религиозные учреждения или аналогичные учреждения на короткий период, которые посещают школы, колледжи, университеты с проживанием в них или которые отбывают короткий срок в тюрьме, должны рассматриваться как члены отдельных домашних хозяйств, к которым они обычно принадлежат.
4.154 Резидентство отдельных лиц определяется резидентством домашнего хозяйства, частью которого они являются, а не местом их работы. Все члены одного и того же домашнего хозяйства имеют тот же статус резидентства, что и домашнее хозяйство в целом, даже если они, возможно, пересекают границу, для того чтобы работать, или находятся в течение некоторого времени за границей. Если они работают и живут за границей в течение длительного времени, и центр их экономического интереса находится за границей, они перестают быть членами их первоначального домашнего хозяйства.
2. Некорпорированные предприятия домашних хозяйств
4.155 Как отмечено во введении, домашние хозяйства в отличие от корпораций могут иметь конечное потребление. Однако, как и корпорации, они могут быть также заняты производством. Некорпорированные рыночные предприятия домашних хозяйств создаются с целью производства товаров и услуг для продажи или обмена по бартеру на рынке. Они могут быть заняты практически любым видом экономической деятельности: сельским хозяйством, горнодобывающей и обрабатывающей промышленностью, строительством, розничной торговлей или производством других видов услуг. Они могут варьироваться от одного человека, работающего уличным торговцем или чистильщиком обуви, который практически не имеет ни капитала, ни помещения для своей деятельности, до больших предприятий обрабатывающей промышленности, строительства и предприятий, занятых предоставлением услуг, с большим числом лиц, работающих по найму.
4.156 Некорпорированные рыночные предприятия домашних хозяйств также включают некорпорированные партнерства, которые заняты производством товаров и услуг для продажи или бартера на рынке. Партнеры могут принадлежать к различным домашним хозяйствам. Когда обязательство партнеров в отношении долгов предприятия не ограничено, партнерства должны рассматриваться как некорпорированные предприятия и оставаться в секторе домашних хозяйств, поскольку все активы домашнего хозяйства, включая жилища, не освобождены от риска в случае банкротства предприятия. Однако некорпорированные партнерства со многими партнерами, такие, например, как крупные юридические или архитектурные фирмы, а также фирмы, специализирующиеся в области бухгалтерского учета, вероятно, будут вести себя подобно корпорациям, и должны рассматриваться как квазикорпорации, если имеется полный набор счетов для партнерства. Партнерства, партнеры которых обладают ограниченной ответственностью, фактически представляют собой отдельные юридические лица и, как отмечено выше, рассматриваются как корпорации.
4.157 Некорпорированное предприятие может рассматриваться как корпорация, только если представляется возможным отделить все активы, включая финансовые активы до уровня денежной наличности, которые принадлежат домашнему хозяйству в качестве потребителя, от тех, которые принадлежат домашнему хозяйству в качестве производителя.
3. Сектор домашних хозяйств и его подсекторы
4.158 Сектор домашних хозяйств включает все резидентские домашние хозяйства. Имеется множество полезных подходов, с помощью которых сектор домашних хозяйств может быть подразделен на подсекторы, и статистическим службам рекомендуется рассмотреть различные возможности. Может быть принято несколько подходов, если существует спрос на данные о различных группировках сектора домашних хозяйств со стороны различных пользователей, аналитиков и лиц, принимающих решения по вопросам экономической политики.
4.159 СНС должна применяться гибким, а не жестким образом. Для того чтобы применить любой из возможных подходов к выделению подсекторов сектора домашних хозяйств, предложенных ниже, отдельные страны должны принять свои решения по вопросу о том, какую классификацию они считают наиболее подходящей. Таким образом, тот факт, что здесь предложена конкретная детальная классификация в соответствии с критерием интереса, не должен интерпретироваться как предположение, что предложенные характеристики являются необходимыми или всегда наиболее важными для целей экономического анализа и принятия решений по вопросам экономической политики.
Деление на подсекторы в соответствии с критерием дохода
4.160 Домашние хозяйства могут быть отнесены к подсекторам в соответствии с характером наиболее значительного источника их дохода. Для этой цели следует выделить следующие типы дохода домашних хозяйств:
- a. Доходы, поступающие собственникам некорпорированных предприятий домашних хозяйств с оплачиваемыми работниками (смешанный доход работодателей);
- b. Доходы, поступающие собственникам некорпорированных предприятий домашних хозяйств без оплачиваемых работников (смешанный доход самостоятельно занятых лиц);
- c. Оплата труда лиц, работающих по найму;
- d. Доходы от собственности и трансферты.
