Система национальных счетов 2008. Глава 15: Измерения динамики цен и объема


Карточка документа
Скачать документ

Содержание

A. Введение

15.1 В главе 14 описывается, как счет товаров и услуг может быть составлен в формате таблицы ресурсов и использования. Изменения в стоимостях потоков товаров и услуг могут быть разложены на два компонента, один из которых отражает изменения в ценах товаров и услуг, а другой - изменения в их объемах. Одно из важных преимуществ исчисления показателей изменения цен и объема в рамках таблиц ресурсов и использования состоит в том, что это обеспечивает проверку числовой согласованности и надежности системы показателей в целом. Это особенно важно, когда следует охватить каждый поток товаров и услуг в экономике, включая нерыночные товары и услуги, исчисление показателей объемов которых с помощью оценки в постоянных ценах, является более сложной проблемой, чем их оценка в текущих ценах.

15.2 Другое преимущество исчисления индексов цен и объема в рамках единой концептуальной основы, такой как таблица ресурсов и использования, состоит в том, что эти индексы могут быть получены для некоторых важных балансирующих статей. В частности, валовая добавленная стоимость может быть исчислена в постоянных ценах с помощью метода двойного дефлятирования, то есть путем вычитания промежуточного потребления в постоянных ценах из выпуска в постоянных ценах. Метод двойного дефлятирования может применяться на уровне отдельного предприятия, отрасли или сектора. Однако главная цель СНС состоит не в том, чтобы просто сформулировать общие принципы исчисления индексов цен и объемов для основных агрегатов СНС, но в том, чтобы обеспечить систему взаимосвязанных показателей, которые позволяют осуществлять систематический и детальный анализ инфляции и экономического роста.

1. Теория индексов

15.3 Раздел B содержит краткий обзор положений теории индексов, которые применяются к СНС. В этой области за прошедшее десятилетие достигнут существенный прогресс. Были изданы новые руководства по теории и практике исчисления индексов потребительских цен (ИПЦ) и индексов цен производителей (ИЦП). К ним относятся «Руководство по исчислению индексов потребительских цен: теория и практика» (Consumer Price Index Manual: Theory and Practice) (Международная организация труда, Международный валютный фонд, Организация экономического сотрудничества и развития, Евростат, Европейская экономическая комиссия ООН и Всемирный банк, 2004) и «Руководство по исчислению индексов цен производителей: теория и практика» (Producer Price Index Manual: Theory and Practice) (Международная организация труда, Международный валютный фонд, Организация экономического сотрудничества и развития, Европейская экономическая комиссия ООН и Всемирный банк, 2004). Было издано также руководство по исчислению индексов экспортных и импортных цен (ИЭИЦ) - «Руководство по исчислению индексов экспортных и импортных цен: теория и практика» (Export and Import Price Index Manual: Theory and Practice) (Международная организация труда, Международный валютный фонд, Организация экономического сотрудничества и развития, Европейская экономическая комиссия ООН и Всемирный банк, 2009). Эти руководства имеют общую структуру, чтобы помочь читателям. В частности, в главе 14 руководств по исчислению ИПЦ и ИЦП и в главе 15 руководства по исчислению ИЭИЦ пояснено, какие индексы могут быть использованы в структуре СНС.

15.4 Первая тема в разделе B касается выбора соответствующей методологии исчисления индексов динамики цен и объема для потоков товаров и услуг в контексте национальных счетов. В разделе B также рассматриваются вопросы отражения дискриминации в ценах, то есть трактовки различных цен, по которым схожие товары или услуги продаются различным покупателям на том же самом рынке в том же самом периоде. Такие различия в ценах следует четко отличать от различий в ценах, обусловленных различиями в качестве товаров и услуг. В этом разделе также обсуждаются вопросы отражения влияния изменений качества товаров и услуг на индексы цен и объема за длительный период времени, включая появление новых продуктов и исчезновение старых продуктов.

2. Индексы динамики цен и объемов

15.5 В разделе C поясняется, как обсуждение вопросов в разделе B может быть применено к СНС и как могут быть получены ряды индексов объема и цен. В нем обсуждаются не только элементы счета товаров и услуг, но также вопрос о том, каким образом запасы нефинансовых активов могут быть подразделены на элементы объема и цены. Далее в разделе рассматривается вопрос об измерении в реальном выражении ключевых агрегатов СНС, которые не могут быть непосредственно разложены на компоненты цены и объема; в этом контексте также рассматривается вопрос о влиянии условий внешней торговли на национальный доход.

15.6 Как и раздел B, раздел C не содержит исчерпывающего рассмотрения всех вопросов по этой теме, но основывается на руководствах, разработанных за прошедшее десятилетие, и содержит ссылки на них, и в особенности на «Руководство по исчислению индексов цен и объема в национальных счетах» (Handbook on Price and Volume Measures in National Accounts) (Евростат, 2001) и на главу IX «Руководства по квартальным национальным счетам: концепции, источники данных и разработка" (Quarterly National Accounts Manual: Concepts, Data Sources and Compilation) (Международный валютный фонд, 2001b).

3. Международные сравнения цен

15.7 Хотя большинство индексов цен и объема были разработаны с целью измерения изменения цен и объема за период времени, они могут также быть адаптированы для сравнения цен и объема между различными регионами или странами в том же самом периоде времени. Такие сравнения необходимы, чтобы обеспечить возможность сопоставления уровней жизни, уровней экономического развития или уровней производительности в различных странах.

15.8 Эти вопросы рассматриваются в разделе D, сначала в теоретическом аспекте, а затем с точки зрения применения специалистами в области национальных счетов. «Глобальные паритеты покупательной способности и реальные расходы – Методологическое руководство Программы международных сопоставлений 2005 года» (Global Purchasing Power Parities and Real Expenditure – 2005 International Comparison Program Methodological Handbook) (Всемирный банк, 2008) описывает методологию, лежащую в основе раунда Программы международных сопоставлений (ПМС) 2005 года.

4. Дополнительная информация

15.9 Данная глава претендует не более, чем на то, чтобы представить наиболее важные концепции и положения, касающиеся применения положений теории индексов для исчисления рядов индексов объема в СНС. Дополнительная информация должна быть получена в других руководствах, на которые выше сделаны ссылки.

B. Краткий обзор теории индексов

1. Количества, цены и стоимости

15.10 Для каждого отдельного товара или услуги необходимо определить соответствующую единицу количества, в которой могут быть измерены товар или услуга. Товары или услуги могут быть поставлены потребителям в единицах, которые являются или дискретными, или непрерывно меняющимися переменными. Автомобили, самолеты, компьютеры, стрижки волос и удаления аппендицита - примеры товаров или услуг, оказанных в дискретных или целых единицах. Количества таких товаров и услуг получаются просто подсчетом числа единиц. Нефть, электроэнергия, сахар и перевозка - примеры товаров или услуг, предоставляемых в единицах, которые меняются непрерывно, это относится к таким их характеристикам, как вес, объем, мощность, продолжительность и расстояние. Выбор физической единицы и ее цены применительно к выбранному продукту поэтому является вопросом удобства. Например, цена, исчисленная за тонну, в одну тысячу раз больше, чем цена, исчисленная за килограмм. Если цена согласована с единицей объема, стоимость (v) отдельного однородного товара или услуги равна цене единицы количества (p), умноженной на количество единиц (q), то есть v = p х q.

Аддитивность количеств, цен и стоимостей

15.11 Следует кратко отметить некоторые важные свойства аддитивности количеств, цен и стоимостей:

a. Количества являются аддитивными только для отдельного однородного продукта. Например, не имеет экономического смысла сложение 10 тонн угля с 20 тоннами сахара. Менее очевидно, что сложение 10 автомобилей одного типа с 20 автомобилями другого типа также не имеет экономического смысла, если их качественные характеристики отличаются.

b. Цена товара или услуги определяется как стоимость единицы данного товара или услуги. Она зависит от размера единицы измерения выбранного количества и во многих случаях может меняться в зависимости от изменения единицы измерения количества, например, в связи с решением измерять количество в тоннах, а не в килограммах. Цены, как и количества, не являются аддитивными для различных товаров или услуг. Среднее значение цен различных товаров или услуг не имеет экономического смысла и не может использоваться, чтобы определить изменение цен за некоторый период времени.

c. Стоимости, оцененные с помощью единой единицы валюты, аддитивны для различных продуктов. Стоимости являются инвариантными к выбору единицы количества.

15.12 В рыночной системе относительные цены различных товаров и услуг должны отражать относительные затраты на производство и относительную полезность для покупателей, независимо от того, предполагают ли последние использовать их для производства или для потребления. Относительные затраты на производство и относительные полезности влияют на цены, по которым продавцы и покупатели готовы продавать и покупать товары и услуги на рынках. Агрегирование стоимостей различных товаров и услуг отражает выбор товаров и услуг, которые были произведены и потреблены по преобладающим текущим ценам.

Индексы объема, количества, цены и единицы стоимости

15.13 Индекс объема - это средняя величина изменений количеств определенного набора товаров или услуг между двумя периодами времени. Количества, сравниваемые за периоды времени, должны относиться к однородным продуктам, и исчисляемые индексы изменений количеств различных товаров и услуг должны быть взвешенными по их экономической значимости, определенной их относительными объемами в одном, другом или в обоих периодах. По этой причине объем является более правильным и адекватным термином, чем количество, поскольку важно иметь в виду, что количества должны быть скорректированы, чтобы отразить изменения качества товаров и услуг.

15.14 К сожалению, иногда может случиться, особенно в области статистики внешней торговли, основанной на таможенной документации, что данные, на основе которых должны быть исчислены индексы цен и индексы объема, недостаточно детализированы или неадекватны для данной цели. Например, имеющаяся в распоряжении основная информация может быть ограничена общим количеством единиц некоторой группы продуктов, импортированных или экспортированных, или их общим весом, например, общее количество пар ботинок или общий вес оборудования определенного вида. Индексы, исчисленные на основе информации такого рода, не являются индексами объема, когда количества или веса относятся к продуктам, продающимся по различным ценам. По этой причине иногда их называют "индексами количества". Индексы цен", связанные с такими индексами, обычно называют индексами "единицы стоимости". Индексы единицы стоимости определяют изменения средней стоимости продуктов, которые не обязательно являются однородными; на них могут оказывать влияние как изменения в структуре совокупности продуктов, так и изменения в их ценах. Поэтому индексы единицы стоимости не являются хорошими показателями изменения средней цены группы неоднородных продуктов за некоторый период времени.

2. Индексы динамики цен и объемов

15.15 Индексы, представляющие интерес для СНС, предназначены для того, чтобы подразделить изменения стоимости агрегатов на общее изменение компонента цены и компонента объема. Индекс цен может быть записан и исчислен как средневзвешенная величина изменений в ценах определенного набора товаров и услуг между двумя периодами времени, например, базисным периодом 0 и текущим периодом t. Аналогично этому индекс объема может быть записан и исчислен как средневзвешенная величина изменений в объемах определенного набора товаров и услуг между двумя периодами времени, например, базисным периодом 0 и текущим периодом t. Существует много формул индексов, отличающихся друг от друга, главным образом, в отношении весов, которые применяются для взвешивания отдельных соотношений цен или количеств, и в отношении конкретной формулы среднего, которое может быть арифметическим, геометрическим, гармоническим и т.д. Эти альтернативные формулы, их свойства и относительные достоинства детально описаны в руководствах по исчислению ИЦП и ИПЦ.

Индексы Ласпейреса и Пааше

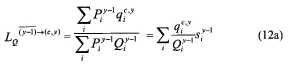
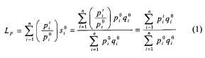
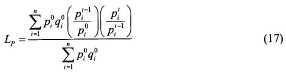
15.16 Двумя наиболее часто используемыми формулами индексов являются индексы Ласпейреса и Пааше. Индекс цен Ласпейреса (LР) определяется как взвешенное арифметическое среднее соотношений цен с использованием долей стоимостей в базисном периоде 0 в качестве весов:

Chapter 15_html_558e4c22777b21f1.jpg

где Chapter 15_html_89e6e6990cad5eed.jpg и Chapter 15_html_2da997553a0251a3.jpg это цены, количества и стоимости в период времени 0 для продуктов i = 1, …, n и Chapter 15_html_36edfa6670428cc.jpg - доли стоимостей в период времени 0. Аналогичные выражения с верхними надстрочными индексами относятся к периоду времени t.

15.17 Отметим, что индекс цен Ласпейреса может быть исчислен как изменение стоимости корзины продуктов, структура которой остается неизменной по сравнению с базисным периодом времени 0. Индекс объема Ласпейреса (LQ) может быть исчислен аналогичным образом как изменение стоимости корзины, структура которой в каждом периоде обновляется, но цены базисного периода 0 умножаются на новые количества продуктов, то есть:

Chapter 15_html_57772781c3f911f7.jpg

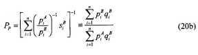
15.18 Индексы Пааше также могут быть исчислены как для измерения динамики цен, так и объемов. Индекс Пааше отличается от индекса Ласпейреса в двух отношениях. Он использует формулу гармонического среднего вместо формулы арифметического среднего, и в качестве весов используются объемы или цены текущего периода времени t. Индекс цен Пааше исчисляется по следующей формуле:

Chapter 15_html_9bf0af09c38869b0.jpg

а индекс объема Пааше с постоянными весами, или ценами, текущего периода имеет следующую формулу:

Chapter 15_html_4ede28f9da64bb7d.jpg

Дефлятирование и ряды показателей объема, полученные с помощью формул Ласпейреса и Пааше

15.19 Индекс изменений стоимостей между двумя периодами Chapter 15_html_cf5ab737fc7552f7.jpg отражает совместное влияние изменений цен и количеств. Когда используются индексы Ласпейреса и Пааше, индексы изменения стоимости будут точно подразделяться на индекс цен, умноженный на индекс объема, только если индексу цен Ласпейреса соответствует индекс объема Пааше, то есть LP x PQ = IV, или индекс объема Ласпейреса соответствует индексу цен Пааше, то есть LQ х PР = IV. Например, индекс цен 1,05, представляющий 5-процентное изменение, умноженный на индекс объема 1,08, соответствующий 8-процентному изменению, даст индекс изменения стоимости 1,134, то есть изменение на 13,4 процента.

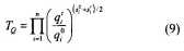
15.20 Эти соотношения могут использоваться каждый раз, когда известны общие стоимости показателей в текущих ценах для обоих периодов и либо индекс цен, либо индекс объема. Допустим, что разработчики хотят исчислить индекс объема. Индексы объема Ласпейреса и Пааше получаются делением индекса изменения стоимости на соответствующие индексы цен: LQ = I/ PP и PQ = IV / LP, соответственно. Отметим, что LQ в правой части уравнения (2) создает ряды индексов объема Ласпейреса для периодов t = 1, ... , T в виде:

Chapter 15_html_75ca638d6ee94ab2.jpg

Умножение показателей ряда на общий знаменатель Chapter 15_html_6905a9d671b213cf.jpg  позволяет получить ряды показателей объема:

Chapter 15_html_6c750f415b36945b.jpg

Относительные изменения от периода к периоду для этих рядов идентичны тем, которые получаются с использованием индексов объема Ласпейреса, приведенных в (5), однако два ряда будут отличаться на скалярную величину, являющуюся стоимостью в периоде 0.

15.21 Ряды, в основе которых лежат цены базисного года, как показано в (6), легко понятны, однако метод исчисления индексов объема на основе оценки показателей в ценах базисного периода, не является наилучшим, если период времени T является продолжительным, и в течение его происходят изменения в структуре экономики. Например, если изменения объема определяются для 10-летнего периода, допустим, с 1995 года по 2005 год, в постоянных ценах 1995 года, то динамика объема для более позднего периода основывается на структуре цен, которые с большой вероятностью изменились. Более обоснованный подход состоял бы в изменении весов в дефляторе Пааше в 2000 году и увязке полученного индекса с индексом за 1999 год. Получающиеся ряды индексов объема для 10-летнего периода больше не будут основаны на оценке показателей в постоянных ценах 1995 года, но будут более репрезентативными индексами объема. Еще лучше метод, который, если позволяют возможности, состоит в формировании рядов на основе увязки ежегодных двусторонних сравнений показателей в постоянных ценах. Предпочтительно использовать термин "ряды объема" для описания таких рядов, а не термин "ряды в постоянных ценах".

Соотношение между индексами Ласпейреса и Пааше

15.22 Прежде чем рассмотреть другие возможные формулы, полезно установить поведение индексов Ласпейреса и Пааше по отношению друг к другу. В принципе, индекс Ласпейреса имеет тенденцию показывать относительно большее увеличение по сравнению с базисным годом, чем индекс Пааше, то есть, в принципе:

как Chapter 15_html_41186f9bc1003785.jpg , так и Chapter 15_html_cda2cc03f1bfab34.jpg

Можно показать, что соотношение (7) выполняется каждый раз, когда относительные цены и количества (взвешенные по стоимостям) имеют отрицательную корреляцию, то есть когда цены повышаются, приобретенные количества продуктов сокращаются, или наоборот. Такая отрицательная корреляция должна ожидаться всеми, кто оплачивает цены, включая потребителей и фирмы, приобретающие промежуточные продукты, которые реагируют на изменения в относительных ценах, заменяя покупки товаров и услуг, которые стали относительно более дорогими, на товары и услуги, которые стали относительно более дешевыми. Положительная корреляция должна ожидаться фирмами, устанавливающими цены, которые заменяют производимые продукты на товары и услуги, которые стали относительно более дорогими. При таких обстоятельствах неравенства в уравнении (7) изменятся на противоположные.

15.23 Предполагается, что потребители максимизируют полезность, что, в свою очередь, приводит к определенной комбинации приобретенных товаров и услуг. Теоретические индексы стоимости жизни (ИСЖ) определяются как соотношение минимальных расходов, необходимых для обеспечения некоторого уровня полезности для потребителя при двух наборах цен. ИСЖ увеличивается, если поддержание того же самого уровня полезности становится более дорогим. ИСЖ по формуле Ласпейреса отдавал бы предпочтение и фиксировал бы уровень полезности в базисном периоде, а ИСЖ по формуле Пааше фиксировал бы уровень полезности в текущем периоде.

15.24 Индекс цен Ласпейреса обеспечивает верхнюю границу теоретического ИСЖ по формуле Ласпейреса. В соответствии с концепцией ИСЖ потребители могут замещать продукты, которые стали относительно более дорогими, продуктами, которые стали относительно менее дорогими, чтобы обеспечить тот же самый уровень полезности, в то время как индекс фиксированной корзины Ласпейреса не отражает такое замещение. Аналогичным образом, можно показать, что индекс Пааше обеспечивает нижнюю границу теоретического ИСЖ по формуле Пааше.

Другие формулы индексов

15.25 Поскольку различные формулы дают различные результаты, необходимо рассмотрение альтернативных подходов к выбору среди них. Ниже рассматриваются некоторые формулы индексов.

15.26 Из рассмотрения индексов цен Ласпейреса и Пааше в уравнениях (1) и (3) очевидно, что оба индекса основаны на использовании фиксированной корзины количеств. Формулы отличаются в том, что индекс Ласпейреса основан на корзине, зафиксированной в базисном периоде, а индекс Пааше - в текущем периоде. Если цель состоит в том, чтобы просто определить изменение цен между двумя периодами, рассматриваемыми изолированно, то нет никакого основания предпочесть корзину более раннего периода корзине более позднего периода, или наоборот. Обе корзины одинаково приемлемы с концептуальной точки зрения. Таким образом, хотя они дают разные результаты, ни та, ни другая формула не может считаться лучшей по отношению к другой.

15.27. Компромиссное решение для определения индекса цен состоит в применении формулы, которая симметричным образом использует информацию о количествах в базисном и текущем периодах. Можно показать, что индекс Фишера является наиболее подходящим в этом контексте. (Для объяснения этого см. главу 15 руководств по исчислению ИЦП и ИПЦ.) Индекс Фишера (F) определен как геометрическое среднее из индексов Ласпейреса и Пааше, то есть из индексов цен и количества, соответственно:

Chapter 15_html_b031e97cbd74fb62.jpg

15.28 Экономическая теория постулирует наличие кривых безразличия, которые показывают, как потребители изменили бы структуру своих расходов в ответ на изменения цен. За исключением случая, когда функции полезности, которые представляют кривые безразличия, аналогичны в периодах времени 0 и t, индексы Ласпейреса и Пааше для этого периода будут основаны на функции полезности различной формы. В общем случае, индекс Ласпейреса даст верхнюю границу своей функции полезности, в то время как индекс Пааше даст нижнюю границу своей функции полезности, но эти две функции полезности будут различными.