4.161 Домашние хозяйства относятся к подсекторам в соответствии с тем, какая из четырех категорий доходов, перечисленных выше, является наибольшей для домашнего хозяйства в целом, даже если она не всегда составляет более половины всего дохода домашнего хозяйства. Если домашнее хозяйство получает более одного дохода данной категории, например, потому что более одного члена домашнего хозяйства получают оплату труда или потому что получено более одного вида дохода от собственности или трансфертов, классификация должна основываться на общем доходе домашнего хозяйства в пределах каждой категории. Четыре подсектора определяются следующим образом:
- a. Работодатели;
- b. Самостоятельно занятые лица;
- c. Лица, работающие по найму;
- d. Получатели доходов от собственности и трансфертов.
4.162 Четвертый подсектор, охватывающий домашние хозяйства, у которых доходы от собственности и трансферты составляют наиболее значительный источник доходов, представляет собой разнородную группу, которую рекомендуется подразделить на три следующих подсектора, если это возможно. Эти подсекторы определяются следующим образом:
● Получатели доходов от собственности;
● Получатели пенсий;
● Получатели других трансфертных доходов.Деление на подсекторы в соответствии с характеристиками «референтного лица»
4.163 Другие способы деления на подсекторы обычно требуют определения «референтного лица» для каждого домашнего хозяйства. Референтным лицом не обязательно является лицо, которое другие члены домашнего хозяйства рассматривают как «главу домашнего хозяйства», поскольку референтное лицо должно быть определено на основе экономической значимости, а не возраста или старшинства. Референтное лицо обычно должно быть лицом с наибольшим доходом, хотя референтное лицо может быть также лицом, которое принимает важнейшие решения в отношении потребления домашнего хозяйства.
4.164 После идентификации референтного лица становится возможным сгруппировать домашние хозяйства на основе характеристик референтного лица. Например, подсекторы могут быть определены в соответствии с:
- a. Занятием референтного лица;
- b. Отраслью, в которой референтное лицо работает;
- c. Уровнем образования референтного лица;
- d. Квалификацией или профессиональными навыками референтного лица.
Каждый из критериев, приведенных выше, обеспечивает собственную возможную схему выделения подсекторов. Представляется также возможным сгруппировать домашние хозяйства в подсекторы в соответствии с главным доходом референтного лица, если невозможно по каким-то причинам сгруппировать их на основе наибольшего дохода, получаемого домашним хозяйством. С этой целью могут быть использованы те же самые категории доходов, которые рекомендованы в отношении наибольшего дохода домашнего хозяйства.
Выделение подсекторов в соответствии с размером домашнего хозяйства и его местонахождением
4.165 Наконец, может быть отмечено, что домашние хозяйства могут быть подразделены на подсекторы с использованием критериев, которые применяются для домашнего хозяйства в целом. Например, подсекторы могут быть определены в соответствии с:
- a. Размером общего дохода домашнего хозяйства;
- b. Размером домашнего хозяйства по числу его членов;
- c. Типом местности, в которой домашнее хозяйство расположено.
Последний критерий позволяет проводить различие между домашними хозяйствами в сельской, городской местности или в метрополии, а также в различных географических регионах.
H. Сектор некоммерческих организаций, обслуживающих домашние хозяйства
4.166 В предыдущих разделах было пояснено, что НКО относятся к секторам корпораций, если они заняты рыночным производством, и к сектору государственного управления, если они заняты нерыночным производством, но контролируются органами государственного управления. Остающиеся НКО называются некоммерческими организациями, обслуживающими домашние хозяйства (НКОДХ). Они предоставляют товары и услуги бесплатно или по экономически незначимым ценам.
4.167 Один тип НКОДХ включает те организации, которые созданы ассоциациями лиц с целью предоставления товаров или чаще услуг, главным образом, членам этих ассоциаций. Услуги обычно предоставляются бесплатно, и они финансируются за счет регулярных взносов членов или членских взносов по подписке. Они включают такие НКОДХ, как профессиональные общества, политические партии, профсоюзные организации, ассоциации потребителей, церкви и религиозные общины, социальные, культурные, развлекательные и спортивные клубы. Они не включают организации, выполняющие аналогичные функции, которые контролируются органами государственного управления. Религиозные организации рассматриваются как НКОДХ, даже если они, главным образом, финансируются органами государственного управления, при условии, что это финансирование не рассматривается как обеспечивающее право контроля со стороны органов государственного управления. Политические партии в странах с однопартийной политической системой, которые контролируются органами государственного управления путем предоставления необходимых финансовых ресурсов, включаются в сектор государственного управления.