15.29 Чтобы решить эту дилемму, был получен ряд индексов, названных гиперболическими индексами, связанных с функциями полезности, которые отражают изменения в количествах за период времени, вызванные изменениями цен. Индекс Фишера - один пример гиперболического индекса; индекс Торнквиста – это другой пример. Индекс Торнквиста – это геометрическая средняя величина соотношений цен, взвешенных по средним долям расходов в двух периодах. Таким образом, индексы цен и индексы объема Торнквиста определены как:

Chapter 15_html_6fcee67282188cd9.jpg иChapter 15_html_c96707bddc1ee451.jpg

Индексы Фишера и Торнквиста придают равную значимость информации о долях стоимостей в обоих периодах времени для целей взвешивания. По этой причине можно ожидать, что они будут находиться между значениями индексов Ласпейреса и Пааше, что и предполагалось в качестве цели. Различие между числовыми значениями индексов Торнквиста и Фишера и другими схожими симметричными индексами, вероятно, будет не очень большим. Ни индекс объема Торнквиста, ни индекс объема Фишера не используют цены конкретного отдельного периода. Термин "в постоянных ценах является некорректным для рядов такого рода; более правильно говорить о рядах показателей (индексов) объемов.

15.30 Вышеупомянутый анализ был сделан с точки зрения потребителя или покупателя. Экономическая теория также определяет границы индексов Ласпейреса и Пааше с точки зрения производителя. Производители, максимизирующие выручку, стремятся увеличить относительные количества продуктов в ответ на увеличение относительных цен. Получающиеся границы индексов Ласпейреса-Пааше являются противоположными описанным выше, поскольку произведенные количества заменяются товарами, изменения цен продаж которых выше среднего изменения цен. Однако необходимость устранения систематической ошибки, возникающей в связи с отсутствием учета эффекта замещения, при использовании индексов Торнквиста и Фишера сохраняется.

Желательные характеристики индексов

15.31 Известны два часто упоминаемые критерия, которым предположительно должны удовлетворять индексы, используемые для дефлятирования показателей национальных счетов. К ним относятся критерии "обратимости во времени" и "обратимости факторов". Критерий обратимости во времени требует, чтобы индекс для периода по сравнению с периодом 0 был обратной величиной индекса для периода 0 по сравнению к t. Критерий обратимости факторов требует, чтобы произведение индекса цен и индекса объема было равно индексу стоимости. Из обсуждения в предыдущем разделе следует, что индексы Ласпейреса и Пааше не удовлетворяют ни одному из указанных критериев. Однако, как следует из определения индекса Фишера в формуле (8), индекс Фишера действительно удовлетворяет этим критериям.

15.32 Таким образом, индекс Фишера обладает многими привлекательными характеристиками, которые обеспечили его широкое применение в общей экономической статистике. Действительно, Фишер описывал свой индекс как "идеальный". Однако индекс Фишера требует использования данных как базисного, так и текущего периода в качестве весов, что может негативно повлиять на своевременность подготовки индекса, и при этом его не так легко интерпретировать в отличие от индексов Пааше или Ласпейреса.

15.33 В руководствах по исчислению ИПЦ и ИЦП в главах 15, 16 и 17 содержится описание большого числа подходов к выбору формул индексов. Также в главу 16 включено описание стохастического подхода, который отдает предпочтение индексу Торнквиста. Из обзора большого числа работ по этой теме следует, что все три подхода рассматривают индекс Фишера как наилучший, что гиперболические индексы, такие как индексы Фишера и Торнквиста, дают весьма близкие результаты и могут быть обоснованы с точки зрения экономической теории индексов и что различие между гиперболическими индексами и индексами Ласпейреса или Пааше происходит вследствие систематической ошибки, возникающей в связи с отсутствием учета фактора замещения в индексах Ласпейреса и Пааше.

Индексы на практике

15.34 В индексе цен Ласпейреса в уравнении (1) используется один и тот же базисный период 0 для цен и весов. На практике, особенно для ИПЦ, где существенным является требование своевременности, базисный период цен 0 отличается от более раннего периода определения весов, допустим - b, так как требуется время на то, чтобы обработать результаты обследований домашних хозяйств, заведений и прочих источников данных для получения весов, используемых в индексе. Индекс Ласпейреса, определенный в уравнении (1), может иметь своим весом Chapter 15_html_342ced10706518cf.jpg вместо Chapter 15_html_3c3f1b784ace5c0a.jpg . Этот индекс называется индексом Янга, и он, как и индекс Ласпейреса, имеет нежелательное свойство, состоящее в том, что он не удовлетворяет критерию обратимости во времени.

15.35 Статистические учреждения часто пытаются преодолеть это, используя стоимостные доли отдельных элементов в качестве весов для определения изменения цен между b и 0, что соответствует формуле индекса Лоу, имеющей следующий вид:

Chapter 15_html_17c6fcd8663823ea.jpg

3.        Цепные индексы

Изменение базисного периода и сцепление (увязка) индексов

15.36 Как отмечалось в предыдущем разделе, на протяжении некоторого периода времени структура относительных цен в базисном периоде становится во все возрастающей степени не характерной для экономики более поздних периодов, вплоть до момента, когда становится неприемлемым продолжать использовать ее для измерения динамики объема в дальнейших периодах. В этом случае необходимо обновить веса. В случае с длинными динамическими рядами в равной мере неприемлемо применять веса текущего периода к периодам, находящимся в давнем прошлом, как и использовать веса из давнего прошлого для текущего периода. Поэтому необходимо произвести увязку (сцепление) старых рядов с новыми рядами (с измененными весами) посредством использования некоторого множителя (коэффициента увязки). Это простая числовая операция, требующая оценки для одних и тех же периодов рядов индексов, которые исчислены с использованием как старых, так и новых весов.

15.37 Увязка индексов может быть произведена несколькими способами. Текущий индекс с новыми весами может быть умножен на коэффициент перехода от старого индекса к новому индексу, чтобы преобразовать новый индекс в индекс со старым базисным периодом. С другой стороны, у индекса мог измениться его базисный период после введения новых весов, и старый индекс должен быть пересмотрен с помощью деления на коэффициент увязки. Процесс увязки старого ряда и нового ряда с помощью применения коэффициента увязки, полученного для одного и того же периода, называется сцеплением.

15.38 Независимо от того, произведено ли сцепление для того, чтобы сохранить более ранний базисный период в новом динамическом ряду или чтобы изменить базисный период старого ряда в новом ряду, вычисления должны быть произведены отдельно на каждом уровне агрегирования. Каждый компонент и каждый агрегат должны быть сцеплены отдельно для преодоления неаддитивности.

Сцепление периодов

15.39 Чем чаще обновляются веса, тем более репрезентативными будут получаемые ряды индексов цен или объемов. Годовые цепные индексы получаются с помощью исчисления годовых индексов для двух смежных лет с обновленными весами для каждого года. Эти звенья объединяются в динамические ряды последовательным перемножением. Чтобы понять свойства и поведение цепных индексов в целом, необходимо вначале установить, как цепные индексы Ласпейреса и Пааше ведут себя по сравнению с индексами с фиксированной базой.

Цепные индексы Ласпейреса и Пааше

15.40 Цепной индекс объема Ласпейреса, LQ, связывающий периоды 0 и t, имеет следующую формулу:

Chapter 15_html_af62cefe942a091c.jpg

Соответствующий цепной индекс объема Пааше, PQ, имеет следующую формулу:

Chapter 15_html_bdc814b45148e493.jpg

Индексы цен Ласпейреса и Пааше получаются заменой символов p на q и обратно в формулах индексов объема.

15.41 В принципе, если индексы с фиксированной базой заменять цепными индексами, то расхождение между индексами Ласпейреса и Пааше, вероятно, существенно сократится. Таким образом, цепные индексы имеют преимущество по сравнению с индексами с фиксированной базой. Однако соотношения между индексом с фиксированной базой и соответствующим цепным индексом не всегда одни и те же, поскольку это зависит от характера изменения отдельных цен и количеств во времени.

15.42 Если цены и количества увеличиваются или уменьшаются устойчиво (равномерно) в течение периода времени, можно показать, что сцепление значительно сократит расхождение между значениями индексов Ласпейреса и Пааше или, возможно, почти устранит его. Главы 9 и 19 руководств по исчислению ИПЦ и ИЦП содержат иллюстративные примеры этого, а в главе 15 объясняется теория, лежащая в основе этих выводов.

15.43 С другой стороны, если цены и количества будут меняться так, что изменения относительных цен и количеств, происходящие в более ранних периодах, будут меняться на противоположные в более поздних периодах, то сцепление даст худший результат по сравнению с прямым индексом.

15.44 В целом более благоприятные ситуации в отношении использования цепных индексов Ласпейреса и Пааше с течением времени представляются более вероятными, чем неблагоприятные. Основные экономические факторы, которые определяют наблюдаемые долгосрочные изменения в относительных ценах и количествах, такие как технологический прогресс и увеличивающиеся доходы, редко меняются в противоположную сторону. Следовательно, в общем случае рекомендуется, чтобы годовые индексы были цепными. Цены и объемы месячных и квартальных данных обычно меняются в большей мере, чем соответствующие годовые данные вследствие сезонности и краткосрочных колебаний. Поэтому преимущества сцепления месячных и квартальных индексов относительно меньше, и сцепление не должно применяться в отношении данных, которые не скорректированы для устранения сезонных колебаний.

Сцепление квартальных индексов типа Ласпейреса с годовыми весами

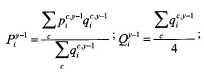
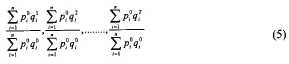
15.45 Квартальные цепные индексы исчисляются чаще с использованием годовых весов, а не квартальных весов. Рассмотрим квартальный индекс объема типа Ласпейреса, который определяет изменение объема квартала с в году y по сравнению со средним квартальным объемом в году y-1.

Chapter 15_html_bf653122976714ea.jpg

Заглавные буквы P и Q обозначают средние квартальные величины за год, в то время как p и q обозначают конкретные квартальные величины. Верхние надстрочные индексы обозначают год (y) и квартал (c). Chapter 15_html_2a38ac2f415fdbbe.jpg обозначает среднюю цену продукта i в году y-1, Chapter 15_html_195b170123d883cc.jpg обозначает цену продукта i в квартале c года y-1, а Chapter 15_html_a98fa8ca7228946e.jpg - доля стоимости в базисном периоде, то есть доля продукта i в общей стоимости в году y-1.

Таким образом:

Chapter 15_html_3d30ad6cec9dd01a.jpg и

Chapter 15_html_ac2e6f1ba96b8f3c.jpg

15.46 Квартальные индексы объема типа Ласпейреса могут быть затем сцеплены и увязаны с годовыми цепными индексами. Обычно применяется один из двух альтернативных методов годовых сцеплений квартальных данных: годовые совмещения и квартальные совмещения. В дополнение к этим двум традиционным методам сцепления иногда используется третий метод, основанный на изменениях относительно того же периода предыдущего года (метод «аналогичных периодов в году»). Тогда как во многих случаях все три метода дают близкие результаты, в ситуациях со значительными изменениями в относительных количествах и относительных ценах, метод «аналогичных периодов в году» может привести к искажению сезонных колебаний в сцепленном ряду. Хотя традиционная статистика цен, в основном, использует метод совмещения за один квартал, метод совмещения за год может быть более практичным для измерения объема с помощью индекса типа Ласпейреса в национальных счетах, потому что в результате получаются данные, которые в точности совпадают с соответствующим прямым годовым индексом. В противоположность этому метод совмещения за квартал и метод «аналогичных периодов в году» не позволяют получить данные, которые в точности соответствовали бы прямому годовому индексу. Совмещение за один квартал обеспечивает наиболее плавный переход между каждым звеном в сцеплении в отличие от метода совмещения за год, который часто вводит дополнительный шаг между каждой увязкой, то есть между четвертым кварталом одного года и первым кварталом следующего года.

15.47 Метод совмещения за год предполагает получение оценок для каждого квартала в средних взвешенных ценах предыдущего года с последующим сцеплением, используя соответствующие годовые данные, чтобы рассчитать коэффициенты увязки для соответствующего скалирования квартальных данных вверх или вниз. Метод совмещения за один квартал требует исчисления оценок для одного и того же квартала в средних взвешенных ценах текущего года в дополнение к оценкам в средних ценах предыдущего года. Соотношение между оценками для связующего квартала в средних ценах текущего года и в средних ценах предыдущего года представляет собой коэффициент увязки, позволяющий скалировать квартальные данные вверх или вниз. Метод «аналогичных периодов в году» требует исчисления оценок для каждого квартала в средних взвешенных ценах текущего года в дополнение к оценкам в средних ценах предыдущего года. Изменения от года к году в этих рядах индексов объема используются затем, чтобы экстраполировать квартальный ряд индексов объема выбранного базисного периода.

15.48 Расхождения между годовыми цепными индексами объема и агрегированными за четыре квартала ежегодно сцепленными квартальными рядами индексов объема, полученных с использованием метода совмещения за один квартал, на протяжении некоторого периода времени могут накапливаться. Поэтому квартальные ряды цепных индексов объема, полученные таким образом, обычно пересчитывают к базе соответствующих годовых индексов объема, используя процедуру, которая минимизирует искажения в квартальных рядах индексов объема, обеспечивая в то же время согласованность с рядами годовых цепных индексов объема. Обсуждение этой темы содержится в главе VI «Руководства по квартальным национальным счетам».

15.49 Если ряды годовых индексов объема получены на основе сбалансированных данных из таблиц ресурсов и использования, оцененных в ценах предыдущего года, как рекомендуется в разделе C, то стандартной практикой является приведение квартальных данных к базе соответствующих сбалансированных оценок годовых индексов. Приведение к общей базе сравнения устраняет все расхождения между квартальными и годовыми рядами цепных индексов объема, включая те, которые являются результатом использования метода совмещения за один квартал.

15.50 Чтобы завершить обсуждение этой темы, следует отметить, что сцепление с использованием метода совмещения за один квартал вместе с приведением индексов к общей базе, осуществляемым, чтобы устранить любые возникающие расхождения между квартальными и годовыми индексами, дает наилучший результат. При многих обстоятельствах, однако, метод совмещения за год может дать аналогичные результаты. Метод «аналогичных периодов в году» не рекомендуется применять.

Цепные индексы Ласпейреса или цепные гиперболические индексы?

15.51 Как объяснялось ранее, величина расхождения между индексами Ласпейреса и Пааше может быть значительно сокращена с помощью метода сцепления индексов, если цены и количества меняются плавно на протяжении периода времени. При таких обстоятельствах выбор формулы индекса не так важен, поскольку все подходящие индексы дают результаты, которые находятся в пределах границ индексов Ласпейреса и Пааше. Однако, если использовать для сцепления такие симметричные индексы, как индекс Фишера или индекс Торнквиста, то это может обеспечить некоторые преимущества по сравнению с индексами Ласпейреса и Пааше.

15.52 Такие симметричные индексы, как индекс Фишера и индекс Торнквиста, вероятно, более близко аппроксимируют теоретические индексы, основанные на функции полезности или производственной функции, хотя их сцепление, возможно, уменьшает в некоторой степени их преимущества по сравнению с цепными индексами Ласпейреса или Пааше. Симметричные цепные индексы Фишера и Торнквиста будут более адекватно отражать динамику в случае неустойчивых изменений цен и объемов. Однако цепные индексы Ласпейреса не требуют данных текущего периода для определения весов и, таким образом, могут обеспечить оценки в более ранние сроки. Ретроспективный анализ различий в оценках данных национальных счетов, полученных на основе использования цепных индексов Ласпейреса по сравнению с цепными индексами Фишера и Торнквиста, может помочь в определении преимуществ последних.

Ежегодно сцепленные квартальные индексы Фишера

15.53 Поскольку можно получить ежегодно сцепленные квартальные индексы типа индекса Ласпейреса, постольку можно получить ежегодно сцепленные квартальные индексы Фишера. Для каждой пары последовательных лет квартальные индексы типа Ласпейреса и типа Пааше исчисляются для двух последних кварталов первого года, года y-1, и первых двух кварталов второго года, года y. Квартальные индексы типа Пааше исчисляются как обратные ретроспективные квартальные индексы типа Ласпейреса и затем инвертируются. Это делается для того, чтобы квартальные индексы Фишера были получены симметрично. В обращенных вперед индексах типа Ласпейреса ежегодные доли стоимости относятся к первому году из этих двух лет, тогда как в ретроспективных индексах типа Ласпейреса ежегодные доли стоимости относятся ко второму году из этих двух лет.

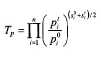
Chapter 15_html_7406abcb9423a1c.jpg

Chapter 15_html_d74c980a481c3402.jpg

Chapter 15_html_58c59565406df965.jpg

где Chapter 15_html_dd1491ab50a43335.jpg - это количество продукта i в квартале c в последних двух кварталах года y-1 или в первых двух кварталах года y.

15.54 Для каждого из четырех кварталов индекс Фишера получается как геометрическое среднее соответствующих индексов типа Ласпейреса и типа Пааше. Индексы для последовательных четырех кварталов могут быть сцеплены, используя метод совмещения за один квартал. Получающиеся ежегодные цепные квартальные индексы типа Фишера должны быть приведены к базе годовых цепных индексов Фишера, чтобы обеспечить согласованность с годовыми оценками индексов.

15.55 Проблема возникает в конце рядов, потому что невозможно построить квартальные индексы типа Пааше, которые используют годовые веса для текущего года, по крайней мере, используя фактические данные. Одно из решений проблемы состоит в том, чтобы построить "истинный" квартальный цепной индекс Фишера для самого последнего года или последних двух лет и использовать их для экстраполяции годовых цепных индексов типа Фишера. Но это следует делать, только используя скорректированные на фактор сезонности данные. Пока волатильность изменений относительных значений квартальных цен и объемов не очень велика, можно ожидать, что квартальные цепные индексы Фишера, скорректированные на фактор сезонности, дадут в большинстве случаев удовлетворительные результаты.

Сцепление и охват данных

15.56 Одна из важных практических проблем исчисления индексов состоит в том, что продукты непрерывно исчезают с рынков и заменяются новыми продуктами, появляющимися в результате технического прогресса, новых открытий, изменений во вкусах и модах. Индексы цен и объема за некоторый период времени исчисляются путем сравнения цен или количеств товаров с теми же самыми характеристиками или тем же самым уровнем качества, то есть для аналогичных товаров. Это нелегко сделать в отношении таких продуктов, как персональные компьютеры, качественные характеристики которых быстро меняются.

15.57 Сцепление индексов облегчает решение проблемы сравнения цен продуктов с различными характеристиками качества, так как вероятность существования продукта в двух последовательных периодах весьма велика, а цепные индексы позволяют отразить изменения в весах, которые связаны с появлением новых продуктов и исчезновением старых продуктов.

Аддитивность и сцепление

15.58 Агрегат определяется как сумма его компонентов. Обеспечение аддитивности в контексте национальных счетов требует, чтобы это требование было обеспечено для рядов показателей в постоянных ценах. Хотя с точки зрения национальных счетов обеспечение аддитивности желательно, однако аддитивность является очень ограничивающим свойством. Индексы объема Ласпейреса являются единственными рассматриваемыми здесь формулами, которые обеспечивают аддитивность.

15.59 Однако одного нового звена в цепном индексе достаточно, чтобы разрушить аддитивность, даже если осуществляется сцепление индексов Ласпейреса, использование которых вне цепных индексов обеспечивает аддитивность. Следовательно, если цепные индексы использованы для получения динамических рядов показателей объемов в постоянных ценах базисного периода на основе экстраполяции показателей базисного периода, индексы для компонентов могут не обеспечить аддитивность агрегата в более поздних периодах. Экстремальная форма неаддитивности может возникнуть, когда цепной индекс для агрегата в целом не согласован с цепными индексами для всех его компонентов - результат, который может быть интуитивно воспринят как неприемлемый многими потребителями данных. Независимо от того, публикуются ли данные в форме стоимостных показателей или в форме индексов, желательно информировать потребителей данных с помощью сноски или других метаданных о том, что цепные ряды показателей объема не являются аддитивными.

15.60 Существует общая тенденция в отношении расхождений, возникающих в связи использованием цепных индексов, которая состоит в том, что они становятся тем значительней, чем дальше период времени от года, по сравнению с которым производится сравнение. Если год, с которым производится сравнение, выбран так, что он находится вблизи конца динамического ряда, то расхождения будут относительно небольшими для последних кварталов. Действительно, если используется формула цепного индекса Ласпейреса и если год, с которым производится сравнение, выбран так, чтобы совпасть с последним базисным годом, тогда данные для кварталов, следующих за годом, с которым производятся сравнения, являются аддитивными. Другим преимуществом выбора года, с которым производится сравнение, вблизи конца цепного ряда показателей объема состоит в том, что, когда они представлены в стоимостном выражении, их величины существенно не отличаются от текущих стоимостей для последних периодов, если изменение цен происходит в умеренной степени. Сохранение такой ситуации требует ежегодного изменения года, с которым производится сравнение, когда новое звено добавляется в цепной индекс, и это влечет за собой пересмотр цепного ряда объема на всю его длину. Отметим, что такая процедура влечет за собой пересмотр уровней, но не темпов роста.

15.61 Хотя аддитивность можно обеспечить, если вообще не осуществлять изменения весов, но это преимущество значительно нивелируется тем, что несоответствие используемых весов экономическим процессам увеличивается. Степень изменения для субпериодов рядов, включая ряды годовых показателей, может быть выявлена на основе анализа влияния индексов изменения компонентов на изменение индекса агрегата в целом, как будет объяснено ниже.

Переменные, которые изменяют знак

15.62 Формулы индексов, в принципе, не применимы к динамическим рядам, которые могут принимать как положительные, так и отрицательные или нулевые значения. Тем не менее, для таких случаев существуют методы получения псевдоцепных показателей объема в стоимостном выражении. Наиболее часто используемый подход для достижения этого состоит в том, чтобы найти два связанных динамических ряда показателей, которые принимают только положительные значения, и взаимосвязь между которыми позволяет путем вычитания показателей одного ряда из другого получить желаемый ряд показателей. В качестве примера можно сослаться на показатели запаса материальных оборотных средств на начало и конец периода в отличие от показателей изменения запасов за период. Цепные ряды показателей объема не являются аддитивными и, таким образом, очевидно, что это неадекватный метод, поскольку при таком подходе создаются неаддитивные соотношения. Из этого следует, что ряды показателей, которые используются для получения нового показателя путем сальдирования, должны быть возможно близки с точки зрения структуры цен и объема с рядом, который необходимо получить. Следовательно, цепной ряд изменений объема запасов материальных оборотных средств можно получать как разницу между цепным рядом показателей объема запасов на конец периода и цепным рядом показателей объема запасов на начало периода. Иногда валовое накопление основного капитала в государственном секторе может иметь отрицательную величину в результате продажи активов частному сектору, в таком случае ряды цепных показателей объема могут быть получены как разница между цепными рядами показателей объема приобретений и продаж.

Изменение индексов динамики агрегатов в целом вследствие изменения индексов динамики их компонентов

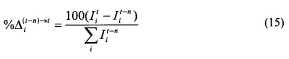
15.63 Когда используется формула Ласпейреса, и базисный год совпадает с годом, с которым производится сравнение, то получающиеся показатели объемов являются аддитивными в последующих периодах, и влияние компонента Ii на индекс агрегата, такого как ВВП, между двумя периодами (t-n), и t может быть легко определено следующим образом:

Chapter 15_html_fe74bb5ad8bbd141.jpg

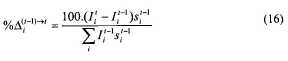
Когда цепные ряды показателей объема получены путем применения либо формулы Ласпейреса для исчисления годовых индексов, либо ежегодного сцепления квартальных индексов типа Ласпейреса, тогда влияние изменения индексов для отдельных компонентов на индексы изменения агрегата в целом от года к году или от квартала к кварталу может быть легко определено, используя данные до сцепления в ценах предыдущего года. Такие данные являются аддитивными и, таким образом, уравнение (15) может использоваться при n=1. Если данные о влиянии индексов динамики отдельных компонентов на индекс изменения агрегата не публикуются национальным статистическим учреждением, потребитель данных может оценить их. Допустим, что использовался метод с совмещением за один квартал, тогда формула для того, чтобы определить влияние изменений индексов отдельных компонентов на изменение индекса агрегата от периода t-1 к периоду в процентах, имеет следующий вид:

Chapter 15_html_3d7d27f96c641ecc.jpg

где s - доли продуктов в агрегате, как в уравнении (12).

4. Причины различий в ценах

Различия в ценах вследствие различий в качестве товаров и услуг

15.64 В целом, большинство типов товаров и услуг, независимо от того, являются ли они простыми продовольственными продуктами, такими как картофель, или высокотехнологичными продуктами, такими как компьютеры, продаются на рынке во многих различных модификациях, физические характеристики которых значительно отличаются друг от друга. Например, картофель может быть из старого и нового урожая, красным или белым, помытым или непомытым, россыпью или в расфасовке, сортированным или несортированным. Потребители оценивают эти различия и готовы платить различные цены. В отношении некоторых товаров и услуг, таких как персональные компьютеры и услуги телекоммуникаций, происходят постоянные изменения в структуре продаж, и это, как рассматривается ниже, создает серьезные проблемы для определения изменений цен.

15.65 Одно и то же самое общее наименование, такое как картофель, компьютер или перевозка пассажира, используется, чтобы описать товары и услуги, которые отличаются друг от друга по своим характеристикам, определяющим их цену. Цена или количество товара или услуги одного качества не могут непосредственно сравниваться с ценой или количеством товара или услуги другого качества. Различные качества должны быть отражены точно тем же самым способом, как различные виды товаров или услуг.

15.66 Различия в качестве могут определяться различиями в физических характеристиках товаров или услуг и легко идентифицироваться, но не все различия в качестве такого рода. Товары или услуги, продаваемые в различных местах или в разное время, такие как сезонные фрукты и овощи, должны отражаться как товары и услуги различного качества, даже если они в остальных отношениях физически идентичны. Условия продажи, обстоятельства или окружающая среда, в которых товары или услуги реализуются, могут существенно определять различия в качестве. Например, товар длительного пользования, проданный с гарантией или бесплатным послепродажным обслуживанием, является товаром более высокого качества, чем тот же самый товар, проданный без гарантии или без обслуживания. Те же самые товары или услуги, проданные различными розничными предприятиями, такими как местные магазины, специализированные магазины, универмаги или супермаркеты, должны рассматриваться как товары и услуги различного качества.

15.67 В общем случае, в экономическом анализе предполагается, что всякий раз, когда в отношении двух товаров и услуг, которые внешне представляются физически идентичными, существует различие в цене, должен иметься некоторый другой фактор, такой как местоположение, время или условия продажи, который определяет различие в качестве. В противном случае можно было бы утверждать, что это различие в ценах не могло бы сохраниться, поскольку рациональные покупатели всегда приобретали бы продукты по относительно низкой цене, а продажи тех же товаров и услуг по более высоким ценам были бы невозможны.

15.68 Когда существуют различия в ценах на товары или услуги того же качества, соотношения цен, используемые для исчисления индекса цен, должны быть определены как соотношения средневзвешенных цен данного товара или услуги в двух периодах, а весами должны служить относительные количества, проданные по каждой цене. Предположим, например, что некоторое количество конкретного товара или услуги продано некоторой категории покупателей по более низкой цене, и не существуют какие-либо различия в характере предлагаемого товара или услуги, месте, времени, условиях продажи или других факторах. Последующее уменьшение доли товаров, проданных по более низкой цене, увеличивает среднюю цену, уплаченную покупателями за количества товаров или услуг, качество которых предполагается одинаковым и неизменным. Это также приведет к увеличению средней цены, полученной продавцом, без какого-либо изменения качества продуктов. Это изменение должно быть отражено как увеличение цены, а не как увеличение объема.

Различия в ценах без различий в качестве товаров и услуг

15.69 Тем не менее, следует задаться вопросом, предполагает ли всегда существование различий в ценах соответствующие различия в качестве. Известны веские предположения, лежащие в основе стандартного аргумента, которые редко формулируются в явной форме и часто не соблюдаются на практике, о том, например, что покупатели хорошо проинформированы и что они свободны в выборе между товарами и услугами, предлагаемыми по различным ценам.

15.70 Во-первых, покупатели могут не быть информированы о существующих различиях в ценах и могут поэтому по незнанию покупать товары и услуги по более высоким ценам. Если предположить, что они будут заняты поиском низких цен, данный процесс предполагает некоторые издержки. Учитывая неопределенность и отсутствие информации, потенциальные издержки, которые могут потребоваться в связи с поиском торговых точек (в которых только возможно, что те же самые товары и услуги могут продаваться дешевле), могут оказаться выше потенциальной экономии, так что рациональный покупатель может принять риск, связанный с тем, что он или она, возможно, не приобретают товары по минимальным ценам. Ситуации, когда отдельные покупатели или продавцы торгуются о ценах, предоставляют новые примеры того, когда покупатели могут ненамеренно покупать товары по более высоким ценам, чем можно найти в другом месте. С другой стороны, различие между ценой товара, приобретенного на рынке или базаре, где отдельные покупатели торгуются, и ценой того же самого товара, проданного в ином типе предприятия розничной торговли, таком как универмаг, должно рассматриваться как отражающее различие в качестве, определяемое различными условиями, в которых проданы товары.

Дискриминация цен

15.71 Во-вторых, покупатели, возможно, не свободны выбрать цену, по которой они покупают, потому что продавец может иметь возможность продавать идентичные товары и услуги различным категориям покупателей по различным ценам при точно тех же обстоятельствах, другими словами, заниматься ценовой дискриминацией. Экономическая теория говорит о том, что у продавцов есть стимулы заниматься ценовой дискриминацией, поскольку это позволяет им увеличивать свою выручку и прибыль. Однако дискриминировать сложно, когда покупатели могут перепродавать товары, то есть когда покупатели, приобретшие товары по низким ценам, могут перепродавать их другим лицам по более высоким ценам. Тогда как большинство товаров могут быть перепроданы, обычно невозможно перепродавать услуги, и по этой причине в большинстве стран ценовая дискриминация осуществляется в заметных масштабах в таких отраслях, как транспорт, финансы, деловые услуги, здравоохранение, образование и т.п. Товары и услуги по относительно низким ценам обычно продаются покупателям с низкими доходами, таким как пенсионеры или студенты. Когда органы государственного управления осуществляют или поощряют ценовую дискриминацию, это обычно обосновывается соображениями повышения благосостояния, но у рыночных производителей также есть стимулы осуществлять дискриминацию цен для домашних хозяйств с низкими доходами, поскольку это может позволить им увеличить прибыли. Таким образом, когда различные цены оплачиваются различными потребителями, наиболее важным вопросом является выяснение, существуют ли фактически какие-либо различия в качестве товаров и услуг, связанные с относительно низкими ценами. Например, если пожилые граждане, студенты или школьники платят более низкую плату за проезд в самолетах, поездах или автобусах в любое желаемое для них время, это должно рассматриваться как ценовая дискриминация. Однако, если они оплачивают более низкие цены за проезд при условии, что они пользуются транспортом только в определенное время наименьшей загруженности, то им предлагают услугу более низкого качества.

Существование параллельных рынков

15.72 В-третьих, покупатели при определенных обстоятельствах не могут приобрести желаемое количество товара по относительно низкой цене, потому что предложенное количество товара по данной цене может оказаться ограниченным. Эта ситуация типична для тех случаев, когда существуют два параллельных рынка. Может существовать первичный, или официальный, рынок, на котором продаваемые количества продуктов и цены, по которым они продаются, подлежат контролю со стороны органов государственного управления, в то время как может существовать вторичный рынок: либо свободный рынок, либо неофициальный рынок, существование которого может быть признано официально или не признано. Если количества, имеющиеся для продажи по цене, установленной на официальном рынке, ограничены, может возникнуть избыточный спрос, что приведет к нормированию продаж или некоторой форме организации очереди. В результате цена на вторичном или неофициальном рынке, возможно, повысится. Также возможно, но менее вероятно, что на вторичном или неофициальном рынке товары будут продаваться по более низким ценам, потому что на таком рынке можно уклоняться от уплаты налогов на продукты.

15.73 По трем причинам, упомянутым выше - отсутствие информации, дискриминация цен или существование параллельных рынков - идентичные товары или услуги могут иногда продаваться различным покупателям по различным ценам. Таким образом, существование различных цен не всегда отражает соответствующие различия в качестве проданных товаров или услуг.

15.74 Когда существуют различия в ценах на товар или услугу того же качества, соотношения цен, используемые для исчисления индекса цен, должны быть определены как соотношения средневзвешенных цен данного товара или услуги в двух периодах, а весами должны служить относительные количества, проданные по каждой цене. Предположим, например, что определенное количество некоторого товара или услуги продано некоторой категории покупателей и при этом нет каких-либо различий в характере предлагаемого товара или услуги, месте, времени, условиях продажи или других факторах. Последующее уменьшение доли товаров, проданных по более низкой цене, увеличивает среднюю цену, уплаченную покупателями за количество товара или услуги, качество которых предполагается одинаковым и неизменным. Это также приведет к увеличению средней цены, полученной продавцом, без какого-либо изменения качества. Это изменение должно быть отражено как увеличение цены, а не увеличение объема.

15.75 Иногда может оказаться сложным отличить истинную ценовую дискриминацию от ситуаций, когда различные цены отражают различия в качестве. Тем не менее, могут возникнуть ситуации, в которых крупные производители (особенно крупные производители услуг в таких областях, как транспорт, образование или здравоохранение) могут проводить это различие и предоставить необходимую информацию. Если возникает сомнение относительно того, представляют ли различия в ценах ценовую дискриминацию, представляется предпочтительным предположить, что они отражают различия в качестве, поскольку это обычно предполагалось в прошлом.

5. Измерение изменений качества во времени

15.76 Товары и услуги, а также условия, в которых они реализуются, непрерывно меняются во времени, при этом некоторые товары или услуги уходят с рынка, а новые товары или услуги заменяют их. Разработчики национальных счетов используют дезагрегированные индексы цен, чтобы дефлятировать изменения стоимости потребления, производства и инвестиций в качестве основного метода определения изменений объема этих агрегатов. Недостатки индексов цен влияют на оценки индексов объема. Например, индексы цен на компьютеры, которые не полностью отражают улучшение их качества во времени, завысят показатели изменения цен и занизят показатели изменения объема. Разработчикам национальным счетов следует быть информированными о методах, используемых разработчиками индексов цен, чтобы принимать во внимание изменения качества товаров и услуг, если они хотят использовать индексы цен должным образом в качестве дефляторов. Это, в свою очередь, требует, чтобы разработчики индексов цен предоставляли пояснения к публикуемым данным об используемых методах; такая практика рекомендуется в главе 8 в каждом из руководств по ИЦП и ИПЦ.

15.77 Существуют, разумеется, издержки, связанные с осуществлением процедур корректировки цен на различия в качестве, адаптированных к конкретным группам продуктов. Разработчикам национальных счетов и разработчикам индексов цен важно иметь в виду, что изменение качества продуктов является все возрастающей особенностью товарных рынков. Неадекватные процедуры отражения изменений качества, особенно такие, как трактовка всех замен товаров и услуг как сопоставимых или исключение из выборки отсутствующих элементов, в неявной форме включают в расчеты индексов оценку различий в качестве. Такие оценки, вероятно, будут неадекватными, и поэтому необходимы их улучшения.

15.78 Неадекватная процедура, которую нередко применяют в случае отсутствия данных, заключается в применении цены продукта из предыдущего периода в текущем периоде. Это может иметь свом следствием существенную систематическую погрешность в индексе, и поэтому такая процедура настоятельно не рекомендуется.

15.79 Ниже приведен обзор некоторых наиболее часто используемых методов. Более широкое обсуждение можно найти во всех трех руководствах по исчислению ИПЦ, ИЦП и ИЭИЦ. Методы могут быть подразделены на прямые, или осуществляемые в явной форме, и косвенные, или осуществляемые в неявной форме.

Прямые методы

15.80 Соотношения цен, которые используются для исчисления индексов динамики цен, в принципе, должны измерять чистые изменения цен путем сопоставления цен репрезентативной выборки идентичных товаров и услуг в различные периоды времени. Этот подход называется методом сравнимых моделей. Разработчики индексов цен обеспечивают детальные описания продуктов, подлежащих оценке в последующих периодах, чтобы обеспечить необходимую сопоставимость. Когда модель отсутствует, потому что она устарела, возникает проблема корректировки качества. Существует несколько методов, которые могут использоваться, чтобы принять во внимание изменение качества, чтобы продолжить динамический ряд.

15.81 Одной из возможностей является использование оценок относительных затрат на производство продукции в качестве основы для оценки их относительных цен и, следовательно, их относительных уровней качества. Часто может оказаться возможным для производителей предоставить такие оценки. Если, однако, новая характеристика товара существовала в качестве возможного опциона для покупателей в предыдущем периоде, но теперь она является стандартной характеристикой, стоимостная оценка изменения качества может основываться на (относительной) цене этого опциона.

15.82 Расширение подхода на основе использования затрат на производство продукции известно как модельное ценообразование. Его часто применяют в отношении продуктов, произведенных на заказ. Особым случаем здесь является стоимость строительных работ. Характеристики зданий и других сооружений настолько различны, что может оказаться почти невозможным найти идентичные здания и сооружения, которые производились бы в последовательных периодах времени. При этих обстоятельствах может быть определено небольшое количество гипотетических и сравнительно простых стандартных зданий и строений, а их цены определены в каждом из периодов. Спецификации этих стандартных зданий или сооружений составляются с помощью консультаций и предложений специалистов в области строительства, которых просят оценить, какими были бы их цены в каждом из периодов. Модельное ценообразование для услуг описано в «Методологическом руководстве для разработки индексов цен производителей для услуг» (Methodological Guide for Developing Producer Price Indices for Services) (Евростат и Организация экономического сотрудничества и развития, 2005).

Гедонические индексы

15.83 Более общим и эффективным методом решения проблем, связанных с изменениями качества, является использование оценочных значений цен, получаемых из гедонических регрессионных уравнений. Гедонические регрессионные уравнения связывают наблюдаемые рыночные цены различных моделей с определенными ценообразующими характеристиками моделей. Если одновременно продается достаточно большое число различных моделей, могут использоваться оценки регрессионного уравнения, чтобы определить, насколько влияет на дифференциацию цен каждая характеристика модели, или чтобы определить цены на модели с различной комбинацией характеристик, которые не продаются в данном периоде.

15.84 Гедонические регрессионные уравнения уже составлялись на практике для таких высокотехнологичных товаров, как компьютеры и электронные товары, и для таких услуг, как авиаперевозки. Этот метод также использовался в отношении жилищных услуг с помощью определения регрессионной зависимости цен на жилые дома от таких характеристик, как общая площадь, число комнат или местоположение. Этот метод использовался не только для динамических измерений цен, но и для международных сопоставлений.

Косвенные методы

15.85 Когда два товара различного качества не продавались на рынке в одно и то же время, возникает необходимость использования косвенных методов количественной оценки изменения нового качества по сравнению со старым. В таких случаях необходимо оценить, какие были бы относительные цены старой и новой модели, если бы они продавались на рынке в одно и то же время, и использовать оценки относительных цен для определения показателей различия в качестве продукта.

15.86 Если некоторая модель товара отсутствует на рынке, может быть найдена замена в виде товара сопоставимого качества, и с учетом этого могут быть продолжены сопоставления цен. Если нет сопоставимой замены, цена может быть исчислена условно путем использования показателей изменений цен для группы продуктов, для которой, как ожидают, характерно схожее изменение цен. Исключение продукта из исчислений индексов равнозначно использованию условной оценки, которая предполагает, что изменение цены отсутствующей модели аналогично изменению цен всех товаров и услуг, охваченных индексом. Предположения в основе таких условных оценок будут менее обоснованными, чем в случае более целенаправленных условных оценок. В любом случае товары, качество которых изменяется, как правило, являются нетипичными и нерепрезентативными, так что предположение о том, что изменения их цен происходят тем же темпом, что и цен товаров или услуг, характеристики которых не изменяются, является сомнительным.

15.87 Если заменяющая модель продукта не сопоставима по качеству, тогда изменение цены новой модели может быть легко увязано с рядами индексов цен старой модели, если эти две модели продаются на рынке одновременно в некотором совпадающем периоде. В неявной форме предполагается, что различие в ценах моделей товаров, которые продавались в одном и том же периоде, обеспечивает хорошую оценку различия в качестве; данное предположение не будет адекватным, если период совмещения является необычным для жизненного цикла модели, например, когда товар может вскоре стать устаревшим и его выпуск прекратится, или когда он был только что выставлен на продажу по необычно высокой цене, чтобы получить прибыль от временной монополии на сегментированном рынке.