4.168 В некоторых странах НКОДХ, возможно, не имеют юридического статуса или формального устава. Они должны рассматриваться как НКОДХ, если они осуществляют те же самые функции, которые осуществляют ассоциации, политические партии, профсоюзы и т.д., описанные выше, даже если они юридически не являются НКОДХ. Однако, если группы домашних хозяйств кооперируются для общинного строительства таких объектов, как здания, дороги, мосты, дамбы, котлованы и т.д., они должны рассматриваться как неформальные партнерства, занятые строительством для собственного использования, а не как НКОДХ. НКОДХ обычно должны заниматься выполнением своих функций на продолжительной основе, и они не создаются для реализации какого-то проекта на ограниченный период времени.
4.169 Второй тип НКОДХ включает благотворительные общества, агентства, занятые спасением и оказанием помощи, которые созданы для филантропических целей и не обслуживают интересы членов ассоциаций, контролирующих НКОДХ. Такие НКОДХ предоставляют товары или услуги на нерыночной основе нуждающимся домашним хозяйствам, включая домашние хозяйства, пострадавшие от стихийных бедствий или военных действий. Ресурсы таких НКОДХ формируются, главным образом, с помощью пожертвований в денежной или в натуральной форме от населения, корпораций или органов государственного управления. Они могут также могут получать трансферты от нерезидентов, включая аналогичные типы НКОДХ в других странах.
4.170 Третий тип НКОДХ включает те организации, которые предоставляют коллективные услуги, такие как научно-исследовательские организации, которые предоставляют бесплатно результаты своих исследований, группы, занятые вопросами экологии, и т.д. Эти организации менее распространены, чем первые два типа НКОДХ, и, возможно, не всегда широко представлены в стране.
4.171 Если число и величина НКОДХ, финансируемых из-за границы, существенны, возможно, будет целесообразным подразделить НКОДХ на те, которые, главным образом, финансируются из отечественных источников, и те, которые, главным образом, финансируются из-за границы.
I. Сектор остального мира
4.172 В СНС остальной мир охватывает все нерезидентские институциональные единицы, которые участвуют в операциях с резидентскими единицами или имеют другие экономические связи с резидентскими единицами данной страны. Он не является сектором, для которого должен составляться полный набор счетов, хотя часто удобно описать остальной мир, как если бы он был сектором. Счета или таблицы для остального мира содержат записи только об операциях между резидентами и нерезидентами или о других экономических отношениях, таких как требования резидентов к нерезидентам и наоборот. Остальной мир включает некоторые институциональные единицы, которые, возможно, физически расположены на географической территории данной страны; например, такие иностранные анклавы, как посольства, консульства или военные базы, а также международные организации.
1. Международные организации
4.173 Некоторые международные организации имеют все существенные характеристики институциональных единиц. Особые характеристики «международной организации», как этот термин используется в СНС, представлены ниже следующим образом:
- a. Членами международных организаций являются либо страны, либо другие международные организации, членами которых являются страны; они, таким образом, получают свои полномочия либо прямо от стран, которые являются их членами, либо косвенно от них через другие международные организации;
- b. Они являются юридическими лицами, учрежденными на основе политических соглашений между их членами, которые имеют статус международных договоров; их существование признается законом в их странах-членах;
- c. Так как они учреждены на основе международных соглашений, они получают суверенный статус; то есть международные организации не являются субъектами законодательства или регулирования в стране или странах, в которых они находятся; они не рассматриваются в качестве резидентских институциональных единиц стран, в которых они находятся;
- d. Международные организации создаются для различных целей, включая, среди прочего, следующие виды деятельности:
- Предоставление нерыночных услуг коллективного характера своим членам;
- Финансовое посредничество на международном уровне, то есть осуществление передачи средств между кредиторами и заемщиками в разных странах.
4.174 Формальные соглашения между всеми странами-членами международных организаций могут иногда иметь силу закона в этих странах.
4.175 Большинство международных организаций финансируются целиком или частично путем взносов, выплачиваемых странами-членами, но некоторые организации могут получать средства другими путями, такими, например, как заимствование на финансовых рынках или по подписке на вклад в капитал международных организаций, или путем кредитования странами-членами. В СНС международные организации рассматриваются как единицы, являющиеся резидентами остального мира.
2. Центральные банки валютных союзов
4.176 Центральный банк валютного союза рассматривается как особый тип международной организации. Членами международной организации, частью которой является центральный банк, являются правительства или национальные центральные банки стран валютного союза. Центральный банк рассматривается как нерезидентская единица в любой стране - члене валютного союза, но как резидент валютной зоны в целом. Более подробно вопрос о трактовке валютных и экономических союзов рассматривается в приложении 3 РПБ6.