Рынки с быстро меняющейся структурой продаж товаров различного качества

15.88 Особого внимания заслуживает рассмотрение проблем корректировки изменений цен на изменения в качестве на товарных рынках с быстро меняющейся структурой продаж в условиях значительного разнообразия товаров. Метод сравнимых моделей перестает работать в этих условиях. Модели сходного качества могут сопоставляться только за относительно короткие периоды и не являются репрезентативными для рынка в целом. Суммирование в формулах индексов, таких как индекс цен Ласпейреса в уравнении (1), может ввести в заблуждение, поскольку в период времени t n произведенных или потребляемых товаров могут значительно отличаться от товаров на рынке в период времени 0.

15.89 Разработчики индекса цен используют упрощенную формулу, чтобы облегчить решение проблем, связанных с сопоставлением цен товаров, когда происходят быстрые изменения в структуре продаж разнообразных товаров и услуг. Например, индекс цен Ласпейреса для сравнения цен в периодах 0 и t исчисляется по следующей формуле:

Chapter 15_html_758f56aae1d86b63.jpg

15.90 Если в периоде времени t-1 появляется новый тип товара, например, цифровая камера, которая заменит нецифровую, то разработчику следует подождать появления товара на рынке для двух последовательных периодов, прежде чем он может быть включен в индекс. Это обеспечивает механизм замены репрезентативных товаров, чтобы включить новый товар более высокого качества в группу продуктов, имеющую определенный вес. Может потребоваться дополнительная информация о весах, чтобы увеличить вес для камер в пределах более широкой группы товаров. Однако сцепление индексов, в которых регулярно обновляются веса, было бы более адекватным механизмом, чтобы достичь этого.

15.91 Тогда как цепной индекс по упрощенной формуле, такой как в уравнении (17), облегчит решение задачи измерения для рынков с быстро меняющейся структурой продаж различных товаров, он не сможет отразить влияние на общее изменение цен от периода t-1 к периоду появления новой разновидности товара в периоде t, и старой модели, которая не продавалась в периоде t. Необходимы две последовательных котировки цены, чтобы использовать формулу (17) и рассчитать цепной индекс. Гедонические индексы обеспечивают включение в расчеты влияния упомянутых факторов. Они могут иметь много различных форм, но, по сути дела, для их исчисления в каждом периоде времени собираются цены и значения качественных характеристик товаров, влияющих на цену товара, таких как скорость, объем памяти и другие характеристики персональных компьютеров. Гедонический индекс цен типа Пааше для условно оцененных характеристик товара мог бы быть получен сначала с помощью гедонической регрессии, устанавливающей зависимость цены от переменных качества, основанной на данных для периода t-1, и с последующим использованием оцененных коэффициентов, чтобы условно исчислить для периода t-1 цены товаров, продававшихся в периоде t, включая те, которых не было в периоде t-1. Цены для характеристик товара в периоде t, оцененных в ценах периода t, могут быть сопоставлены непосредственно с оценками характеристик в периоде t, полученными на основе оценки характеристик в периоде t-1, чтобы получить индекс цен типа Пааше. Гедонический индекс типа Ласпейреса может быть определен аналогичным образом, используя оценку регрессии для периода t и набор характеристик в периоде t-1, а также может быть получен гедонический индекс типа Фишера как среднее геометрическое двух индексов. Альтернативный подход заключается в объединении двух наборов наблюдений в периодах 0 и t и включении условной переменной в гедоническое регрессионное уравнение, чтобы можно было отличить наблюдения в одном периоде от наблюдений в другом. Коэффициент для условной переменной был бы оценкой изменения цен между этими двумя периодами, отражающей влияние изменения качества.

Дальнейшее обсуждение

15.92 Подробное описание всех методов, упомянутых выше, содержится в главах 7 и 8 руководств по исчислению ИЦП и ИПЦ. Эти главы включают вопросы использования условного исчисления, цен товаров совпадающих периодов, сопоставимых замен, несопоставимых замен, используя оценки затрат на производство, стоимость опционов и гедонических регрессий, а также методы для рынков с быстро меняющейся структурой продаж товаров различного качества, включая краткосрочные соотношения цен, сцепление, прирост продуктов и гедонические индексы.

15.93 Дальнейшее обсуждение этой темы может быть также найдено в «Руководстве по гедоническим индексам и корректировкам качества в индексах цен: специальное приложение для продуктов информационных технологий» (Handbook on Hedonic Indices and Quality Adjustments in Price Indexes: Special Application to Information Technology Products) (Организация экономического сотрудничества и развития, 2004).

6. Практические преимущества использования цепных индексов

15.94 Выше было показано, что с теоретической точки зрения длинные ряды индексов объема и цен лучше получать цепным методом. Вопрос заключается в том, как часто в динамических рядах следует производить сцепление. Высказывались соображения о том, что ежегодное сцепление в целом лучше с теоретической точки зрения, но что вытекает из соображений практического характера? Существует много вопросов, которые целесообразно рассмотреть, включая требования к данным, требования, касающиеся процедур вычислений, требования, касающиеся ресурсов, потерю аддитивности, пересмотры данных и информирование потребителей.

a. Если имеются ежегодные данные о стоимостях в текущих ценах и соответствующие данные об объемах и ценах, то возможно ежегодное сцепление. Никакие другие данные не требуются.

b. Требования к исчислению ежегодных цепных индексов выше, чем требования к исчислению индексов типа Ласпейреса с фиксированными весами, и эти вычисления не должны предприниматься без адекватного специально подготовленного программного обеспечения. Сложность требуемого программного обеспечения зависит от используемой формулы и метода сцепления. Например, достаточно просто разработать программное обеспечение, чтобы исчислять ежегодные цепные квартальные показатели объема типа Ласпейреса, используя метод совмещения за год.

c. Опыт показал, что если преимущества цепных показателей объема наряду с потерей аддитивности объяснены потребителям данных с помощью документации и на семинарах до их введения, цепные показатели объема являются в целом приемлемыми. Особое внимание должно быть уделено заблаговременному информированию основных потребителей данных, включая журналистов.

d. Когда при исчислении оценок объема производят изменение базы сравнения, допустим, каждые пять или десять лет, тогда, как правило, пересматриваются темпы роста. Если относительные цены и объемы менялись, то изменения в темпах роста могут быть значительными. Это обычно характерно для каждого агрегата, в котором существенную долю занимают компьютеры. При этом ежегодные результаты сцепления только незначительно пересматриваются каждый год, а не один раз существенным образом каждые пять или десять лет. Неудивительно, что значительные пересмотры рядов, связанные со сцеплением, проводимые только один раз в пять или десять лет, могут подорвать доверие потребителей к данным национальных счетов, не в последнюю очередь потому, что потребители данных могут ожидать такие значительные пересмотры в будущем. Ежегодное сцепление не только улучшает измерение динамики, но оно повышает доверие к получающимся индексам объема в национальных счетах.

C. Исчисление показателей объема в национальных счетах

1. Введение

15.95 В этом разделе рассматриваются вопросы применения теории, описанной в разделе B, в практических расчетах показателей объема в соответствующих счетах СНС. Это, в первую очередь, относится к компонентам счета товаров и услуг. В идеале это должно быть сделано в контексте таблиц ресурсов и использования, как объясняется ниже. Подобно тому, как потоки валового накопления капитала могут быть измерены с помощью показателей объема, то же возможно и в отношении запасов непроизведенных активов. Не считается возможным подразделить все потоки доходов на компоненты цены и объема, но некоторые показатели реального дохода исчисляются, что также объясняется ниже.

15.96 Идеальный способ получения оценок объема макроэкономических агрегатов состоит в том, чтобы производить расчеты на наиболее детальном уровне, дефлятируя каждый компонент наиболее подходящим для этого компонента индексом цен. В некоторых случаях, однако, этот подход невозможен; либо отсутствуют соответствующие индексы цен, либо могут быть несоответствия между данными о текущей стоимости и индексами цен, что делает результаты дефлятирования сомнительными. В таких случаях следует рассматривать альтернативные подходы, включая возможность экстраполирования на будущее оценок более ранних лет или использования в конкретном случае альтернативных индикаторов темпов роста.

15.97 Как только получен ряд показателей объема для данного периода, его следует объединить с данными для других периодов в форме динамических рядов. Именно здесь следует применить сцепление данных, полученных с помощью дефлятирования отдельных компонентов. Как рекомендовано в разделе B, идеально это следует делать ежегодно, используя индексы цен предыдущего года, но если это невозможно, следует применить сцепление за более длительный период. Существенные изменения в экономической структуре, такие как влияние резких колебаний цен на нефть в экономике, ориентированной на экспорт нефти, показывает, что использование того же самого базисного года для исчисления индексов, характеризующих динамику в периодах до и после изменений, может дать неверное представление о развитии экономики. В таких случаях сцепление становится существенным, а не просто желательным методом.

Терминология для оценок показателей объема

15.98 Когда динамические ряды получены с помощью деления текущих стоимостей в текущих ценах для каждого года на наиболее возможном детальном уровне на индексы цен Ласпейреса с весами базисного года, можно считать, что полученные ряды оценены в постоянных ценах базисного года. (Это так, потому что, если расчеты выполняются на достаточно детальном уровне, полученные результаты аппроксимируют использование индекса цен Пааше). Однако, когда стоимости каждого года дефлятируются с помощью индексов цен с другим базисным годом, уже не будет правильным описывать таким образом получающиеся динамические ряды. Более точными терминами были бы «цепной ряд показателей объема», «цепной показатель объема», «цепной индекс объема», если ряды представлены в форме индексов. Желательно указать в термине базисный год, а затем использовать выражение: «цепные ряды показателей объема в [денежных единицах] базисного года».

15.99 Использование выражения «в постоянных ценах» также нежелательно для рядов, которые сцепляются реже, чем ежегодно, и для рядов показателей объема, основанных на использовании формул Фишера или Торнквиста, структура цен в которых не является постоянной на протяжении ряда. Для таких рядов наиболее подходящими являются термины: «ряды показателей объема» или «индекс объема» для описания рядов или индекса.

15.100 Вариация в терминологии отражает и потерю аддитивности получающихся динамических рядов, поскольку только ряды, последовательно оцененные в одних и тех же ценах, являются аддитивными, например, те, которые получены с помощью индексов Ласпейреса.

2. Дефлятирование цен и переоценка количеств

15.101 Индексы объема и цен могут быть получены только для показателей, которые можно разложить на элементы цены и количества. Все показатели операций, связанных с обменом товаров и услуг, а также показатели запасов нефинансовых активов, удовлетворяют этому требованию, но показатели потоков доходов и финансовых активов и обязательств этому требованию не удовлетворяют. Некоторые балансирующие статьи обладают этой характеристикой, другие - нет, и, таким образом, их следует рассматривать отдельно.

15.102 Хотя как показатели объема, так и цен, имеют важное значение в национальных счетах, в центре внимания пользователей находятся индексы динамики объема, а не цен. Составление национальных счетов в текущих ценах и исчисление в них показателей объема отражает этот приоритет; при этом индексы цен исчисляют в неявной форме делением индексов текущих стоимостей на соответствующие индексы объемов.

15.103 Когда имеются независимые, надежные, исчерпывающие данные о показателях в текущих ценах, то обычно не требуется исчислять показатели объема путем агрегирования соотношений количеств. В большинстве случаев более предпочтительно и практично использовать индексы цен для дефлятирования данных в текущих ценах. Даже для таких товаров, как электричество, в отношении которых, казалось бы, легко получить показатели объема, прямой показатель объема не является приемлемым в связи с особенностями отражения цен на различных рынках, как пояснено в параграфах с 15.69 по 15.75. Изменение в структуре типов потребителей электроэнергии приводит к изменению показателей цены и объема электроэнергии в СНС, даже при том, что физические характеристики распределяемой электроэнергии могли не измениться.

15.104 Как объяснялось в разделе B, информацию о ценах проще собирать и агрегировать, чем информацию об объемах, потому что все цены выражены в общей единице, тогда как объемы измерены с помощью множества различных единиц. Более того, соотношения цен для репрезентативной выборки товаров и услуг можно использовать, как типичные для всех товаров и услуг той же самой группы, тогда как соотношения показателей объема не будут репрезентативными. Что еще более важно - это то, что изменения объема, связанные с новыми и исчезающими продуктами, могут быть должным образом отражены, если текущие стоимости дефлятированы с помощью индексов цен так, как описано в разделе B.

15.105 Для некоторых продуктов, например, для некоторых сельскохозяйственных продуктов или полезных ископаемых, данные об их текущей стоимости могут быть получены умножением показателя объема на соответствующую цену. В этих случаях не возникает проблем с агрегированием группы продуктов, а корректировки на различия в качестве легко и более эффективно можно вносить непосредственно в показатели объема. Тогда как в некоторых странах стоимость таких продуктов может оказаться значительной, они будут представлять небольшую часть общего количества продуктов, которые могут быть лучше всего отражены таким методом.

15.106 Для того, чтобы получить индексы объема по формуле Ласпейреса, соответствующим индексом цен, используемым для дефлятирования текущей стоимости, должен быть индекс цен Пааше и наоборот. Однако разрабатываемые индексы цен почти всегда исчисляются с использованием формул Ласпейреса или Лоу, потому что исчисление индекса цен по формуле Пааше выдвигает точно те же самые требования к данным, как прямое исчисление индекса объема по формуле Ласпейреса, и для него характерны те же проблемы. Если имеются на достаточно детальном уровне надежные данные о стоимости в текуших ценах и индексы цен Ласпейреса, то индексы объема Пааше, полученные на детальном уровне, могут быть агрегированы, используя формулу индекса Ласпейреса, что позволит получить приближенное значение истинного индекса объема Ласпейреса для агрегата.

15.107 Индекс объема Фишера может быть получен либо путем исчисления среднего геометрического из индексов объема Ласпейреса и Пааше, либо путем деления индекса текущих стоимостей на индекс цен Фишера.

3. Имеющиеся индексы цен

15.108 Имеется четыре основных типа индексов цен для исчисления индексов объема в национальных счетах: индексы потребительских цен (ИПЦ), индексы цен производителей (ИЦП), индексы экспортных цен (ИЭЦ) и индексы импортных цен (ИИЦ). ИПЦ являются индексом цен покупателей, а ИЦП – индексом основных цен. ИЭЦ являются индексом цен ФОБ, а ИИЦ могут измерять изменения цен ФОБ или СИФ.

15.109 Существуют два определяющих аспекта отражения операций: время и стоимостная оценка. Поэтому принципиально важно, чтобы стоимости в текущих ценах и индексы цен, которые используются для их дефлятирования, соответствовали друг другу по обоим этим аспектам, равно как и в отношении охвата. Четыре типа индексов цен обычно разрабатываются ежемесячно, таким образом, могут быть получены квартальные и годовые дефляторы для показателей потоков и запасов путем усреднения ежемесячных индексов, чтобы получить среднее значение для желаемой точки стоимостной оценки. Для показателей потоков - это обычно средняя точка периода, а для показателей запасов - это обычно, но не всегда, конец периода. Для показателей потоков средняя цена периода должна отразить известные изменения в течение периода. Это особенно важно, когда существуют значительные сезонные колебания, существенные волатильные изменения в определенных месяцах или гиперинфляция. Если отсутствует любой из этих факторов, средняя цена будет близка к наблюдаемой цене в середине периода. Однако тот факт, что это часто происходит, не означает, что цена в середине периода всегда является концептуально правильной, чтобы использовать ее.

4. Таблица ресурсов и использования как основа для определения показателей объема ВВП

15.110 В главе 14 описываются таблицы ресурсов и использования. В ней объясняется, как в таблице ресурсов идентифицируются продукты, производимые в каждой отрасли, которые затем отражаются в таблице использования, содержащей записи о распределении каждого продукта между промежуточным потреблением и конечным спросом. Составление таблиц ресурсов и использования в текущих ценах обеспечивает согласованность измерений ВВП различными методами. Еще более важно, что составление таблиц ресурсов и использования в постоянных ценах обеспечивает то, что как индексы объемов, так и индексы цен, являются взаимно согласованными. В принципе, таблицы в текущих ценах и в постоянных ценах должны составляться в одно и то же время, чтобы наилучшим образом использовать всю информацию, имеющуюся у разработчиков.

15.111 Часто бывает так, что не в каждом периоде имеются все детальные данные, необходимые для составления таблиц ресурсов и использования, и приходится делать оценки для заполнения незаполненных клеток. Например, детальные данные о промежуточном потреблении в разбивке по продуктам и отраслям часто собирают нерегулярно. В целом, лучше сделать исходное предположение о постоянной структуре промежуточных затрат во времени в постоянных ценах, а не в текущих ценах. Более того, внесение корректировок в первичные и оцененные данные может быть более эффективным путем использования индексов цен и объема за предыдущий или последующий периоды. По этим причинам рекомендуется, чтобы таблицы ресурсов и использования составлялись как в текущих, так и в постоянных ценах одновременно и балансировались также одновременно.

15.112 Для того, чтобы получить набор таблиц ресурсов и использования в постоянных ценах, показатели которых были бы аддитивны, наиболее эффективным методом было бы сначала оценить показатели таблицы в ценах предыдущего года, что обеспечит исчисление индексов объема Ласпейреса (использующих цены предыдущего периода в качестве весов), связывающих предыдущий год с текущим. Для того чтобы получить годовые цепные индексы объема Фишера, также необходимо составлять таблицы ресурсов и использования за предыдущий год в ценах текущего года. Такой подход, по сути дела, обеспечивает инверсионные индексы объема Ласпейреса с ценами текущего года в качестве весов. Индексы объема Пааше получают, используя обратное значение инверсионных индексов объема Ласпейреса. После этого могут быть исчислены индексы объема Фишера как среднее геометрическое индексов объема Ласпейреса и Пааше для двух смежных лет.

5. Показатели объема производства ВВП

Рыночный выпуск

15.113 В принципе, ИЦП могут быть разработаны для всего рыночного выпуска, а затем они могут использоваться для дефлятирования стоимостей выпуска в текущих ценах, чтобы получить оценки объема в постоянных ценах.

15.114 На практике для некоторых продуктов очень трудно получить индексы цен, и необходимо предпринять специальные шаги, чтобы исчислить соответствующие показатели объема. Особым случаем являются отрасли, выпуск которых представляет собой наценку (маржу), включая финансовые услуги. Выпуск таких отраслей обычно исчисляется путем умножения нормы наценки (маржи) на стоимость операции. Для определения показателей объема, норма наценки (маржи) базисного года умножается на стоимость операции в ценах базисного года. В случае УФПИК базисная ставка процента и ставки банковского процента используются вместе с данными о ссудах и депозитах, дефлятированных с помощью индекса общего повышения цен, произошедшего после базисного года.

15.115 В других случаях, когда нет подходящего дефлятора, чтобы применить его к стоимости в текущих ценах, индексы объема могут быть получены путем экстраполяции текущих стоимостей в базисном периоде, используя для этого подходящие индикаторы.

Нерыночный выпуск органов государственного управления и НКОДХ

15.116 Текущая стоимость выпуска нерыночных товаров и услуг, произведенных органами государственного управления или НКОДХ, оценивается на основе суммы затрат на производство, как пояснено в главе 6. Этот выпуск состоит из индивидуальных товаров и услуг, предоставленных домашним хозяйствам, и коллективных услуг, оказанных обществу в целом. Тот факт, что такой выпуск оценивается на основе затрат на производство, не означает, что его нельзя отличить от затрат на производство. В частности, изменения в объеме выпуска продукции могут отличаться от изменения объема затрат. Изменения в производительности могут происходить во всех отраслях экономики, включая производство нерыночных услуг.

15.117 На практике имеются три возможных метода исчисления показателей объема выпуска нерыночных товаров и услуг. Первый метод состоит в исчислении индекса псевдоцен выпуска, который при сравнении с совокупным индексом цен затрат отражает рост производительности. Индексы псевдоцен могут быть получены различными способами, такими как корректировка индекса цен затрат на показатель наблюдаемого роста производительности соответствующего производственного процесса или исчисление индекса псевдоцен выпуска на основе данных об индексах цен выпуска аналогичных продуктов. Однако такие данные редко имеются в отношении товаров и услуг, производимых органами государственного управления или НКОДХ.

15.118 Второй подход - «метод объема выпуска» - рекомендуется для индивидуальных услуг, в особенности услуг здравоохранения и образования. Он основан на исчислении показателя объема выпуска, использующего адекватно взвешенные показатели выпуска различных категорий произведенных нерыночных товаров и услуг. Эти показатели выпуска должны полностью отражать изменения, как в количестве, так и в качестве.

15.119 Третий подход, названный «методом затрат», может использоваться для таких коллективных услуг, как оборона, для которых «метод объема выпуска» едва ли применим, потому что, вообще говоря, отсутствуют какие–либо адекватные количественные показатели выпуска, скорректированные на фактор качества. «Метод затрат» состоит в измерении выпуска на основе исчисления взвешенного индекса изменений показателей объема всех затрат. Последние должны полностью отражать изменения как в количестве, так и в качестве. Они, в общем случае, лучше всего исчисляются путем дефлятирования различных элементов затрат на производство с помощью соответствующих индексов цен на товары и услуги, либо, если такие индексы цен отсутствуют, путем использования индикаторов объема, которые отражают изменение в объеме затрат (например, числе часов, отработанных работниками).

15.120 На данном этапе полезно определить понятия, обозначаемые следующими терминами: затраты, деятельность, выпуск и результат. Возьмем для примера услуги здравоохранения; затраты на них определяются как затраты труда медицинского и немедицинского персонала, затраты на лекарства, электроэнергию и другие расходы и потребление основного капитала в форме используемых зданий и оборудования. Эти ресурсы используются в деятельности по оказанию первичной помощи и в деятельности больниц, такой как проведение осмотра терапевтом, выполнение операции на сердце, и в других видах деятельности, предназначенной обеспечивать медицинское обслуживание отдельных пациентов. Лечение, получаемое пациентом, представляет собой выпуск, связанный с осуществлением этих затрат. Наконец, существует результат деятельности в области здравоохранения, который может зависеть от ряда факторов, прямо не связанных с выпуском услуг здравоохранения, таких как бросит или нет данный человек курить.

15.121 При измерении объема выпуска нерыночных индивидуальных услуг следует избегать двух ошибок. Первая из них состоит в том, что это измерение не должно быть ограничено отражением затрат или деятельности единицы, производящей услуги. Затраты не могут считаться адекватным показателем, тогда как деятельности могут быть единственным имеющимся индикатором и, следовательно, должны использоваться, но они также являются промежуточной переменной. Что следует измерять, так это услугу, оказанную клиенту. Второй риск ошибки состоит в том, что если результат определяется с точки зрения целей повышения благосостояния с помощью оказания нерыночных услуг (например, изменение состояния здоровья для оценки услуг здравоохранения или изменение качества образования для оценки услуг образования), то изменения объема выпуска нерыночной единицы не могут быть отражены с помощью изменения индикаторов результата. Это происходит потому, что на индикаторы результата могут оказать влияние другие аспекты, которые непосредственно не связаны с деятельностью по оказанию нерыночных услуг. Например, хорошо известно, что в случае здравоохранения существует много других факторов помимо выпуска нерыночных услуг единицами здравоохранения, таких как санитария, жилищные условия, питание, образование, употребление табака, алкоголя или наркотиков, загрязнение окружающей среды, совместное воздействие которых на здоровье членов общества может быть намного больше, чем воздействие предоставления медицинских услуг. Точно так же выпуск услуг образования весьма отличается от уровня знаний или квалификации членов общества. Услуги образования состоят преимущественно из обучения, предоставляемого школами, колледжами, университетами ученикам и студентам, которые потребляют такие услуги. Уровень знаний или квалификации членов общества зависит дополнительно от других факторов, таких как усилия, предпринятые потребителями услуг образования, их отношение к учебе и мотивация.

15.122 В свете этих соображений рекомендуемым методом исчисления индикаторов изменения объема нерыночных услуг является «метод объема выпуска». Метод основан на количественных индикаторах, адекватно скорректированных на фактор качества, взвешенных с помощью весов, отражающих средние затраты. Должны соблюдаться два критерия, чтобы исчислить адекватные индикаторы изменения объема. Во-первых, используемые количества и затраты на производство должны отражать полный охват услуг для рассматриваемой функциональной области, а веса затрат должны регулярно обновляться. Если часть затрат функциональной области не охвачена соответствующим индикатором количества, не следует предполагать, что неохваченная часть меняется также, как меняется охваченная часть. Если никакой прямой метод объема выпуска не применим для этой части, для нее должен быть использован метод затрат. Во-вторых, количественные индикаторы должны быть скорректированы на изменения качества. Например, услуги должны быть достаточно дифференцированы с целью обеспечения категорий, которые могут считаться однородными. В этом случае фактор изменения качества измеряется с помощью показателей изменения долей различных категорий, если веса каждой категории регулярно обновляются. Кроме того, количественный индикатор каждой категории может быть скорректирован в явной форме на коэффициент изменения качества. Одним из способов идентифицировать явный коэффициент корректировки на фактор качества состоит в рассмотрении влияния, которое услуга оказывает на показатели результата.

15.123 Рекомендуется, чтобы эти индикаторы объема были обсуждены и проверены на протяжении существенного периода времени со специалистами в данной области до их включения в национальные счета. Консультация специалиста особенно важна в областях здравоохранения и образования, которые обычно преобладают в составе индивидуальных услуг. Далее, перед использованием показателя следует оценить последствия полученных оценок, включая оценку возможного влияния на показатели производительности. Если результаты таких исследований не будут признаны удовлетворительными, может оказаться целесообразным использовать второй наилучший метод - «метод затрат».

15.124 Измерение изменений объема коллективных услуг является в целом более сложным делом, чем измерение изменений объема индивидуальных услуг, потому что их сложно определить и наблюдать. Одна из причин состоит в том, что многие коллективные услуги являются по своей природе превентивными, обеспечивают защиту домашних хозяйств или других институциональных единиц от актов насилия, включая военные действия, или предпринимаются для их защиты от других неблагоприятных событий, таких как пожары, загрязнение окружающей среды, воровство, несчастные случаи на дорогах и др., а такие процессы трудно измерить с помощью показателей количества. Это область, в которой необходимы дальнейшие исследования.

15.125 Если невозможно избежать использования показателей затрат в качестве приблизительных измерителей выпуска, показатель затрат должен быть всесторонним, он не должен сводиться к затратам труда, но должен охватывать все затраты. Кроме того, необходимо предоставлять пояснения к публикуемым оценкам, чтобы обратить внимание потребителей данных на методы измерения.

Выпуск для собственного конечного использования

15.126 Выпуск для собственного конечного использования включает две категории: товары, произведенные и потребляемые домашними хозяйствами, и основные фонды, произведенные для собственного использования. В эту категорию включается также изменение запасов готовых продуктов и незавершенного производства.

15.127 Для большинства видов выпуска для собственного конечного использования эффективной и экономичной возможностью является использование псевдо-индексов цен выпуска. Для товаров, произведенных и потребленных домашними хозяйствами, вероятно, можно использовать ИПЦ для аналогичных товаров. (Однако для выпуска сельскохозяйственной продукции, выращенной и потребленной домашними хозяйствами, используемый индекс цен не должен включать наценки или налоги, которых фактически не было). Точно так же, вероятно, будут иметься индексы цен выпуска для основных фондов, таких как оборудование и сооружения. Для некоторых типов основных фондов, произведенных для собственного использования, может не существовать никаких индексов цен для аналогичных продуктов, и в этом случае могут быть рассмотрены различные подходы. Этот вопрос обсуждается далее в разделе о валовом накоплении основного капитала.

Промежуточное потребление

15.128 Как отмечалось выше, самый надежный метод оценки промежуточного потребления в постоянных ценах состоит в том, чтобы произвести эту оценку в рамках таблиц ресурсов и использования в постоянных ценах, для составления которых может использоваться информация об индексах объема и индексах цен.

15.129 Страны, исчисляющие ИЦП, обычно используют их в отношении выпуска, хотя страны с развитыми статистическими системами могут также исчислять ИЦП и для затрат. Такие ИЦП для элементов затрат непосредственно применимы для дефлятирования промежуточного потребления.

15.130 Если ИЦП для затрат не исчисляются, то вместо них могут использоваться ИЦП для выпуска, ИИЦ или, в ограниченной степени, ИПЦ. Промежуточное потребление оценивается в ценах покупателей, в то время как выпуск оценивается в основных ценах. Таким образом, имеется маржа между стоимостной оценкой товаров, используемых на промежуточное потребление, в ценах покупателей, и оценкой выпуска, которая возникает за счет транспортных расходов (если только производитель не оказывает эти услуги, не выставляя отдельного счета-фактуры), возможных издержек на страхование, оптовых и розничных торговых наценок и налогов на продукты за вычетом субсидий на продукты. Размер этой маржи будет зависеть от ряда обстоятельств. Часто торговые наценки на товары промежуточного потребления оказываются намного меньше, чем для конечного потребления, и налоги могут быть меньшими в рамках системы НДС. Для услуг, используемых на промежуточное потребление, различия в стоимостной оценке обычно состоят только из налогов на продукты за вычетом субсидий на продукты.

15.131 В главе 14 описывается, как часть промежуточного потребления матрицы использования может быть подразделена на элементы, чтобы выделить отдельно затраты продуктов отечественного производства, оцененные в основных ценах, затраты импортированных продуктов, маржи и налоги. Если эта информация имеется, то будет улучшена надежность последующих расчетов, связанных с дефлятированием, так как не нужно будет использовать предположение о том, что доли импорта, налога и маржи одинаковы во всех элементах матрицы использования.

Валовой внутренний продукт и валовая добавленная стоимость

15.132 Когда валовой внутренний продукт (ВВП) исчисляется суммированием расходов на конечное использование продуктов и экспорта и вычитанием импорта либо вычитанием промежуточного потребления из выпуска и добавления налогов на продукты за вычетом субсидий на продукты, могут быть исчислены показатели объема ВВП в постоянных ценах при условии, что агрегируемые объемы являются аддитивными (то есть основаны на формуле Ласпейреса).

15.133 Валовая добавленная стоимость заведения, предприятия, отрасли или сектора измеряется величиной, на которую стоимость выпуска, произведенного этими заведением, предприятием, отраслью или сектором, превышает стоимость затрат на промежуточное потребление. Это может быть записано как:

Chapter 15_html_2ec1b97e25cb9a21.jpg

где Q - относятся к выпускам, P - их основные цены, q - промежуточные затраты, а p - их цены покупателей. Добавленная стоимость в году t в ценах года t определяется по формуле:

Chapter 15_html_31081707d5243324.jpg

в то время как добавленная стоимость в году t в ценах базисного года 0 определяется по формуле:

Chapter 15_html_bcfd0cf3a112f98.jpg

Этот показатель добавленной стоимости называется показателем, полученным «двойным дефлятированием», поскольку он может быть получен дефлятированием стоимости выпуска в текущих ценах соответствующим индексом цен (типа Пааше) и дефлятированием текущей стоимости промежуточного потребления.

15.134 Хотя метод двойного дефлятирования надежен в теоретическом отношении, получающиеся оценки могут содержать ошибки измерения объема как выпуска, так и промежуточного потребления. Это может быть особенно верно в том случае, если ИЦП выпуска применяются к затратам, многие элементы которых включают импортные продукты. Поскольку добавленная стоимость представляет собой относительно небольшую разницу между двумя намного большими величинами, она чрезвычайно чувствительна к ошибкам. Поэтому желательно сравнить индексы цен и объема добавленной стоимости за последние годы с соответствующими индексами динамики объема выпуска и промежуточных затрат, и, если это возможно, с оценками объема затрат труда и затрат капитала, чтобы проверить, насколько полученные оценки правдоподобны.

15.135 В связи с возможными проблемами, возникающими при исчислении добавленной стоимости в постоянных ценах с помощью метода двойного дефлятирования, также распространена оценка динамики объема добавленной стоимости на основе использования метода «одного индикатора» вместо двойного дефлятирования. Один из таких методов одного индикатора предполагает применение экстраполяции добавленной стоимости с помощью показателя динамики объема соответствующего показателя выпуска.

15.136 Выбор между использованием метода одного индикатора (который может дать результаты с систематической погрешностью) и методом двойного дефлятирования (который может дать волатильные результаты) следует делать на основе профессионального анализа. Один и тот же выбор метода не должен обязательно относиться ко всем отраслям или группам продуктов. Кроме того, метод одного индикатора может использоваться для квартальных расчетов до завершения года и до получения более точных оценок методом двойного дефлятирования.

15.137 В некоторых отраслях нерыночных услуг может оказаться необходимым оценить динамику объема добавленной стоимости на основе оценки динамики объема затрат в отрасли. Затраты могут быть общими затратами, затратами труда или промежуточными затратами. Например, нередко исчисляют показатели динамики объема добавленной стоимости с помощью показателя динамики оплаты труда работников с постоянными ставками заработной платы в качестве весов, или даже просто с помощью показателей динамики числа работающих в отраслях нерыночных услуг. (Ведется обширная работа, чтобы улучшить эти рабочие предположения с тем, чтобы попытаться более объективно измерить динамику выпуска услуг, предоставляемых органами государственного управления в области здравоохранения и образования).

15.138 Разработчики данных могут оказаться вынужденными применять такие методы, даже когда нет никаких оснований предположить, что производительность труда остается неизменной в краткосрочной или долгосрочной перспективе. Иногда могут использоваться показатели динамики объема промежуточных затрат, например, краткосрочные изменения объема добавленной стоимости можно оценить на основе данных о динамике объема строительных материалов, таких как цемент, кирпичи, лесоматериалы и т.п. Использование индикаторов такого рода может оказаться единственным способом, чтобы оценить краткосрочное изменение объема выпуска или добавленной стоимости, но они неприемлемы для продолжительных периодов времени.

6. Показатели объема компонентов использования ВВП

15.139 Каждый из компонентов использования ВВП должен быть оценен в постоянных ценах для получения показателей динамики объема. Основные методы получения таких оценок последовательно рассмотрены ниже.

Расходы на конечное потребление домашних хозяйств

15.140 Расходы на потребление домашних хозяйств должны быть дефлятированы на максимально возможном детальном уровне. В принципе, это требует использования в качестве дефляторов ИПЦ, однако необходимо обеспечить соответствие охвата используемого ИПЦ и дефлятируемой категории расхода. Даже в тех случаях, когда детальные оценки потребительских расходов подготавливались не на основе данных обследований домашних хозяйств и других первичных источников, использование для дефлятирования оценок потребительских расходов домашних хозяйств по типам продуктов, содержащихся в таблицах ресурсов и использования, значительно улучшит оценку динамики объема расходов на конечное потребление в постоянных ценах по сравнению с дефлятированием общей стоимости этих расходов с помощью общего индекса цен.

15.141 Главным компонентом, в отношении которого нет ИПЦ, является показатель жилищных услуг, производимых собственниками жилищ для собственного потребления. Три альтернативных подхода для измерения динамики цен описаны в общих чертах в главах 10 и 23 руководства по ИПЦ, но только подход, основывающийся на показателях использования, рекомендуется для измерения динамики потребления жилищных услуг в национальных счетах. При этом подходе можно либо принять за основу измерение затрат на использование жилища, и измерять динамику затрат, производимых жильцом-владельцем, либо использовать концепцию эквивалентной арендной платы, в основе которой лежит предположение о том, сколько жилец-владелец должен был бы затратить, чтобы оплатить арендную плату за свое жилище. Последний подход широко принят для исчисления ИПЦ.

Расходы на конечное потребление органов государственного управления и НКОДХ

15.142 Расходы на конечное потребление секторов государственного управления и НКОДХ состоят из их нерыночного выпуска за вычетом любой выручки от случайных продаж, плюс стоимость товаров и услуг, купленных у рыночных производителей для последующей передачи отдельным домашним хозяйствам по ценам, которые не являются экономически значимыми, за вычетом любых частичных платежей. (Это тождество обсуждается в главе 9).

15.143 Каждая из этих статей должна быть оценена в постоянных ценах отдельно для измерения динамики объема. Проблема измерения объема рыночного выпуска в постоянных ценах обсуждалась выше. Для товаров и услуг, передаваемых домашним хозяйствам, следует использовать индексы цен, уплаченных за товары, за вычетом доли, выплаченной домашними хозяйствами. Если часть цены, уплаченной органом государственного управления (или НКОДХ), меняется от одного года к другому, это изменение рассматривается как изменение объема расходов как сектора государственного управления (или НКОДХ), так и сектора домашних хозяйств.

Валовое накопление основного капитала

15.144 Наличие соответствующих индексов цен для валового накопления основного капитала значительно различается для различных видов активов.

15.145 Часто имеются ИПЦ для новых жилых зданий и ИЦП для новых зданий и сооружений. Издержки, связанные с передачей прав собственности, должны дефлятироваться отдельно. Оценки текущей стоимости и объема обычно получают из отдельных оценок соответствующих элементов: издержек на оплату юридических услуг, транспортных расходов, затрат на установку и т.п.

15.146 Для стандартных продуктов в составе валового накопления капитала ИЦП, вероятно, могут быть использованы, но значительная часть валового накопления капитала включает нестандартные продукты, и соответствующие индексы цен, вероятно, придется разрабатывать, используя наилучшую имеющуюся информацию.

15.147 Индексы цен на оборудование значительно различаются по их величине. Например, индексы цен на компьютерное оборудование быстро сократились за последние годы, тогда как индексы цен на транспортное оборудование имели тенденцию увеличиваться. В таких случаях важно, чтобы различные виды оборудования дефлятировались отдельно, используя соответствующие индексы цен (или следует использовать взвешенный надлежащим образом индекс цен Пааше, чтобы дефлятировать агрегат).

15.148 В отношении продуктов интеллектуальной собственности возможности использования индексов цен для дефлятирования весьма ограничены. Для этого есть несколько причин. Одна из них состоит в том, что значительное количество продуктов интеллектуальной собственности производится для собственного использования, и в отношении них может не быть наблюдаемых рыночных цен. Другая причина состоит в том, что продукты интеллектуальной собственности являются очень разнородными. Однако все это - преодолимые проблемы, и существуют подходы для их решения. В качестве примера рассмотрим две главные статьи этой категории: компьютерное программное обеспечение и базы данных; научные исследования и разработки.

15.149 При исчислении оценок объема компьютерного программного обеспечения и баз данных желательно подразделить программное обеспечение на три компонента - «пакетный» продукт (или программное обеспечение «с полки»), изготовленное по заказу и изготовленное для собственного использования - и дефлятировать их и базы данных отдельно. Для такого подхода есть несколько причин.

a. Три компонента программного обеспечения и базы данных значительно различаются в отношении наличия данных о ценах, чтобы исчислять индексы цен.

b. Вероятно, что их цены и объемы меняются разными темпами, особенно существенны эти различия между «пакетным» программным обеспечением, двумя другими компонентами программного обеспечения и базами данных.

c. Несмотря на предыдущий тезис, индексы цен для «пакетного» программного обеспечения могут использоваться для исчисления индексов цен для двух других компонентов программного обеспечения, если более адекватные индексы цен не существуют.

d. Оценки объема компонентов являются полезными индикаторами сами по себе.

15.150 «Пакетное» программное обеспечение приобретается в очень крупных размерах, обычно с помощью лицензий на использование, и имеются данные о его ценах. Проблема состоит в том, чтобы исчислить индексы цен, не отражающие влияние изменения спецификаций и любых других аспектов изменения качества.

15.151 Программное обеспечение, произведенное по заказу, также продается на рынке, но каждый такой программный продукт является уникальным, что представляет очевидную проблему для исчисления индексов цен. Хотя каждый продукт, произведенный по заказу, различен, но различные продукты могут иметь общие компоненты, либо стратегия, используемая для разработки одного продукта, может быть использована для разработки другого. Это не только дает возможность исчислять индекс цен, но также предлагает средства повысить производительность, что оказало бы давление на цены в сторону снижения. В разделе D в общих чертах изложена модель ценообразования для измерения изменений цен на здания, произведенных по заказу. Аналогичный подход может быть применен в отношении произведенного по заказу программного обеспечения.

15.152 Методы исчисления индексов цен для неоднородных групп продуктов и продуктов, спецификации которых быстро меняются, описаны в «Руководстве по гедоническим индексам и корректировкам качества» и в «Руководстве по индексам цен производителей: теория и практика» (Международная организация труда, Международный валютный фонд, Организация экономического сотрудничества и развития, Европейская экономическая комиссия ООН и Всемирный банк, 2004).

15.153 Существенная доля программного обеспечения в валовом накоплении основного капитала производится для собственного использования. Следовательно, невозможно получить истинный индекс цен выпуска такого программного обеспечения. Тогда возникает вопрос о выборе между псевдо-индексом цен выпуска и индексом цен затрат, полученным взвешиванием индексов цен на элементы затрат. Как уже отмечалось, оценки объема затрат, используемые в качестве заменителей показателей объема выпуска, не отражают роста производительности, и поэтому их использование не рекомендуется. В отсутствие лучшей альтернативы самой очевидной возможностью является использование индекса цен для программного обеспечения, сделанного по заказу.

15.154 Базы данных в целом представляют собой разнородные продукты с небольшим рынком, поскольку большинство баз данных произведено для внутрифирменных целей. Для программного обеспечения, произведенного для собственного использования, трудно, если не невозможно, исчислить надежный индекс цен, и вновь придется делать выбор между использованием псевдо-индекса цен выпуска и индекса цен затрат, хотя трудно представить себе псевдо-индекс цен выпуска.

15.155 Научные исследования и разработки (НИР) являются еще одним видом деятельности, который часто предпринимают для собственного использования. Однако, учитывая разнородную природу НИР, выбор метода дефлятирования лежит между исчислением псевдо-индекса цен выпуска и использованием индекса цен затрат.

Изменение запасов материальных оборотных средств

15.156 Хотя изменение запасов материальных оборотных средств может быть небольшим относительно других компонентов ВВП, тот факт, что их относительная величина может измениться весьма значительно от одного периода к следующему, означает, что оно может существенно влиять на показатель динамики объема ВВП, особенно в квартальных национальных счетах. По этой причине исчисление изменений запасов материальных оборотных средств в постоянных ценах является особенно важным. Однако это - также сложная задача. Как отмечено в пункте 15.62, в связи с тем, что изменение запасов материальных оборотных средств может принимать положительные, отрицательные и нулевые значения, цепной индекс не следует исчислять напрямую. Показатели изменения объема запасов материальных оборотных средств в постоянных ценах следует получать, исчисляя сначала показатели объема начальных и конечных запасов материальных оборотных средств в постоянных ценах, и затем исчислять разность между ними.

15.157 Для различных видов материальных оборотных средств (незавершенное производство, готовые продукты, сырье и материалы, товары для перепродажи) следует осуществлять оценку показателей динамики объема на наиболее детальном уровне. Дефлятирование запасов материальных оборотных средств должно осуществляться применительно к продуктовой структуре этих запасов, а не применительно к отраслям, в которых эти запасы материальных оборотных средств находятся. ИЦП, ИИЦ, ИПЦ и индексы затрат труда - все они обычно используются для исчисления дефляторов с корректировкой на соответствующую базу стоимостной оценки. Важно понять, как оценивают предприятия свои запасы материальных оборотных средств, поскольку это может обеспечить информацию не только относительно типа продуктов, но и о средней продолжительности времени, в течение которого товары остаются в запасах материальных оборотных средств.

15.158 Когда товары направляют за границу для обработки без перехода прав собственности, нужно иметь в виду, что некоторые элементы материальных оборотных средств могут находиться за пределами территории данной страны, но в отношении них следует применять национальные цены при исчислении соответствующих показателей их объемов.

Приобретение ценностей за вычетом выбытия

15.159 Национальные статистические учреждения обычно не исчисляют специальные индексы цен для ценностей. Основные элементы этой статьи следует дефлятировать, используя наиболее подходящие имеющиеся индексы цен.

Экспорт и импорт

15.160 Экспорт и импорт включают как товары, так и услуги. И для экспорта, и для импорта товары и услуги исчисляются в постоянных ценах, и для этой цели используются совершенно различные дефляторы, полученные из совершенно различных источников, как для товаров, так и для услуг. Предпринимаются новые исследования, имеющие целью повышение надежности индексов цен для внешней торговли услугами, что должно привести к улучшению данных в этой области.

15.161 Стоимостная оценка импорта и экспорта товаров обсуждается в главе 14. В принципе, их следует оценивать на момент, когда происходит переход права собственности от единицы-резидента к нерезиденту, и включать или не включать транспортные издержки в зависимости от того, включает или не включает поставщик расходы на транспорт в цену, оплачиваемую покупателем. Однако на практике многие страны зависят от данных об импорте и экспорте товаров, полученных из таможенных деклараций, в которых импорт оценивается в ценах СИФ, а экспорт – в ценах ФОБ. Это означает, что переход прав собственности всегда происходит на границе страны-экспортера. При составлении платежного баланса импорт товаров следует оценивать в ценах ФОБ, но это обычно делается на агрегированном уровне, и данные могут быть дезагрегированы только в таблицах ресурсов и использования, если вообще это возможно.

15.162 При условии существования детальных ИЭЦ и ИИЦ для товаров, должно быть несложно дефлятировать оценки текущей стоимости экспорта и импорта товаров на максимально возможном детальном уровне, чтобы аппроксимировать использование индексов объема Ласпейреса или индексов цен Пааше. Чтобы исчислить детальные показатели объема импорта товаров в таблицах ресурсов и использования, либо следует перевести данные в ценах СИФ в цены ФОБ, либо ИИЦ следует скорректировать для приведения их к ценам СИФ. Обычное рабочее предположение заключается в том, что СИФ и ФОБ аппроксимируют, соответственно, цены покупателей и основные цены, но, как объясняется в главе 14, адекватность аппроксимации зависит от обстоятельств, связанных с транспортными наценками.

15.163 ИЭЦ и ИИЦ исчисляют, в основном, тремя методами, характер которых в значительной степени зависит от используемых исходных данных. Первым и преобладающим методом, по крайней мере, с точки зрения числа стран, использующих его, является использование индексов единицы стоимости, исчисленных на основе детальных данных об экспорте и импорте товаров, полученных из административных таможенных документов. Как пояснено в разделе B, индексы единицы стоимости не являются индексами цен, поскольку их изменения могут произойти как вследствие изменения цен, так и количества (структуры). Однако они используются многими странами как заменители индексов цен. Второй метод заключается в исчислении индексов цен на основе данных обследуемых заведений о ценах экспортированных и импортированных репрезентативных товаров. Обследованные цены будут относиться к товарам, определенным в соответствии с детальными спецификациями, и,таким образом, изменение цены товара той же спецификации может быть измерено во времени. Третий метод является гибридным подходом, который включает исчисление индексов цен на основе данных обследований заведений для одних групп товаров, и индексов единицы стоимости, основанных на таможенных данных, для других групп товаров.

15.164 Использование индексов единицы стоимости, полученных на основе данных статистики внешней торговли товарами, в качестве дефляторов требует некоторой осторожности, поскольку они, как было пояснено выше, могут содержать систематическую ошибку по сравнению с индексами цен. Систематическая ошибка в индексах единицы стоимости обусловлена, главным образом, изменениями в структуре неоднородных групп товаров, содержащихся в таможенных декларациях, но нередко также низким качеством данных о количествах товаров. Первый фактор особенно важен для современных рынков, для которых характерна всевозрастающая дифференциация в структуре продаж. Индексы стоимости единицы, возможно, ухудшаются в последнее время вследствие возрастающей неполноты источников данных, что связано с увеличением доли торговли услугами и электронной торговли, которые не охватываются данными о торговле товарами. Далее, страны, являющиеся членами таможенных и валютных союзов, вероятно, не располагают данными о торговых потоках внутри союзов в качестве побочного продукта таможенной документации. Наконец, часть внешней торговли может не быть охвачена таможенным контролем, например, это относится к торговле электроэнергией, газом или водой, или к торговле «уникальными» товарами, такими как суда и большие машины, в отношении которых возникают проблемы измерения единицы стоимости.

15.165 Как отмечалось выше, текущие источники данных для индексов цен в международной торговле услугами являются менее полными, чем в других областях. Если для экспорта и импорта услуг имеются ИЭЦ и ИИЦ, их можно использовать для получения необходимых оценок объема. Если их нет, то оценки объема экспорта услуг могут быть исчислены, главным образом, используя ИЦП и ИПЦ. Например, оценки объема услуг перевозок грузов могут быть исчислены, используя ИЦП по видам транспорта, в то время как оценки объема услуг отелей могут быть получены, используя соответствующие ИПЦ. Если данные об ИИЦ отсутствуют для импорта услуг, тогда, вероятно, придется использовать индексы цен стран, экспортирующих услуги, скорректированные на изменение обменного курса.

15.166 Необходимо иметь в виду, что в тех случаях, когда импорт товаров оценивается, включая транспортные услуги, эти транспортные услуги следует исключить из общего импорта услуг.

7. Объемы и цены для запасов основных фондов и потребления основного капитала

15.167 Рассмотрим вначале один тип актива. Запас этого типа актива состоит из многих продуктов, обычно с различными сроками службы, которые оцениваются и агрегируются с помощью согласованного набора цен. Термин «согласованный» следует понимать в том смысле, что цены относятся к одному и тому же периоду времени и являются ценами одного и того же типа, такого как цены покупателей. Измерение запасов по исторической стоимости, то есть суммируя количества, которые были оценены в ценах разных периодов, не будет согласованной оценкой. Такая оценка иногда применяется в счетах предприятий, но она не является экономически значащим показателем в контексте СНС.

15.168 Вектор цен, используемый для оценки количеств активов, должен относиться к определенному моменту времени (начало или конец периода), когда исчисляются стоимости запасов для начальных или заключительных балансов активов и пассивов. В других целях количества активов могут быть оценены в ценах, относящихся к середине отчетного периода. Например, показатели потребления основного капитала могут быть получены вычитанием стоимости запасов активов на конец отчетного периода из стоимости запасов на начало периода плюс валовое накопление капитала, если для оценки каждого компонента используются средние цены периода, чтобы исключить холдинговые прибыли и убытки (и предполагая отсутствие других изменений в объеме активов).

15.169 Метод, с помощью которого исчисляются многие показатели запасов капитала, называется методом непрерывной инвентаризации (МНИ). Для данного типа актива динамические ряды валового накопления основного капитала дефлятируются с помощью индекса цен покупателей того же самого типа актива, с тем чтобы количества активов были оценены в ценах конкретного базисного периода. Эти динамические ряды в ценах базисного периода затем агрегируются, чтобы получить показатель запасов с учетом выбытия, снижения эффективности активов или потребления основного капитала, в зависимости от характера показателя запасов. Таким образом, получающийся показатель запасов оценен в ценах базисного периода. Этот базисный период может быть текущим периодом, и показатели запасов, оцененные таким способом, часто описываются как «запас капитала в текущих ценах». Однако это не вполне точно, поскольку применение МНИ предполагает необходимость дефлятирования для получения таких показателей. Таким образом, они представляют собой частный случай стоимостной оценки в постоянных ценах, а именно, стоимостной оценки в ценах текущего периода.

15.170 Даже когда МНИ не применяется, например, в случае прямых обследований активов, стоимостная оценка активов различного возраста не должна производиться по балансовой стоимости, которая отражает исторические цены. Согласованная стоимостная оценка требует, чтобы активы старых возрастов оценивались по ценам активов конкретных возрастов на момент времени, к которому относится обследование.

15.171 Следующий шаг заключается в агрегировании показателей динамики объема запасов отдельных типов активов. Использование цепных индексов, как обсуждалось ранее, является целесообразным при разработке рядов, которые охватывают длительные периоды в прошлом, поскольку структура цен текущего периода не будет репрезентативной.

15.172 Дальнейшие детали в отношении применения МНИ к различным типам запасов капитала и их измерения представлены в главе 20 и в «Измерении капитала» (Measuring Capital).

8. Компоненты добавленной стоимости

15.173 Показатели цен и объема, которые рассматривались до сих пор, относились, в основном, к потокам товаров и услуг, произведенных в качестве выпуска в процессе производства. Однако возможно разложить и некоторые другие потоки непосредственно на компоненты их цены и объема.

Оплата труда

15.174 Единицей количества оплаты труда может считаться один час работы данного типа и данного уровня квалификации. Как и в случае с товарами и услугами, следует различать работы различного качества и исчислять соотношения количеств для каждого отдельного типа работы. Цена, связанная с каждым типом работы, является оплатой труда за час; она может значительно варьироваться для различных типов работы. Показатель объема выполненной работы может быть подсчитан как среднее соотношений количеств различных видов работ, взвешенных с помощью показателей оплаты труда работников в предыдущем году или в установленном базисном году. С другой стороны, индекс «цен» может быть исчислен для работы путем исчисления средневзвешенного значения изменений почасовых ставок оплаты за различные виды работы, снова используя показатели оплаты труда в качестве весов. Если индекс объема типа Ласпейреса исчислен косвенным методом с помощью деления индекса текущей стоимости оплаты труда работников на индекс часовых ставок оплаты труда, последний должен быть индексом цен типа Пааше.

Налоги на продукты и субсидии на продукты

15.175 Налоги на продукты бывают двух видов: конкретные налоги, пропорциональные объему продукта, и налоги на стоимость, начисляемые на стоимость продукта. Показатель объема налога в первом случае может быть получен с помощью применения ставки конкретных налогов в базисном году к дефлятированным значениям текущей стоимости продуктов, облагаемых конкретным налогом, а во втором случае - применением ставок налога на стоимость в базисном году к дефлятированным текущим стоимостям продуктов, облагаемых налогом на стоимость. Можно получить соотношение между данными о налогах по текущей стоимости и данными о них в ценах базисного периода, однако трудно интерпретировать это соотношение как индекс цен, поскольку оно отражает изменение налоговых ставок и изменение структуры покупок товаров, облагаемых налогом. Расчеты для субсидий выполняются аналогичным образом.

15.176 Дополнительное обсуждение этого вопроса содержится в параграфах с 14.148 по 14.152.

Чистая прибыль и чистый смешанный доход

15.177 Когда ВВП определяется как разница между выпуском и промежуточным потреблением, плюс налоги на продукты, минус субсидии на продукты, валовая добавленная стоимость исчисляется балансовым методом как разность. Это положение верно в расчетах как в текущих ценах, так и в постоянных ценах. Для обеспечения тождества между различными оценками ВВП в постоянных ценах невозможно разложить валовую добавленную стоимость на компоненты цены и объема. Скорее, балансирующая статья описывается как исчисленная «в реальном выражении». Если имеются оценки объема потребления основного капитала и оплаты труда, чистую прибыль и чистый смешанный доход можно получить только в реальном выражении и без разложения на компоненты объема и цены. Таким образом, невозможно получить независимый показатель ВВП, исчисленный суммированием соответствующих показателей дохода, поскольку одна статья всегда получается балансовым методом .

15.178 Набор интегрированных показателей цен и объема в рамках концептуальной основы СНС фактически заканчивается показателем чистой прибыли. Концептуально невозможно разложить все потоки в счетах доходов СНС, включая текущие трансферты, на компоненты их цены и объема. Тем не менее, поток дохода может быть дефлятирован индексом цен на репрезентативный набор товаров и услуг, чтобы определить увеличение или уменьшение покупательной способности дохода, но этот подход весьма существенно отличается от разложения потока на компоненты его цены и объема. Конкретный случай, когда этот подход применяется, относится к исчислению влияния изменений условий внешней торговли на реальный доход, как это описано в разделе D.

9. Квартальные и годовые оценки

15.179 В принципе, те же самые методы, которые используются для исчисления годовых оценок объема, должны быть использованы для исчисления квартальных оценок объема. Руководящие принципы по источникам данных и методам для составления квартальных оценок цен и объема содержатся в главах 3 и 9 «Руководства по квартальным национальным счетам». Основными положениями являются те, которые описаны в параграфах с 15.45 по 15.50. На практике годовые данные являются обычно более полными и точными, чем квартальные. Хотя имеются важные исключения, такие как экспорт и импорт товаров, общая ситуация предполагает, что годовые данные опираются на больший объем информации и более точны, хотя и менее своевременны, чем квартальные данные. Поэтому целесообразный подход заключается в составлении сбалансированных ежегодных таблиц ресурсов и использования в текущих ценах и в ценах предыдущего года и в получении квартальных оценок, которые согласованы с ними. Этот подход обеспечивает исчисление сцепленных ежегодно квартальных индексов показателей объема Ласпейреса, хотя он также может быть адаптирован для получения сцепленных ежегодно квартальных индеков Фишера.

10. Итоговые рекомендации

15.180 Рекомендации, сформулированные выше по вопросам исчисления индексов динамики объема показателей национальных счетов, могут быть обобщены следующим образом:

a. Оценки индексов объема операций с товарами и услугами лучше всего получать на основе использования таблиц ресурсов и использования в ценах базисного периода, предпочтительно совместно и одновременно с оценками в текущих ценах. Это предполагает необходимость проведения расчетов на максимально возможном детальном уровне групп продуктов.

b. Обычно, но не всегда, лучше получать оценки объема, дефлятируя стоимость в текущих ценах с помощью соответствующего индекса цен, а не получать оценки объема напрямую. Поэтому очень важно иметь широкий набор различных индексов цен.

c. Индексы цен, используемые в качестве дефляторов, должны быть согласованы с дефлятируемыми стоимостями настолько точно, насколько это возможно, с точки зрения охвата, стоимостной оценки и периода времени.

d. Если не представляется возможным получать оценки добавленной стоимости в реальном выражении из таблиц ресурсов и использования и если либо оценки объема выпуска и промежуточного потребления ненадежны, либо последние отсутствуют, то удовлетворительные оценки могут часто быть получены с помощью индикатора выпуска, по крайней мере, в краткосрочной перспективе. Для квартальных данных этот подход предпочтителен, хотя при этом оценки должны быть согласованы с годовыми данными. Показатель выпуска, исчисленный с помощью дефлятирования, обычно предпочтительнее показателя, полученного экстраполяцией с помощью индикатора количества.

e. Оценки выпуска и добавленной стоимости в постоянных ценах и в реальном выражении могут исчисляться путем использования данных о затратах только в качестве крайней меры, поскольку они не отражают изменения производительности.

f. Предпочтительным показателем годовой динамики объема ВВП является индекс объема Фишера; изменения за более длинные периоды получают сцеплением, то есть накапливая изменения от года к году.

g. Предпочтительным показателем годового изменения цен ВВП и других агрегатов является, таким образом, индекс цен Фишера; изменения за более длинные периоды получают сцеплением изменений цен от года к году или косвенным образом, деля индекс стоимости в текущих ценах на цепной индекс объема Фишера.

h. Цепные индексы, которые используют индексы объема Ласпейреса для измерения годовой динамики объема ВВП, и связанные с ними индексы цен Пааше (исчисленные косвенным методом), измеряющие годовую динамику цен, являются приемлемой альтернативой индексам Фишера.

i. Цепные индексы для агрегатов не могут быть аддитивно согласованными со своими компонентами, какая бы формула индекса ни использовалась, но это не должно препятствовать получению динамических рядов стоимостей путем экстраполяции показателей в базисном году, используя соответствующие цепные индексы.

j. Наиболее обоснованный подход для получения квартальных оценок в текущих ценах и оценок объемов состоит в приведении их к базе годовых оценок, полученных на основе данных таблиц ресурсов и использования. Этот подход пригоден для получения сцепленных ежегодно квартальных показателей объема с использованием формул Фишера либо Ласпейреса.

D. Показатели реального дохода для экономики в целом

1. Концепция реального дохода

15.181 Многие потоки в СНС, такие как денежные трансферты, не имеют параметров цены и количества и поэтому не могут быть разложены на компоненты таким же образом, как потоки товаров и услуг. Хотя такие потоки не могут быть исчислены в постоянных ценах для измерения динамики объемов, они, тем не менее, могут быть измерены «в реальном выражении» путем дефлятирования их стоимости с помощью индексов цен, чтобы измерить их реальную покупательную способность в отношении некоторой выбранной корзины товаров и услуг.

15.182 С помощью такого подхода можно дефлятировать любой поток дохода в счетах, и даже такая балансирующая статья, как сбережение, может быть дефлятирована индексом цен, чтобы измерить покупательную способность этой статьи в отношении некоторого набора товаров и услуг. Сравнивая дефлятированную стоимость дохода с фактической стоимостью дохода в базисном периоде, можно определить, насколько увеличилась или уменьшилась покупательная стоимость дохода. Доход, дефлятированный таким методом, называется «реальным доходом».

15.183 Несмотря на используемую терминологию, «реальные» доходы представляют собой искусственную конструкцию, которая зависит от двух точек отсчета:

a. Реальные доходы измеряются по отношению к уровню цен в некотором выбранном базисном году; они изменяются в зависимости от выбора базисного года.

b. Реальные доходы измеряют изменения покупательной способности для некоторого набора продуктов; они изменяются в зависимости от выбора этого набора.

15.184 Поскольку часто не может быть очевидного и бесспорного выбора набора продуктов, всегда имело место некоторое нежелание показывать реальные доходы в национальных счетах на том основании, что выбор базы сравнения следует предоставить потребителям статистики, а не ее разработчикам. Однако, когда происходят существенные изменения цен, можно утверждать, что разработчики статистики должны предоставлять хотя бы какие-нибудь показатели реального дохода. Не у всех потребителей данных счетов есть возможность, предпочтения или опыт, чтобы рассчитать реальные доходы, которые лучше всего соответствовали бы их потребностям. Кроме того, у многих потребителей данных имеется спрос на многоцелевые показатели реального дохода, по крайней мере, на уровне экономики в целом, и цель данного раздела состоит в том, чтобы пояснить, как можно исчислить такие показатели.

2. Торговые прибыли и убытки вследствие изменений в условиях внешней торговли

15.185 В закрытой экономике без экспорта или импорта ВВП равен сумме конечного потребления и валового накопления капитала. Эта сумма называется конечными внутренними расходами. ВВП также является показателем дохода, произведенного экономикой в ходе производства товаров и услуг. Хотя доход не может быть выражен как произведение цен и объемов, но если ВВП можно дефлятировать, то он, по сути, является показателем дохода в реальном выражении. Однако с добавлением импорта и экспорта ВВП уже не будет идентичен конечным внутренним расходам, а дефлятирование ВВП должно предполагать дефлятирование импорта и экспорта, как и конечных внутренних расходов. Даже если текущие стоимости импорта и экспорта равны, для них характерны различные цены, и, таким образом, это оказывает влияние на показатели реального дохода. Это влияние обычно определяют, рассматривая условия внешней торговли и вычисляя показатель, который называется торговыми прибылями и убытками вследствие изменений в условиях внешней торговли.

15.186 Далее, общая величина реального дохода, которую резиденты получают от отечественного производства, зависит также от соотношения валютного курса, по которому происходят экспортные операции, с курсом, применяемым в операциях с импортом.

15.187 Условия внешней торговли определяются как отношение цены экспорта к цене импорта. Если цены экспорта страны растут быстрее (или падают медленнее), чем цены ее импорта (то есть, если условия ее внешней торговли улучшаются), то необходимо меньше экспорта, чтобы оплатить данный объем импорта, так что при данном уровне отечественного производства товары и услуги могут быть перераспределены от экспорта к потреблению и валовому накоплению капитала. Таким образом, улучшение условий торговли позволяет резидентам покупать больший объем товаров и услуг на доходы, произведенные при данном уровне отечественного производства.

15.188 Реальный валовой внутренний доход (реальный ВВД) измеряет покупательную способность совокупных доходов, созданных отечественным производством. Это концепция, которая существует только в реальном выражении. Когда условия внешней торговли меняются, могут возникнуть существенные расхождения между динамикой объема ВВП и динамикой реального ВВД. Разница между динамикой объема ВВП и динамикой реального ВВД обычно называется «торговыми прибылями» (или убытками) или, если посмотреть с другой стороны, торговые прибыли или убытки вследствие изменений в условиях внешней торговли - это разница между показателем реального ВВД и показателем объема ВВП в ценах базисного периода. Различия между динамикой объема ВВП и динамикой реального ВВД не всегда бывают маленькими. Если импорт и экспорт значительны по отношению к ВВП, и если товарная структура товаров и услуг, составляющих импорт и экспорт, сильно различается, то величина торговых прибылей и убытков может быть существенной. Это может, например, произойти, когда экспорт страны состоит, в основном, из небольшого числа сырьевых материалов, таких как какао, сахар или нефть, в то время как импорт, в основном, состоит из промышленных товаров. Торговые прибыли и убытки T обычно измеряются по следующей формуле :

Chapter 15_html_e70851868804b11e.jpg

где:

X - экспорт в текущих ценах;

M - импорт в текущих ценах;

Px - индекс цен для экспорта;

Pm - индекс цен для импорта;

P - индекс цен, основанный на некотором выбранном наборе продуктов.

Px, Pm и P все равны единице в базисном году. Выражение в скобках измеряет сальдо торговли, исчисленное в ценах экспорта и импорта базисного года, а первое выражение измеряет фактическое текущее сальдо торговли, дефлятированное с помощью индекса цен отобранного набора продуктов. Вполне возможно, что одно выражение будет иметь знак, противоположный другому.

15.189 Следует сделать важный выбор при измерении торговых прибылей и убытков, который касается индекса цен P, применяемого для дефлятирования текущего сальдо внешней торговли. Имеется обширная литература по данной теме, отражающая различные точки зрения, но один момент, по которому достигнуто общее согласие, состоит в том, что выбор P может иногда оказывать существенное влияние на результаты. Таким образом, измерение реального ВВД может иногда существенно зависить от выбора P, и это мешает достижению консенсуса по данному вопросу.

15.190 Нет необходимости пытаться суммировать здесь все различные аргументы в пользу одного дефлятора, а не другого, но полезно отметить основные альтернативы, рекомендованные для P. Их можно сгруппировать в три класса следующим образом:

a. Одна из возможностей состоит в том, чтобы дефлятировать текущее сальдо торговли X-M либо с помощью индекса цен импорта (что имеет особенно сильную поддержку), либо с помощью индекса цен экспорта, хотя некоторые эксперты утверждают, что выбор между Pm и Px должен зависеть от того, отрицательно или положительно текущее сальдо внешней торговли.

b. Вторая возможность состоит в том, чтобы дефлятировать текущее сальдо по среднему из Pm и Px; были предложены разные формулы исчисления среднего: простое арифметическое среднее или гармоническое среднее, либо более сложные формулы средних с весами.

c. Третья возможность состоит в том, чтобы дефлятировать текущее сальдо некоторым общим индексом цен, не исчисленным на основе данных о внешней торговле; например, индексом цен для валовых внутренних конечных расходов или индексом потребительских цен.

15.191 Неудачные попытки договориться о едином дефляторе отражают тот факт, что ни один дефлятор не является оптимальным для всех обстоятельств. Выбор дефлятора может зависеть от таких факторов, как профицит или дефицит текущего торгового баланса, размеры импорта и экспорта по отношению к ВВП и т.п. С другой стороны, есть общее согласие о том, что очень желательно и для некоторых стран жизненно важно исчислять торговые прибыли и убытки вследствие изменений в условиях внешней торговли. Чтобы выйти из этого тупика, рекомендуется действовать следующим образом:

a. Торговые прибыли или убытки, определенные выше, следует отражать как неотъемлемую часть СНС;

b. Выбор надлежащего дефлятора для текущего сальдо внешней торговли следует предоставить органам статистики стран с учетом конкретных обстоятельств соответствующей страны;

c. Если органы статистики страны не уверены, какой должен быть наиболее подходящий общий дефлятор P, тогда рекомендуется использовать некоторую среднюю величину индексов цен импорта и экспорта; наиболее простой и понятной является формула невзвешенного среднего арифметического индексов цен импорта и экспорта. (В специальной литературе по этой теме этот метод упоминается как метод Гири).

15.192 Цель этих предложений - гарантировать, чтобы отсутствие договоренности по вопросу об едином дефляторе не препятствовало исчислению показателя реального дохода. Некоторые показатели торговой прибыли должны исчисляться всегда, даже если разные страны не используют один и тот же тип дефлятора. Если существует неопределенность в вопросе о выборе дефлятора, то, скорее всего, подойдет среднее индексов цен импорта и экспорта.

3. Взаимосвязь между показателями объема ВВП и агрегатами реального дохода

15.193 Обычный способ исчислить показатель реального дохода заключается в том, чтобы начинать расчет с реального ВВП, а затем следовать обычной последовательности агрегатов дохода, но при каждой промежуточной корректировке производить дефлятирование для получения показателей в реальном выражении. Это можно проиллюстрировать следующим образом:

a. Валовой внутренний продукт в ценах базисного периода;

плюс торговые прибыли или убытки вследствие изменений в условиях внешней торговли;

b. равняется реальный валовой внутренний доход;

плюс реальные первичные доходы, подлежащие получению из-за границы;

минус реальные первичные доходы, подлежащие выплате за границу;

c. равняется реальный валовой национальный доход;

плюс реальные текущие трансферты, подлежащие получению из-за границы;

минус реальные текущие трансферты, подлежащие выплате за границу;

d. равняется реальный валовой национальный располагаемый доход;

минус потребление основного капитала в ценах базисного периода;

e. равняется реальный чистый национальный располагаемый доход.

15.194 Переход от (a) к (b) - это торговая прибыль вследствие изменений в условиях внешней торговли, о чем было сказано выше. Шаги, необходимые для перехода от (b) к (d) выше, включают дефлятирование потоков между резидентами и нерезидентами, а именно, первичных доходов и текущих трансфертов, подлежащих получению из-за границы и подлежащих выплате за границу. Может не оказаться автоматического выбора дефлятора цен, но рекомендуется, чтобы покупательная способность этих потоков была выражена на основе широко используемого набора товаров и услуг, конкретно - набора товаров и услуг, которые составляют валовые внутренние конечные расходы. Разумеется, этот индекс цен должен быть определен согласованно с индексами объема и цен для ВВП.

15.195 Каждый шаг в этом процессе должен сначала быть рассчитан для смежных лет в аддитивных показателях объема, а более длинные ряды следует получать с помощью цепных индексов.

15.196 Возможный альтернативный подход заключается в том, чтобы перейти от ВВП в ценах базисного периода к чистым внутренним конечным расходам в ценах базисного периода, после чего сделать одну корректировку на влияние текущего сальдо внешней торговли на покупательную способность, используя дефлятор для чистых конечных внутренних расходов, чтобы получить текущее сальдо внешней торговли в реальном выражении. Преимущество этого альтернативного подхода состоит в том, что на всех стадиях используется один набор товаров и услуг, составляющих валовые внутренние конечные расходы. Поэтому может оказаться проще понять важность реального чистого национального располагаемого дохода, поскольку его дефлятор является явным.

15.197 Однако против альтернативной схемы с использованием дефлятора для чистых внутренних конечных расходов в качестве общего дефлятора P для торговых прибылей или убытков вследствие изменений в условиях внешней торговли, могут быть возражения, состоящие в том, что P должен быть всегда основан на потоках внешней торговли. Поэтому, при прочих равных условиях, следует отдать предпочтение первоначальной схеме, представленной выше.

E. Международные сопоставления цен и объема

1. Введение

15.198 Потребители статистических данных хотели бы сравнить ВВП и его компоненты не только во времени для данной страны или стран, например, анализируя экономический рост, но также и для разных стран в данный период времени для анализа относительных размеров экономики. Часто для таких сопоставлений используется метод, при котором показатели национальных счетов оцениваются в единой валюте с использованием обменных валютных курсов. Этот подход имеет то преимущество, что данные об обменных курсах могут быть легко получены и полностью современны. Результаты будут адекватными, если потребителям данных необходимо ранжировать страны на мировом рынке по показателям относительной покупательной способности. Однако этот подход не будет адекватным для сопоставлений производительности и уровней жизни, потому что он не предусматривает корректировки на различия в уровнях цен стран и, таким образом, не обеспечивает получения показателей относительного объема производимых в странах товаров и услуг.

15.199 Для получения надежного набора оценок уровней экономической деятельности разных стран, оцененных в единой валюте, используются паритеты покупательной способности (ППС). Паритет покупательной способности (ППС) определяется как число единиц валюты страны B, необходимое в стране B, чтобы приобрести такое же количество товаров и услуг, которое можно приобрести за одну единицу валюты страны A в стране A. Как правило, ППС страны выражается в валюте базовой страны, при этом обычно используется доллар США. Таким образом, ППС представляют собой средневзвешенные соотношения цен сопоставимых между странами товаров и услуг в национальных валютах стран. Используемые в качестве дефляторов, они позволяют осуществлять международные сопоставления ВВП и его компонентов.

15.200 В этом разделе вначале рассматриваются вопросы применения индексов для сопоставлений агрегатов цен и объемов разных стран. Реализация Программы международных сопоставлений (ПМС) позволяет получить сопоставимые в международном плане показатели объемов экономических агрегатов, а также ППС и индексы уровня цен (ИУЦ). ПМС была создана в 1968 году; в процессе ее развития она распространилась на все регионы мира и в сопоставлении за 2005 год охватила 107 стран. Ее результаты были объединены с результатами программы ППС ОЭСР/Евростата для 43 стран, что обеспечило в совокупности охват 150 стран.

15.201 Исчисление показателей с помощью ППС является дорогостоящим проектом, требующим больших затрат времени, поэтому такие сопоставления невозможно осуществить без соответствующей подготовки и планирования. Необходима международная координация, чтобы собрать необходимые данные и получить оценки, основанные на ППС. Однако разработчики национальных счетов в странах-участницах ПМС должны быть знакомы с основными принципами международных сопоставлений и требованиями, предъявляемыми к ним в отношении данных, необходимых для исчисления ППС и проведения сопоставлений ВВП. Этот материал является предметом последней части данного раздела.

2. Вопросы, связанные с индексами

15.202 Теорию индексов, разработанную в контексте составления динамических рядов, нельзя применить механически к международным сопоставлениям простой заменой слова «период» на слово «страна». Международные сопоставления отличаются от динамических сопоставлений во многих отношениях.

a. Динамические ряды выстраиваются по датам наблюдения, но для стран не существует возможности такого ранжирования a priori. В результате не существует заранее определенного способа ранжировать страны при исчислении цепных индексов.

b. Для международных сопоставлений цен те, кто собирают информацию о ценах, будут представлять данные о ценах на продукты, производимые в разных странах. При этом возникает потребность в разработке гибкого, но детального «стандартизированного описания продукта» (СОП) для каждого продукта, чтобы обеспечить сопоставление цен аналогичных продуктов либо путем сопоставления цен продукта точно той же самой спецификации, разработанной в СОП, в обеих странах, либо путем корректировки цен на различия в качестве продуктов различной спецификации, полученной из СОП.

c. Международные сопоставления проводятся на менее регулярной основе частично потому, что они представляют собой значительную проблему координации, в решение которой вовлечены как статистические учреждения стран-участниц, так и международные организации.

15.203 В основе ППС лежат сопоставления цен идентичных продуктов или имеющих близкие спецификации. Раунд ПМС 2005 года использовал СОП, чтобы определить эти спецификации и обеспечить высокое качество детального сопоставления цен. Для каждого продукта разработана спецификация, подробно описывающая технические характеристики продукта, с тем чтобы те, кто собирают информацию о ценах, могли точно идентифицировать его на отечественном рынке. Помимо технических характеристик спецификация должна также включать другие переменные, которые следует учитывать при определении цен продукта, такие, как условия продаж, аксессуары, расходы на транспортировку и установку. База данных, сформированная на основе этих стандартизированных описаний продуктов и собранных цен на них, позволяет осуществлять более точное согласование аналогичных продуктов между странами.

Репрезентативность и сопоставимость

15.204 Двумя ключевыми критериями при отборе продуктов, цены которых будут использоваться при исчислении ППС, являются «репрезентативность» и «сопоставимость». Репрезентативные продукты - это такие продукты, которые часто покупаются домашними хозяйствами-резидентами и, вероятно, широко распространены в стране. Репрезентативность является важным критерием для ПМС, потому что уровни цен нерепрезентативных продуктов обычно бывают выше, чем для репрезентативных продуктов. Поэтому, если одна страна использует цены репрезентативных продуктов, в то время как другая - нерепрезентативных продуктов в той же самой категории расходов, то сопоставления цен между странами будут искажены. С другой стороны, сопоставимость относится к физическим и экономическим характеристикам продукта. Продукты считаются сопоставимыми, если их физические характеристики, такие как размер и качество, и экономические характеристики, такие, например, как использование свечей как основного источника света или для декоративных целей, являются идентичными.

15.205 На практике существует проблема достижения компромисса при отборе продуктов-представителей, которые являлись бы одновременно и репрезентативными и сопоставимыми, чтобы использовать их цены для исчисления ППС. Списки продуктов-представителей для исчисления ППС разрабатывают таким образом, чтобы сбалансировать конфликтующие требования обеспечения репрезентативности в пределах одной страны и сопоставимости между странами. По этой причине они обычно сильно отличаются от продуктов, которые оцениваются в отдельных странах для исчисления их индексов цен (таких как индекс потребительских цен или любой из индексов цен производителей), используемых для исчисления дефляторов, применяемых для расчета показателей динамики объема в динамических рядах показателей национальных счетов. В случае динамических рядов в пределах страны ключевым критерием для отбора продуктов, подлежащих оценке, является репрезентативность, в то время как обеспечение сопоставимости с другими странами не является первостепенной задачей. Когда репрезентативный продукт отобран для получения цены, важным становится вопрос о цене того же самого продукта в последующих периодах, чтобы изменения цены продукта могли бы быть измерены во времени. Для ПМС репрезентативность требуется только для данного периода времени, но не для ряда периодов времени.

Агрегирование

15.206 ППС исчисляются и агрегируются в два этапа: оценка ППС на уровне первичных (наименьших) товарных групп и агрегирование их, чтобы сформировать ППС для агрегатов более высокого уровня. Оценка ППС на уровне первичных товарных групп основана на соотношениях цен на отдельные продукты-представители разных стран. Обычно информация о количествах и стоимостях в пределах первичных товарных групп не имеется, и, таким образом, соотношения цен продуктов не могут быть взвешены в явном виде для получения ППС для первичной товарной группы в целом. Для исчисления ППС на этом уровне, как правило, используются два метода агрегирования: метод ЭКШ, описанный ниже, и метод товарно-страновых условных переменных. Описание этих методов можно найти в главе 11 «Методологического руководства ПМС 2005 года». Веса приобретают первостепенную важность на второй стадии, когда ППС для первичных товарных групп агрегируют до уровня ППС для более широких групп и ВВП в целом. Основные подходы, используемые при агрегировании, обобщены в следующих параграфах.

Прямые двусторонние сопоставления

15.207 Как было описано в разделе C, стоимость ВВП или одного из его компонентов (IV) одновременно отражает различия в ценах и количествах, то есть: LP × PQ = IV или LQ × PP = IV. Можно исчислить индексы цены и объема для пар стран, используя те же самые формулы индексов, которые применяются для измерения изменений цен во времени. Индекс цен типа Ласпейреса для страны B по сравнению со страной A определяется как:

Chapter 15_html_18dceb359b098d77.jpg

а индекс типа Паше - как:

Chapter 15_html_f6425c02e90bdd12.jpg

где веса Chapter 15_html_81658997a7dfb7ea.jpg и Chapter 15_html_cf138f64f0e82475.jpg - это доли компонентов ВВП в текущих ценах стран A и B, соответственно.

15.208 Учитывая взаимосвязь между индексами цен и объема Ласпейреса и Пааше, упомянутую выше, следует отметить, что индекс объема типа Ласпейреса для B по сравнению с A может быть получен делением соотношения между стоимостью показателя в B и стоимостью показателя в A на индекс цен типа Пааше (20b) при условии, что каждая стоимость выражена в валюте своей страны. Аналогичным образом, индекс объема типа Пааше исчисляется делением соотношения стоимостей в B и A на индекс цен типа Ласпейреса (20a).

15.209 Различия между структурами относительных цен и количеств для двух различных стран, как правило, более существенны, чем между периодами времени для той же самой страны. Получающееся большое расхождение между индексами цен и объема типа Ласпейреса и типа Пааше в международных сопоставлениях говорит в пользу применения такой формулы индекса, как формула Фишера, которая симметрично использует информацию обеих стран о ценах и количествах.

Многосторонние сопоставления

15.210 Потребность в многосторонних международных сопоставлениях может возникнуть при сравнении ВВП для группы стран, состоящей более, чем из двух стран, или для ранжирования объемов ВВП или ВВП на душу населения всех стран группы. Желательно, чтобы такое ранжирование было транзитивным.

Транзитивность

15.211 Рассмотрим группу из m стран. Поскольку для любой пары стран могут быть проведены двусторонние прямые сопоставления объемов и цен, полное число таких сопоставлений будет равно m(m-1)/2. Пусть индекс цен или объема страны j по сравнению со страной i будет обозначен как iIj. Набор индексов называется транзитивным, когда для каждой пары индексов в наборе соблюдается следующее равенство:

Chapter 15_html_1de9cddd3cdaa453.jpg

Это равенство означает, что прямой двусторонний индекс страны k по сравнению со страной i равен косвенному индексу, полученному умножением прямого двустороннего индекса страны по сравнению со страной i на прямой двусторонний индекс страны k по сравнению со страной j. Если весь набор индексов является транзитивным, то косвенные индексы, соединяющие пары стран, будут всегда равны соответствующим прямым индексам. На практике ни одна из стандартных формул индексов, таких как формулы Ласпейреса, Пааше или Фишера, не обеспечивает транзитивность.

    1. Цель состоит в том, чтобы разработать метод многосторонних сопоставлений, который обеспечил бы транзитивный набор показателей цен и объема и в то же время придавал бы равный вес всем странам. Существуют четыре весьма различных подхода к решению этой задачи. Первый подход обеспечивает транзитивность, используя средние цены для группы стран, которые применяются затем для расчета многосторонних индексов объема. При втором подходе начинают с прямых двусторонних сопоставлений между всеми возможными парами стран и преобразуют их таким образом, чтобы обеспечить требование транзитивности. Третий метод основан на применении уравнений регрессии, чтобы получить оценку отсутствующих цен, используя соотношения цен для других продуктов на основе сравнения страны со страной. Четвертый метод - многосторонний цепной метод - основан на сцеплении результатов прямых двусторонних сопоставлений, при котором результаты сопоставлений стран с наиболее схожей структурой цен сцепляются в первую очередь.

Блоковый подход (для группы стран)

15.213 Наиболее широко используемая форма блокового подхода (для группы стран) заключается в использовании средних цен для группы стран, чтобы оценить в них количества во всех странах блока. Этот подход автоматически обеспечивает транзитивность. Индекс объема для страны B по отношению к стране A определяется в первом выражении уравнения (22) как:

Chapter 15_html_64c2ee152868a993.jpg

и, как очевидно, является транзитивным. Средняя цена Chapter 15_html_99a198cd9d026156.jpg для каждого отдельного продукта определяется как его общая стоимость для всех стран группы в некоторой общей валюте, деленная на его общее количество:

Chapter 15_html_bb2f6eb13f1ea599.gif

и суммирование производится по m различным странам блока. Параметр Chapter 15_html_56c07faf84555094.jpg в выражении (23) предназначен для конвертирования национальных валют в общую валюту. Этот параметр может быть либо рыночным обменным курсом, либо ППС, используемым для пересчета расходов каждой страны на продукт i vi = piqi в общую валюту.

15.214 Наиболее распространенным методом для блока стран (группы стран) является метод Гири-Камиса (ГК), в котором для конвертирования национальных валют в выражении (23) используются ППС, предполагая, что индексы объема определены в (22). По этому методу средние международные цены и ППС являются взаимозависимыми переменными, поскольку они определяются одновременно на основе решения системы взаимосвязанных уравнений. На практике их можно исчислять последовательными итерациями: вначале, например, можно использовать обменные курсы в качестве коэффициента конвертирования национальных валют в общую валюту. Получающиеся индексы объема можно затем использовать, чтобы получить набор приблизительных ППС, которые далее, в свою очередь, применять, чтобы исчислить второй набор средних цен, индексов объема, ППС и т.д.

15.215 Преимущества блокового метода, такого как метод ГК, состоят в следующем:

a. Блок стран рассматривается как некоторая самостоятельная единица;

b. Использование единого вектора цен обеспечивает транзитивность, а показатели объема аддитивны и могут быть представлены в стоимостном выражении, используя средние цены для блока (можно представить результаты для группы стран в табличной форме, где страны показаны в столбцах, а компоненты конечных расходов - в строках, при этом стоимости можно суммировать как по столбцам, так и по строкам); и

c. Можно сравнивать относительные показатели, например, доли в ВВП валового накопления основного капитала, так как для всех стран используется один и тот же вектор цен.

15.216 Однако результаты сопоставления для любых двух стран, основанные на многосторонних сопоставлениях для блока стран, могут быть не оптимальными. В описании транзитивности было показано, что лучшие методы сопоставления цен и объема между странами A и B должны симметричным образом использовать информацию об их ценах и количествах. Если относительные цены страны A выше средних, а страны B - ниже, то использование средних цен относительно снижает расходы страны A, оцененные в средних международных ценах, и повышает расходы страны B, по сравнению со страной, цены которой ближе к международным средним ценам. Такой феномен часто наблюдается при сопоставлении услуг в развитых и развивающихся странах. Соответственно, при использовании метода ГК расходы, основанные на оценке по ППС, будут обычно относительно завышены для более бедных стран.

Подход, основанный на использовании результатов прямых двусторонних сопоставлений

15.217 Альтернативный подход к исчислению набора многосторонних показателей объема и ППС использует в качестве отправной точки результаты прямых двусторонних сопоставлений для всех возможных m(m-1)/2 пар стран. Если каждое прямое двустороннее сопоставление рассматривать изолированно, то предпочтительным показателем результата сопоставления, скорее всего, будет индекс Фишера.

15.218 Индексы Фишера не являются транзитивными, но используя критерий наименьших квадратов, можно получить на их основе ряд m-1 транзитивных индексов, которые будут настолько максимально близки к исходным индексам Фишера, насколько это возможно при соблюдении требования транзитивности. Минимизация отклонений транзитивных индексов от исходных индексов Фишера обеспечивается с помощью формулы ЭКШ, предложенной Элтэто, Кэвешем и Шульцем независимо друг от друга.

15.219 Индекс ЭКШ для стран i и k является средним геометрическим между прямым индексом для стран i и k и каждым возможным косвенным индексом для стран i и k, в котором прямому индексу придается двойной вес. Транзитивность для любой пары стран из блока обеспечивается путем включения каждой страны из блока в индекс ЭКШ для любой пары стран.

15.220 Индекс ЭКШ:

a. обеспечивает наилучший возможный транзитивный показатель для отдельного агрегата для любой пары стран почти таким же образом, как цепной индекс Фишера может обеспечить наилучший возможный показатель динамики отдельного агрегата во времени;

b. придает равные веса двум сопоставляемым странам; и

c. на него не влияют относительные размеры стран, что является желаемым свойством.

Однако последствия использования формулы ЭКШ сходны с теми, которые возникают при использовании цепных индексов в контексте динамических рядов. Они состоят в том, что не представляется возможным преобразовать индексы объема для агрегата и его компонентов в набор аддитивно согласованных стоимостей. Этим метод ЭКШ отличается от метода ГК.

Кольцевые сопоставления

15.221 Обзор вышеупомянутых методов предполагает, что существует один набор результатов сопоставлений, охватывающий все страны блока стран. С увеличением числа стран-участниц сопоставлений становится все более трудным делом управлять ими как единой группой. Более того, становится более сложным находить продукты, которые были бы одновременно репрезентативными в каждой стране и сопоставимыми в международном плане для стран, которые находятся далеко друг от друга, как географически, так и по уровню своего экономического развития. В связи с этим становятся очевидными преимущества регионального подхода к исчислению ППС. Для каждого региона подготавливают спецификации продуктов, и на региональном уровне исчисляют показатели ППС для стран данного региона.

15.222 Хотя такой подход, вероятно, улучшает качество ППС на региональном уровне, но все равно остается необходимость агрегирования результатов региональных сопоставлений для получения результатов глобального сопоставления. Традиционно принято выбирать «страну-мост», которая обеспечивала бы связь между регионами. Страна-мост принимает участие в обследованиях цен в более, чем одном регионе. Кольцевой подход расширяет эту идею и идентифицирует некоторое число стран в каждом регионе в качестве «кольцевых стран». Эти страны образуют искусственный «регион», который пересекается со всеми регионами, результаты сопоставлений которых необходимо агрегировать.

15.223 Выбор метода зависит от ряда факторов, включающих цель анализа, уровень агрегирования, наличие данных, проводится ли агрегирование в пределах регионов, кольцевых стран или для всего набора данных, а также от того, какое значение придается обеспечению аддитивности и симметричной трактовке стран.

3. Практические соображения для разработчиков национальных счетов

ППС и национальные счета

15.224 Одним из наиболее важных направлений применения ППС является получение сопоставимых в международном плане оценок ВВП и его главных компонентов, оцененных в общей валюте, что предполагает исключение влияния различий в уровнях цен стран. Национальные счета необходимы для получения оценок ППС в двух отношениях. Во-первых, национальные счета обеспечивают веса, которые используются для агрегирования индексов цен, начиная с наиболее детального уровня до более широких агрегатов, вплоть до ВВП. Во-вторых, национальные счета предоставляют данные о стоимостях, которые «дефлятируются» с помощью ППС, чтобы получить показатели объемов (они также называются «реальными расходами»), оцененные в общей валюте, что позволяет проводить сопоставление ВВП и его компонентов между странами.

15.225 Процедура исчисления ППС также позволяет получить индексы сопоставимых уровней цен (ИУЦ). ИУЦ представляет собой отношение ППС для страны к официальному обменному курсу при условии, что они оба определены по отношению к базисной валюте. ИУЦ обычно исчисляются по сравнению с базой, принятой за 100, где в качестве базы принимают показатель для отдельной страны либо среднее значение для региона.

15.226 Если у страны значение ИУЦ меньше 100, то ее уровень цен ниже, чем в стране, принятой в качестве базы (или регионе). Аналогичным образом, можно сопоставить показатели непосредственно для любой пары стран. Если у одной из стран ИУЦ ниже, чем у другой, то страна с относительно низким ИУЦ считается более «дешевой» по сравнению с другой независимо от того, выше или ниже 100 ее ИУЦ.

15.227 На практике ППС не меняются быстро с течением времени, поэтому значительные изменения в ИУЦ той или иной страны обычно связаны с изменением обменных курсов.

15.228 Важно различать показатели объемов в ПМС и показатели объемов в динамических рядах, описанных выше в данной главе, так как это различные показатели, хотя между ними есть сходство, состоящее в том, что они оба разработаны для измерения стоимостей, прямое влияние изменений цен на которые устранено. В динамических рядах показателей объемов влияние изменения цен от одного периода к другому устраняется для того, чтобы получить показатели объема, на основе которых исчисляются показатели темпов экономического роста. В случае международных сопоставлений, которые обеспечивают основу для исчисления показателей объемов с помощью ППС, влияние различий, обусловленных обменными курсами или различными уровнями цен в каждой стране, устраняется из показателей национальных счетов для того, чтобы обеспечить сопоставление показателей объемов между странами.

15.229 Самый низкий уровень агрегирования, для которого можно сопоставлять ППС для всех стран, участвующих в сопоставлении, является уровень первичных (наименьших) товарных групп, и это также самый низкий уровень, для которого данные национальных счетов необходимы для получения весов. По сути дела, данные национальных счетов обеспечивают веса для агрегирования ППС от уровня первичных товарных групп до более широких агрегатов СНС, вплоть до ВВП. Первичная товарная группа является также уровнем, для которого определяются спецификации товаров-представителей; для каждой первичной товарной группы подбирается некоторое число товаров-представителей, цены которых должны быть определены.

15.230 На протяжении последних пятидесяти лет в большинстве сопоставлений, основанных на применении ППС, использовались оценки ВВП, исчисленные методом конечного использования (то есть полученные суммированием расходов на конечные товары и услуги), так как цены в отношении конечных расходов получить проще, чем для выпуска и промежуточного потребления, что требуется для сопоставлений ВВП, исчисленного производственным методом. Для получения сопоставимых оценок по странам критически важной является согласованность данных в национальных счетах, поэтому СНС играла важную роль в сопоставлениях, основанных на ППС, обеспечивая концептуальную основу для получения согласованных оценок ВВП и его основных компонентов.

15.231 ПМС является наиболее широким проектом по исчислению ППС; около 150 стран мира участвовало в раунде ПМС 2005 года. Оценки показателей объема в единой валюте, полученные в ПМС 2005 года, представляют моментальный снимок соотношений уровней экономик различных стран мира. ПМС - это очень дорогостоящий и требующий значительных затрат проект, поэтому он обеспечивает базисную оценку с нерегулярными интервалами. В результате базисную оценку ППС, подобную той, которая получена в результате ПМС 2005 года, следует экстраполировать с помощью динамических рядов индексов, исчисленных в национальных счетах стран, участвующих в сопоставлении. Представляет интерес сопоставление результатов экстраполяции базисных оценок, полученных с использованием двух наборов ППС, исчисленных с интервалом в несколько лет. На практике экстраполированные ряды не совпадают точно с новыми базисными оценками, и существует несколько причин возникновения различий между ними. Важной проблемой является обеспечение согласованности между ценами, используемыми в динамических рядах показателей национальных счетов, и ценами, используемыми при исчислении ППС, что пояснялось выше в разделе о репрезентативности и сопоставимости. Более того, структуры цен и объемов могут значительно меняться в течение периода времени, и эти изменения могут не быть учтены методами экстраполяции.

Почему темпы роста, полученные в рамках ПМС, отличаются от темпов роста в национальных счетах?

15.232 Для экстраполяции ППС за период между двумя сопоставлениями обычно применяется метод, заключающийся в использовании соотношения дефляторов, используемых в национальных счетах каждой страны, и в базисной стране (обычно - Соединенных Штатах Америки), чтобы экстраполировать ППС, использованные для получения базисной оценки результатов сопоставления. Полученные ППС затем применяются к соответствующему показателю национальных счетов, чтобы получить показатели объемов, оцененные в общей валюте для данного года.

15.233 Теоретически наилучший метод экстраполяции ППС базисной оценки мог бы состоять в использовании динамического ряда индексов цен на уровне отдельных продуктов каждой страны, участвующей в ПМС, чтобы экстраполировать цены отдельных продуктов, включенных в базисную оценку ПМС. На практике не представляется возможным использовать процедуру такого рода для экстраполяции базисной оценки, полученной с использованием ППС, так как не во всех странах имеются необходимые детальные данные о ценах. Поэтому в целом принят подход, основанный на экстраполяции на макроуровне (для ВВП или для компонентов ВВП). Если оставить в стороне проблемы с получением согласованных данных от участвующих стран, то для этого процесса возникает основной концептуальный вопрос: можно показать математически, что невозможно обеспечить согласованность данных одновременно во времени и в пространстве. Другими словами, экстраполяция ППС с использованием динамических рядов индексов цен на таком уровне, как ВВП, не обеспечит соответствия с новой базисной оценкой с помощью ППС, даже если все данные будут абсолютно согласованы между собой.

15.234 Одна из причин различий между динамическими рядами ВВП и результатами сопоставлений на основе ППС связана со спецификацией продуктов. Как объясняется в параграфах 15.66 и 15.67, существенной характеристикой продукта в национальных счетах является место, где он произведен, тогда как в сопоставлениях на основе ППС используются средние цены для страны в целом. Другая причина состоит в том, что структура весов, используемых для исчисления дефляторов в динамических рядах в национальных счетах, отличается от структуры весов, которые используются для сопоставления на основе ППС. Кроме этого, как отмечено выше, продукты, цены которых определялись для ППС, будут отличаться от продуктов, цены которых используются в динамических рядах вследствие особых требований к пространственным индексам цен - репрезентативность в пределах каждой страны и сопоставимость между странами, - тогда как в динамических рядах главное требование состоит в обеспечении согласованности во времени. Обычно намного больше продуктов охватывается для исчисления индекса цен страны, чем для расчетов ППС. Наконец, часто наиболее существенным обстоятельством является то, что цены, используемые для исчисления дефляторов в национальных счетах, корректируются, чтобы исключить влияние изменений качества во времени, и методы таких корректировок могут существенно различаться по странам. В частности, может значительно различаться степень использования гедонических методов корректировки цен продуктов, характеристики которых быстро меняются. Гедоническая корректировка цен электронных продуктов (таких как компьютеры) находит достаточно широкое применение, хотя некоторые страны применяют гедоническую корректировку цен таких продуктов, как одежда и жилищные услуги. Сопоставление индексов динамики цен в странах, которые используют гедонические корректировки цен для исчисления дефляторов в национальных счетах, со странами, которые этого не делают, может привести к значительным различиям между результатами сопоставления на основе ППС и данными, полученными путем экстраполяции предыдущей базисной оценки результатов ПМС.

15.235 Возможно, что один из самых значительных факторов, который влияет на различие между экстраполируемыми рядами ВВП и результатами базисной оценки ППС, связан с экспортом и импортом. На показатели динамики объема ВВП в национальных счетах не влияют изменения условий внешней торговли, в то время как они непосредственно влияют на ВВП в международных сопоставлениях. Например, повышение цен на энергетические продукты приводит к увеличению номинального ВВП. Для международного сопоставления для стран, экспортирующих энергетические продукты, результатом будет увеличение объемов ВВП по сравнению с другими странами, потому что ППС для чистого экспорта основаны на обменных курсах, на которые существенно не влияют изменения условий внешней торговли в краткосрочной перспективе. В результате улучшение условий торговли при получении базисной оценки сопоставления, основанной на применении ППС, отражается как изменение объема. С другой стороны, в национальных счетах стран, экспортирующих энергетические продукты, индексы динамики объема ВВП остаются неизменными, если экспортируется то же самое количество энергетических продуктов, и, таким образом, улучшение условий внешней торговли отражается как изменение цен, которое влияет на дефлятор ВВП, используемый для экстраполяции.

Нерыночные услуги

15.236 Другой областью, где возникают проблемы обеспечения согласованности между показателями объемов стран, основанными на использовании ППС, является группа так называемых «услуг, не поддающихся сопоставлению». Это, в основном (хотя и не исключительно), нерыночные услуги, значительную часть которых составляют услуги органов государственного управления, которые должны быть оценены для исчисления ППС. Основные проблемы с оценкой нерыночных услуг связаны с оценкой качества производимых услуг и производительности труда. Одна из договоренностей, используемых при подготовке оценок для сектора государственного управления в национальных счетах большинства стран, состоит в том, что выпуск единиц этого сектора измеряется как сумма затрат труда и материалов, используемых при производстве услуги (услуг); это предполагает принятие предположения о том, что увеличение затрат на производство пропорционально увеличению выпуска. Кроме этого, в национальных счетах часто принимается предположение о том, что производительность труда в производстве таких услуг не меняется на протяжении времени. Аналогичное предположение о том, что производительность идентична во всех странах, принимающих участие в сопоставлении, должно быть принято при исчислении ППС. Это предположение представляется приемлемым в тех случаях, когда в сопоставлениях на основе ППС участвуют страны, находящиеся приблизительно на одном и том же уровне экономического развития. Однако, когда сопоставляются показатели стран со значительно различающимися уровнями экономического развития, обоснованность этого предположения нарушается.

15.237 Выбор, перед которым стоят разработчики ППС, состоит в следующем: либо предполагать, что уровни производительности идентичны для разных стран, даже если они находятся на значительно различающихся уровнях экономического развития, либо корректировать оценки нерыночных услуг каким-либо образом, чтобы учесть различия в производительности. Кроме проблем определения адекватного концептуального подхода к корректировкам на различия в производительности в различных странах, возникают еще проблемы с получением данных, необходимых для внесения таких корректировок, особенно в тех случаях, когда используемый метод предполагает внесение коррективов, основанных на учете относительных уровней капиталоемкости производства услуг в сопоставляемых странах. Несмотря на упомянутые проблемы, иногда оказывается необходимым вносить корректировки на различия в производительности нерыночных услуг, поскольку проблемы, возникающие при этом, гораздо меньше тех, которые возникнут, если использовать предположение о равной производительности в нерыночных услугах всех стран, участвующих в сопоставлении.

Заключение

15.238 Основанные на ППС сопоставления уровней экономического развития различных стран являются важным направлением использования национальных счетов. Несмотря на концептуальные и практические проблемы, показатели объемов, основанные на ППС, являются гораздо более надежной основой международных сопоставлений по сравнению с альтернативным использованием обменных курсов для оценки агрегатов национальных счетов в общей валюте.

Теги: Актив Арендная плата База данных Базисный период Баланс активов и пассивов Балансирующая статья ВВП исчисленный методом конечного использования ВВП исчисленный производственным методом Валовая добавленная стоимость Валовое накопление Валовое накопление основного капитала Валовой национальный доход Валовой национальный располагаемый доход Валовый внутренний продукт Веса Возраст Выпуск Выпуск для собственного конечного использования Готовые продукты Домашнее хозяйство Другие здания и сооружения Другие потоки Жилые здания Заведение Запасы Издержки, связанные с передачей прав собственности Изменение запасов материальных оборотных средств Индекс объема Институциональная единица Компьютерное программное обеспечение Материальные оборотные средства Налог на добавленную стоимость Налог на продукт Налоги Население Научные исследования и разработки Незавершенное производство Некоммерческие организации, обслуживающие домашние хозяйства Непроизведенные активы Нерыночный выпуск Обязательство Операция Оплата труда Опционы Органы государственного управления Основная цена Основные фонды Отрасль Паритет покупательной способности Первичные доходы Потребление Потребление основного капитала Предприятие Продукты Продукты интеллектуальной собственности Производство Промежуточное потребление Процент Расходы на конечное потребление Расходы на конечное потребление сектора государственного управления Реальный валовой внутренний доход Рыночные производители Рыночный выпуск Сбережение Ссуды Субсидии Субсидия на продукт Счет товаров и услуг Сырье и материалы Текущий период Текущий трансферт Товар длительного пользования Товары Товары для перепродажи Торговая наценка Торговые прибыли или убытки вследствие изменений в условиях внешней торговли Транспортное оборудование Трансферт Условия внешней торговли Услуги Финансовые активы Цена Цена покупателя Цена производителя Ценности Чистый национальный располагаемый доход Экономика в целом Экономическая деятельность

Содружество стран

Языки